-
Solve for y in the equation 2sin²y - 1 = Cos² y + sin y. For values of 0° = y = 360°.
(Solved)
Solve for y in the equation 2sin²y - 1 = Cos² y + sin y. For values of 0° ≤ y ≤ 360°.
Date posted:
November 7, 2019
.
Answers (1)
-
Given the vectors a=3j + 2k and b=4i - 7k and that p = 3a - b. Find the value of |p| to 2 d.p.
(Solved)
Given the vectors a=3j + 2k and b=4i - 7k and that p = 3a - b. Find the value of |p| to 2 d.p.
Date posted:
November 7, 2019
.
Answers (1)
-
The equation of a circle is x² + 4x + y² - 5 = 0. Find the centre and the radius of the circle.
(Solved)
The equation of a circle is x² + 4x + y² - 5 = 0. Find the centre and the radius of the circle.
Date posted:
November 7, 2019
.
Answers (1)
-
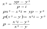
Solve for the value of x in
(Solved)
Solve for the value of x in

Date posted:
November 7, 2019
.
Answers (1)
-
The diagram below shows a circle centre O. AP is the tangent to the circle. Angle OPA is 23°. Find the length of the tangent.
(Solved)
The diagram below shows a circle centre O. AP is the tangent to the circle. Angle OPA is 23°. Find the length of the tangent.

Date posted:
November 7, 2019
.
Answers (1)
-
Given that leaving your answer in form of v?? +v??
(Solved)
Given that
leaving your answer in form of √𝐴 +√𝐵
Date posted:
November 7, 2019
.
Answers (1)
-
In the figure below, P, Q, R and S are points on the circumference of the circle centre O. TP and TR are tangents to...
(Solved)
In the figure below, P, Q, R and S are points on the circumference of the circle centre O. TP and TR are tangents to the circle at P and R respectively. POQ is a diameter of the circle and angle PQR = 64°

Giving reasons in each case, find the size of
a) b) c) d) e)
Date posted:
November 6, 2019
.
Answers (1)
-
A pirate boat sails from port A on a bearing of 050° at a speed of 112km/h, for 2½ hours to port B. From port...
(Solved)
A pirate boat sails from port A on a bearing of 050° at a speed of 112km/h, for 2½ hours to port B. From port B it changes its course and travelled on a bearing of 170° at a speed of 75km/h for 2 2/3 hours toward part C. From C it travelled to port D. D is on a bearing of 130° and 160km from A.
a) Using a scale of 1cm to represent 40km, Draw a diagram showing the positions of the ports A, B, C and D.
b) Use your drawing to find.
i) The distance CD
ii) The bearing of C from D
c) A marine police patrol leaves port A to intercept the pirate boat at M as it moves from B to C in the shortest time possible.
i) How far from A will the two boats meet at M.
ii) If the boats meets after 2 hours, what is the speed of the marine police boat.
Date posted:
November 6, 2019
.
Answers (1)
-
A closed cylindrical metal tin has radius r and height h. The capacity of the tin is 250 p litres
a) Express in term of r.
i)...
(Solved)
A closed cylindrical metal tin has radius r and height h. The capacity of the tin is 250 π litres
a) Express in term of r.
i) the height h of the tin.
ii) the total surface area of the tin.
b) i) Find the value of r for which the surface are of the metal used is to be minimum
ii) The minimum area of the metal used to make the cylinder.
Date posted:
November 6, 2019
.
Answers (1)
-
A truck left town X at 8.45am and traveled toward Y at an average speed of 50km/hr. A car left town X at 11.15am on...
(Solved)
A truck left town X at 8.45am and traveled toward Y at an average speed of 50km/hr. A car left town X at 11.15am on the same day and traveled along the same road at an average speed of 90km/h. The distance between the two town is 420km.
a) Calculate the time of the day when the car overtook the truck.
b) The distance from Y when the car overtook the truck.
c) After overtaking the bus, both vehicles continued towards Y at their original speeds. Find how long the car had to wait at town Y before the truck arrived.
Date posted:
November 6, 2019
.
Answers (1)
-
A certain volume of methlylated spirit has a mass of 2.2kg. Given that the density of methlylated spirit is 0.8g/cm³ calculate the volume of the...
(Solved)
A certain volume of methlylated spirit has a mass of 2.2kg. Given that the density of methlylated spirit is 0.8g/cm³ calculate the volume of the methylated spirit in litres.
Date posted:
November 6, 2019
.
Answers (1)
-
A truck left Kisumu to Mombasa a distance of 1000 km at 11.30 am on Monday at a speed of 60km/hr. On the way it...
(Solved)
A truck left Kisumu to Mombasa a distance of 1000 km at 11.30 am on Monday at a speed of 60km/hr. On the way it stopped for 2 1/3 hours. At what time did it reach Mombasa.
Date posted:
November 6, 2019
.
Answers (1)
-
The cross-section of a head of a bolt is the form of a regular hexagon as shown below.
Determine the area of the cross-section to 2dp.
(Solved)
The cross-section of a head of a bolt is the form of a regular hexagon as shown below.
Determine the area of the cross-section to 2dp.

Date posted:
November 6, 2019
.
Answers (1)
-
Two similar blocks have masses of 729g and 216g respectively. If the surface area of the smaller block is 300cm², calculate the surface area of...
(Solved)
Two similar blocks have masses of 729g and 216g respectively. If the surface area of the smaller block is 300cm², calculate the surface area of the larger block.
Date posted:
November 6, 2019
.
Answers (1)
-
Evaluate without using tables or a calculator.
(Solved)
Evaluate without using tables or a calculator.

Date posted:
November 6, 2019
.
Answers (1)
-
Find the value of k in the equation.
125k+1 + 53k = 630
(Solved)
Find the value of k in the equation.
125k+1 + 53k = 630
Date posted:
November 6, 2019
.
Answers (1)
-
Find the value of x given that is a singular matrix.
(Solved)
Find the value of x given that
is a singular matrix.
Date posted:
November 6, 2019
.
Answers (1)
-
The difference between two positive integers is 5 and the sum of their squares is 73. Find the integers.
(Solved)
The difference between two positive integers is 5 and the sum of their squares is 73. Find the integers.
Date posted:
November 6, 2019
.
Answers (1)
-
If cos a = 15/17 , find without using tables or calculator
Tan (180- a)
(Solved)
If cos α = 15/17 , find without using tables or calculator
Tan (180- α)
Date posted:
November 6, 2019
.
Answers (1)
-
The cost of mass production of cars is partly constant and partly varies as the number of cars produced. The total cost of making 400...
(Solved)
The cost of mass production of cars is partly constant and partly varies as the number of cars produced. The total cost of making 400 cars is sh 3,740,000 and that of making 1000 cars is sh 7,100,000. Find the cost of making 2500 cars.
Date posted:
November 6, 2019
.
Answers (1)