-
Use square, square root and reciprocal tables only to evaluate the following giving your answer to 2 decimal places.
(Solved)
Use square, square root and reciprocal tables only to evaluate the following giving your answer to 2 decimal places.

Date posted:
November 14, 2019
.
Answers (1)
-
Given that sin theta = 3/5 and 900 = < = 1800 , find without using trigonometric tables, the value of 2 tan theta + 3 cos theta.
(Solved)
Given that sin theta = 3/5 and 900 = < = 1800 , find without using trigonometric tables, the value of
2 tan theta + 3 cos theta.
Date posted:
November 14, 2019
.
Answers (1)
-
Form three inequalities that satisfy the unshaded region R.
(Solved)
Form three inequalities that satisfy the unshaded region R.

Date posted:
November 14, 2019
.
Answers (1)
-
If the arc formed by two points on the circumference of circle of radius 2m subtends an angle of 37° at the center, find the...
(Solved)
If the arc formed by two points on the circumference of circle of radius 2m subtends an angle of 37° at the center, find the arc length of the remaining part correct to two decimal places. (Take π =3.142)
Date posted:
November 14, 2019
.
Answers (1)
-
It is given that Determine [2p- 2q] correct to 2 d.p.
(Solved)
It is given that
Determine [2p− 2q] correct to 2 d.p.
Date posted:
November 14, 2019
.
Answers (1)
-
The cross sectional areas of two similar triangular prisms are 100cm2 and 256cm2. If the bigger prism has a volume of 3200cm3, calculate the volume...
(Solved)
The cross sectional areas of two similar triangular prisms are 100cm2 and 256cm2. If the bigger prism has a volume of 3200cm3, calculate the volume of the smaller prism.
Date posted:
November 14, 2019
.
Answers (1)
-
Find an estimate of the area enclosed by the curve y = x3 – 5, the x – axis and the lines x = 3 x = 4 and x = 6 using the trapezium rule with 3 strips.
(Solved)
Find an estimate of the area enclosed by the curve y = x3 – 5, the x – axis and the lines x = 3 x = 4 and x = 6 using the trapezium rule with 3 strips.
Date posted:
November 14, 2019
.
Answers (1)
-
Find the equation of the normal to the curve 2x2 - 8y = 0 at the point (12,18).
(Solved)
Find the equation of the normal to the curve 2x2 - 8y = 0 at the point (12,18).
Date posted:
November 14, 2019
.
Answers (1)
-
A salesman is paid a commission of 10% on all sales worth K£ 10,000 and below and a commission of 15% on sales above K£...
(Solved)
A salesman is paid a commission of 10% on all sales worth K£ 10,000 and below and a commission of 15% on sales above K£ 10,000. In one month she got Ksh 50,000 as commission, calculate the total worth of goods in Ksh sold in that month.
Date posted:
November 14, 2019
.
Answers (1)
-
Solve the equation 643x-1 ÷ 16x+2 = 256x × 42x.
(Solved)
Solve the equation 643x-1 ÷ 16x+2 = 256x × 42x.
Date posted:
November 14, 2019
.
Answers (1)
-
Three teachers James, John and Aggrey agreed contribute money to buy a plot. James contributed 1/5 of the total money, John contributed 2/5 of 3/5...
(Solved)
Three teachers James, John and Aggrey agreed contribute money to buy a plot. James contributed 1/5 of the total money, John contributed 2/5 of 3/5 of the total money. Aggrey contributed 1/4 of what James had contributed. If the total sum contributed by Aggrey and John was Ksh.87, 000. Find the amount needed to buy the plot.
Date posted:
November 14, 2019
.
Answers (1)
-
Makau,Wanjiru and Kemboi start a race at 9.03 a.m in the same direction to run round a circular Course. Makau makes the circuit in 252...
(Solved)
Makau,Wanjiru and Kemboi start a race at 9.03 a.m in the same direction to run round a circular Course. Makau makes the circuit in 252 seconds, Wanjiru in 308 seconds and Kemboi in 198 seconds. If they start from the same point, at what time will they next be all at the starting point together?
Date posted:
November 14, 2019
.
Answers (1)
-
Evaluate:
(Solved)
Evaluate:

Date posted:
November 14, 2019
.
Answers (1)
-
The figure below is a cuboid ABCDEFGH such that AB = 8cm, BC = 6cm and CF 5cm.
Determine
(a) the length
(i) AC
(ii) AF
(b)...
(Solved)
The figure below is a cuboid ABCDEFGH such that AB = 8cm, BC = 6cm and CF 5cm.
Determine
(a) the length
(i) AC
(ii) AF

(b) The angle AF makes with the plane ABCD.
(c) The angle AEFB makes with the base ABCD.
Date posted:
November 14, 2019
.
Answers (1)
-
(a) Draw the graph of the function
y = 10+3x – x2 for –2 = x = 5
(b) use of the trapezoidal rule with 5...
(Solved)
(a) Draw the graph of the function
y = 10+3x – x2 for –2 ≤ x ≤ 5
(b) use of the trapezoidal rule with 5 stripes, find the area under the curve from x = -1 to x = 4.
(c) Find the actual area under the curve from x = -1 to x = 4.
(d) Find the percentage error introduced by the approximation.
Date posted:
November 14, 2019
.
Answers (1)
-
A bag contains 3 red, 5 white and 4 blue balls. Two balls are picked without replacement. Determine the probability of picking.
(a) 2 red balls...
(Solved)
A bag contains 3 red, 5 white and 4 blue balls. Two balls are picked without replacement. Determine the probability of picking.
(a) 2 red balls
(b) Only one red ball
(c) At least a white ball
(d) Balls of same colour.
Date posted:
November 14, 2019
.
Answers (1)
-
(a) Complete the table for y = Sin x + 2 Cos x.
(b) Draw the graph of y = Sin x + 2 cos x....
(Solved)
(a) Complete the table for y = Sin x + 2 Cos x.

(b) Draw the graph of y = Sin x + 2 cos x.
(c) Solve sin x + 2 cos x = 0 using the graph.
Date posted:
November 14, 2019
.
Answers (1)
-
Evaluate without using logarithm tables.
3 log10 2 + log10 750 – log10 6
(Solved)
Evaluate without using logarithm tables.
3 log10 2 + log10 750 – log10 6
Date posted:
November 13, 2019
.
Answers (1)
-
On map of scale 1:25000 a forest has an area of 20cm2. What is the actual area in Km2.
(Solved)
On map of scale 1:25000 a forest has an area of 20cm2. What is the actual area in Km2.
Date posted:
November 13, 2019
.
Answers (1)
-
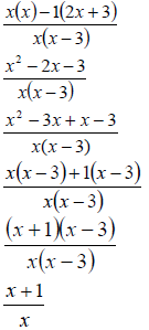
Simplify
(Solved)
Simplify

Date posted:
November 13, 2019
.
Answers (1)