-
The dimensions of a rectangle are 40cm and 45cm. If there is an error of 5% in the length and 8% in the width. Find...
(Solved)
The dimensions of a rectangle are 40cm and 45cm. If there is an error of 5% in the length and 8% in the width. Find the percentage error I calculating the area of the rectangle.
Date posted:
November 8, 2019
.
Answers (1)
-
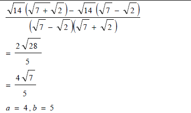
Use logarithms correct to 4 decimal places to evaluate.
(Solved)
Use logarithms correct to 4 decimal places to evaluate.

Date posted:
November 8, 2019
.
Answers (1)
-
Given that x=2i+j-2k, y=-3i+4j-k, and z=-5i+3j+2k and p=3x-y+2z, calculate the magnitude of p correct to 3 significant figures
(Solved)
Given that x=2i+j-2k, y=-3i+4j-k, and z=-5i+3j+2k and p=3x-y+2z, calculate the magnitude of p correct to 3 significant figures
Date posted:
November 8, 2019
.
Answers (1)
-
a) Using the trapezium rule with seven ordinates estimate the area of the region bounded by the
curve y= - x2 + 6x +1, the line...
(Solved)
a) Using the trapezium rule with seven ordinates estimate the area of the region bounded by the
curve y= - x2 + 6x +1, the line x=0,y=0 and x=6.
b) Calculate:
i) The area of the region in (a) above by integration.
ii) The percentage error of the estimated area to the actual area of the region, correct to 2d.p.
Date posted:
November 8, 2019
.
Answers (1)
-
Find the relative error in the area of a parallelogram whose base is 8cm and height 5.0cm
(Solved)
Find the relative error in the area of a parallelogram whose base is 8cm and height 5.0cm
Date posted:
November 8, 2019
.
Answers (1)
-
The figure below shows a solid structure in the shape of a frustum of a cone with a hemispherical bottom. The radius of the hemispherical...
(Solved)
The figure below shows a solid structure in the shape of a frustum of a cone with a hemispherical bottom. The radius of the hemispherical part is 28cm and is equal to the radius of the bottom of the frustum. The frustum has a top radius of 16cm and a height of 12cm. (Use Π=22/7.)

a) Calculate to 2d.p.
i) The volume of the frustum.
ii) The volume of the solid.
b) Given that the solid has a mass of 20kg. Find its density in g/cm3.
Date posted:
November 8, 2019
.
Answers (1)
-
Expand
(Solved)
(i) Expand
to the term in x3
(ii) Use your expansion to estimate the value of
correct to one decimal place
Date posted:
November 8, 2019
.
Answers (1)
-
The football team in school decided to raise ksh.3, 600 for a party. Each student was to contribute the same amount. However, before the contributions...
(Solved)
The football team in school decided to raise ksh.3, 600 for a party. Each student was to contribute the same amount. However, before the contributions were made, five members of the football team decided to transfer to other schools. This meant that the remaining contributors had to pay more to meet the same target.
If the increase in contributor per student was ksh.24. Taking the original number of footballers to be x.
i) Give an expression for the initial amount that each student should have contributed.
ii) Give an expression for the contribution by each student after the transfer.
iii) Form an equation hence find the number of members in the football team originally.
iv) Calculate the percentage increase in the contribution per student caused by the transfer.
Date posted:
November 8, 2019
.
Answers (1)
-
Karanja and Kamau decided to start a business. Karanja contributed ksh.400, 000 and Kamau ksh.640, 000. The two men agreed that in any year 15%...
(Solved)
Karanja and Kamau decided to start a business. Karanja contributed ksh.400, 000 and Kamau ksh.640, 000. The two men agreed that in any year 15% of the profit shall be divided equally between them and 20% of the profit will be used to meet the cost of the business and the rest to be shared in the ratio of their contributions. The profit made after the first year was ksh.432, 000.
a) How much did they set aside towards the cost of running the business for the 2nd year?
b) How much did Kamau receive at the end of the first year?
c) Karanja bought Samsung T.V sets with his share of the profit. If each T.V set cost ksh.18, 000, how many sets did he buy?
Date posted:
November 8, 2019
.
Answers (1)
-
Solve the equation below
(Solved)
Solve for
in the equation sin 
Date posted:
November 8, 2019
.
Answers (1)
-
Make h the subject of the formula
(Solved)
Given that b =
,make h the subject of the formula
Date posted:
November 8, 2019
.
Answers (1)
-
Use logarithms tables to evaluate
(Solved)
Use logarithms tables to evaluate

Date posted:
November 8, 2019
.
Answers (1)
-
The points A1(3,2) and B1 (4,-1) are the images of A and B respectively under a translation. Given that the coordinates of A are (0,1),find...
(Solved)
The points A1(3,2) and B1 (4,-1) are the images of A and B respectively under a translation. Given that the coordinates of A are (0,1),find the coordinate of B.
Date posted:
November 7, 2019
.
Answers (1)
-
Find the equation of a tangent to the curve y=x3 – 2x2 +3x -1 at x=2.
(Solved)
Find the equation of a tangent to the curve y=x3 – 2x2 +3x -1 at x=2.
Date posted:
November 7, 2019
.
Answers (1)
-
A (-1, 3) and B (3, 5) are points on the Cartesian plane. Determine the equation of the perpendicular bisector of AB in the form...
(Solved)
A (-1, 3) and B (3, 5) are points on the Cartesian plane. Determine the equation of the perpendicular bisector of AB in the form ax + by +c=0.
Date posted:
November 7, 2019
.
Answers (1)
-
The figure below (Not drawn to scale) shows the cross-section of a metal bar of length 3metres. The ends are equal semi-circles. (use ?=3.142)
Determine the...
(Solved)
The figure below (Not drawn to scale) shows the cross-section of a metal bar of length 3metres. The ends are equal semi-circles. (use Π=3.142)

Determine the mass of the metal bar in kg if the density of the metal is 2.35g/cm3. (Give your answer to two 2dp).
Date posted:
November 7, 2019
.
Answers (1)
-
The figure shows part of a cuboid ABCDEFGH complete the diagram showing the hidden edges with broken lines.
(Solved)
The figure shows part of a cuboid ABCDEFGH complete the diagram showing the hidden edges with broken lines.

Date posted:
November 7, 2019
.
Answers (1)
-
The figure below is a velocity –time graph of a certain car.
a) Find the total distance traveled by the car.
b) Calculate the deceleration of...
(Solved)
The figure below is a velocity –time graph of a certain car.

a) Find the total distance traveled by the car.
b) Calculate the deceleration of the car.
Date posted:
November 7, 2019
.
Answers (1)
-
Evaluate.
(Solved)
Evaluate. 
Date posted:
November 7, 2019
.
Answers (1)
-
A coin is biased such that it shows a tail with the probability of 1/3 . The same coin is tossed three times find the...
(Solved)
A coin is biased such that it shows a tail with the probability of 1/3 . The same coin is tossed three times find the probability of obtaining.
i) Two coins on the first two tosses.
ii) A head, a tail and a tail in that order.
iii) Two heads and one tail
Date posted:
November 7, 2019
.
Answers (1)