-
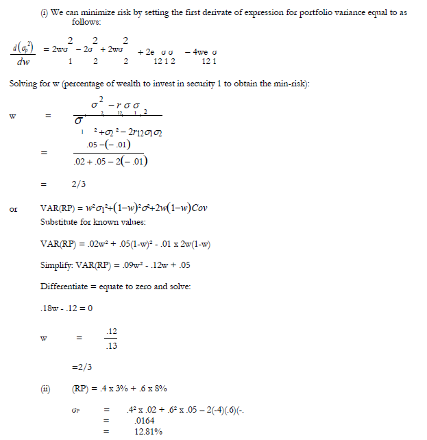
Rodfin plc is considering investing in one of two short-term portfolios of four short-term financial
investments in diverse industries. The correlation between the returns of the...
(Solved)
Rodfin plc is considering investing in one of two short-term portfolios of four short-term financial
investments in diverse industries. The correlation between the returns of the individual components of these
investments is believed to be negligible.


The managers of Rodfin are not sure of how to estimate the risk of these portfolios, as it has been
suggested to them that either portfolio theory or the capital asset pricing model (CAPM) will give the same
measure of risk. The market return is estimated to be 12.5% and the risk free rate 5.5%.
Required:
(a) Discuss whether or not portfolio theory and CAPM give the same portfolio risk measure.
(b) Using the above data estimate the risk and return of the two portfolios and recommend which one
should be selected.
Date posted:
April 23, 2021
.
Answers (1)
-
Kianjoya company Ltd has 2 million ordinary shares outstanding at the current market price of Sh.60 per
share. The company requires Sh.8 million to finance a...
(Solved)
Kianjoya company Ltd has 2 million ordinary shares outstanding at the current market price of Sh.60 per
share. The company requires Sh.8 million to finance a proposed expansion project. The board of directors
has decided to issue a 2 for 25 rights at a subscription price of Sh.50 per share. The expansion project is
expected to increase the firm's annual cash flows by Sh.1,660,000. Information on this project
will be released to the market together with the announcement of the rights issue. The company paid a
dividend of sh.6 per share last year. This dividend together with the company‟s earnings is
expected to grow at 6% annually.
Required:
(i) Compute the price of the shares after the announcement of the rights issue but before they start
selling ex-rights.
(ii) Compute the theoretical value of rights and the theoretical ex-rights price of the shares.
Date posted:
April 23, 2021
.
Answers (1)
-
Canalot Ltd is an all equity company with an equilibrium market value of Sh.32.5 million and a cost
of capital of 18% per year. The company...
(Solved)
Canalot Ltd is an all equity company with an equilibrium market value of Sh.32.5 million and a cost
of capital of 18% per year. The company proposes to repurchase Sh.5 million of equity and to
replace it with 13% irredeemable loan stock. Canalot Ltd's earnings before interest
and taxes are expected to be constant for the foreseeable future. Corporate tax is at the rate of
30%. All profits are paid out as dividends.
Required:
Using the assumptions of Modigliani and Miller explain and demonstrate how this change in capital
structure will affect:
(i) the market value
(ii) the cost of capital
(iii) the cost of equity of Canalot Ltd.
Date posted:
April 23, 2021
.
Answers (1)
-
Karim Ltd has annual earnings before interest and taxes of Sh.150 million. These earnings are
expected to remain constant. The market price of the company's ordinary...
(Solved)
Karim Ltd has annual earnings before interest and taxes of Sh.150 million. These earnings are
expected to remain constant. The market price of the company's ordinary shares is
Sh.8.60 per share cum dividend and of debentures sh.1055.0 per debenture ex. Interest. An
interim dividend of Sh.0.60 per share has been declared. Corporate tax is at the rate of 30% and all
available earnings are distributed as dividends.
Karim's long term capital structure is shown below:

Required:
Calculate the cost of capital of Karim Ltd according to the traditional theory of capital structure. Assume it is
now 31.12.X1 and the capital structure is optimal.
Date posted:
April 23, 2021
.
Answers (1)
-
XYZ company Limited is considering a major investment in a new productive process. The total
cost of the investment has been estimated at Sh.2,000,000 but if...
(Solved)
XYZ company Limited is considering a major investment in a new productive process. The total
cost of the investment has been estimated at Sh.2,000,000 but if this were increased to Sh.3,000,000,
productive capacity would be substantially increased. Because of the nature of the process, once the
basic plant has been established, to increase capacity at some future date is exceptionally costly. One
of the problem facing management is that the demand for process output is very uncertain.
However, the market research and finance departments have been able to produce the following
estimate:

Required:
Compute the expected NPV of each of the project and state the one to be chosen.
Date posted:
April 23, 2021
.
Answers (1)
-
You are the chief accountant of Deighton Plc. which manufactures a wide range of building and plumbing
fittings. It has recently taken over a small unquoted...
(Solved)
You are the chief accountant of Deighton Plc. which manufactures a wide range of building and plumbing
fittings. It has recently taken over a small unquoted competitor, Linton Ltd. Deighton is currently checking
through various documents at Linton's head office. Including a number of investment appraisals.
One of these, a recently rejected application involving an outlay of equipment of Sh.900,000, is produced below.
It was rejected because it failed to offer Linton‟s target return on investment of 25% (average profit to-
initial investment outlay). Closer inspection reveals several errors in the appraisal.
Evaluation of profitability of proposed project
NT17 (all values in currency year prices)

You discover the following further details:
1. Linton's policy was to finance both working capital and fixed investment by a bank
overdraft. A12% interest rate applied at the time of the evaluation.
2. A 25% writing down allowance (WDA) on a reducing balance basis is offered for new investments.
Linton's profits are sufficient to utilize fully this allowance throughout the project.
3. Corporate tax is paid a year in arrears.
4. Of the overhead charge, about half reflects absorption of existing overhead costs.
5. The market research was actually undertaken to investigate two proposals, the other project also
having been rejected. The total bill for all this research has also been paid.
6. Deighton itself requires a nominal return on new project of 20% after taxes, is currently
ungeared and has no plans to use any debt finance in the future.
Required:
(a) Identify the mistakes made in Linton's evaluation.
(b) Restate the investment appraisal in terms of post-tax net present value and recommend whether or
not Deighton should undertake the project.
Date posted:
April 23, 2021
.
Answers (1)
-
Outline the major causes of public projects failure.
(Solved)
Outline the major causes of public projects failure.
Date posted:
April 23, 2021
.
Answers (1)
-
Discuss the major theories that explain the behaviour of the yield curve and discuss the implication
of yield curve analysis in financial management.
(Solved)
Discuss the major theories that explain the behaviour of the yield curve and discuss the implication
of yield curve analysis in financial management.
Date posted:
April 23, 2021
.
Answers (1)
-
Mr. Kakai Manufacturing Co. Ltd has an average selling price of Sh.1000 for a component it manufactures for
sale in the local market. Variable costs are...
(Solved)
Mr. Kakai Manufacturing Co. Ltd has an average selling price of Sh.1000 for a component it manufactures for
sale in the local market. Variable costs are Sh.700 per unit and fixed costs amount to Sh.17 million.
The company has financed its assets by having issued 40,000 ordinary shares.
Another company in the same industry, Bantu Manufacturers, has the same operating information but has
financed its assets with 20,000 ordinary shares and a loan, which has an interest payments of Sh.160,000 per
year. Both companies are in the same 40% tax bracket and have sales of Sh.70 m in the current financial year.
Required:
(a) For each company, determining the degree of operating leverage and the degree of financial leverage.
(b) Calculate the degree of combined leverage for each firm. Explain the difference in the result.
(c) Compute the break-even points for the two companies. What are your observations?
(d) Calculate the earnings per share (EPS) at the point of indifference between the two companies earnings.
(f) Explain the position of Modigliani and Miller (MM) with respect to the use of leverage in a firm.
Date posted:
April 23, 2021
.
Answers (1)
-
The following data have been provided with respect to three shares traded on the Nairobi
Stock Exchange (NSE).
...
(Solved)
The following data have been provided with respect to three shares traded on the Nairobi
Stock Exchange (NSE).
Share A Share B Share C
Risk free rate of return 0.120 0.120 0.120
Beta coefficient 1.340 1.000 0.750
Return on the NSE index 0.185 0.185 0.185
Required:
(i) What is the beta coefficient?
(ii) Interpret the beta coefficient of shares A, B and C.
(iii) Using the Capital Asset Pricing Model, compute the expected return
on shares A, B and C.
(iv) Can the beta coefficient be less than zero? Explain
Date posted:
April 23, 2021
.
Answers (1)
-
The Capital Asset Pricing Model is a powerful technique in the estimation of risk of a particular
security. It nevertheless is not applicable in the real...
(Solved)
The Capital Asset Pricing Model is a powerful technique in the estimation of risk of a particular
security. It nevertheless is not applicable in the real world due to its many limiting assumptions.
Required:
Discuss the above statement.
Date posted:
April 23, 2021
.
Answers (1)
-
You have been provided with the following information about a project, which XYZ Ltd. is planning to undertake soon.
Required:
(a) Calculate the project?s net investment.
(b) Using...
(Solved)
You have been provided with the following information about a project, which XYZ Ltd. is planning to undertake soon.

Required:
(a) Calculate the project‟s net investment.
(b) Using the net present value method, show whether or not the project should be undertaken by the company.
(c) Suppose in addition to the information given above you are provided with the following cash
flows certainty equivalents:
Year 0: 1.00
Year 1: 0.90
Year 2: 0.80
Year 3: 0.60
Year 4: 0.50
Year 5: 0.40
Does your conclusion about the acceptability of the project in part (c) above change? Explain.
Date posted:
April 22, 2021
.
Answers (1)
-
Explain briefly what is meant by foreign currency options and give examples of the advantages and disadvantages of exchange traded foreign currency options to the...
(Solved)
Explain briefly what is meant by foreign currency options and give examples of the advantages and disadvantages of exchange traded foreign currency options to the financial manager.
Date posted:
April 22, 2021
.
Answers (1)
-
You are required to discuss whether a multinational company should hedge translation exposure by incurring transaction exposure.
(Solved)
You are required to discuss whether a multinational company should hedge translation exposure by incurring transaction exposure.
Date posted:
April 22, 2021
.
Answers (1)
-
A company operating in a country having the dollar as its unit of currency has today invoiced sales to the
United Kingdom in sterling, payment being...
(Solved)
A company operating in a country having the dollar as its unit of currency has today invoiced sales to the
United Kingdom in sterling, payment being due three months from the date of invoice. The invoice
amount is £3,000,000 which, at today's spot rate of 1.5985 is equivalent to USD4,795,500.
It is expected that the exchange rate will decline by about 5% over the three month period and in
order to protect the dollar proceeds from the sale, the company proposes taking appropriate
action through either the foreign exchange market or the money market.
The USD/£ three-months forward exchange rate is quoted as 1.5858-1.5873. the three-months
borrowing rate for Eurosterling is 15.0% and the deposit rate quoted by the company's own
bankers is currently 9.5%.
You are required to
Explain the alternative courses of action available to the company, with relevant calculations to four
decimal places, and to advise which course of action should be adopted.
Date posted:
April 22, 2021
.
Answers (1)
-
Fidden is a medium-sized UK company with export and import trade with the USA. The following transactions are due with the next six months. Transactions...
(Solved)
Fidden is a medium-sized UK company with export and import trade with the USA. The following transactions are due with the next six months. Transactions are in the currency specified.
Purchases of components, cash payment due in three months: £116,000
Sales of finished goods, cash receipt due in three months: USD 197,000
Purchase of finished goods for resale, cash payment due in six months: USD 447,000
Sale of finished goods, cash receipt due in six months: USD 154,000

Assume that it is now December with three months to expiry of the March contract and that the option
price is not payable until the end of the option period, or when the option is exercised.
You are required:
(i) to calculate the net sterling receipts/payments that Fidden might expect for both its three and
six month transactions if the company hedges foreign exchange risk on:
the forward foreign exchange market; the money market.
(ii) If the actual spot rate in six months time was with hindsight exactly the present six months forward
rate, calculate whether Fidden would have been better to hedge through foreign currency
options rather than the forward market or money market.
(iii) to explain briefly what you consider to be the main advantage of foreign currency options.
Date posted:
April 22, 2021
.
Answers (1)
-
Provincial plc is contemplating a bid for the share capital of National plc. The following statistics are available:
Provincial plc?s plan is to reduce the scale...
(Solved)
Provincial plc is contemplating a bid for the share capital of National plc. The following statistics are available:

Provincial plc's plan is to reduce the scale of National plc's operations by selling off a division
which accounts for Sh.1,500,000 of National plc's latest earnings, as indicated above. The estimated
selling price for the division is Sh.10.2 million.
Earnings in National plc's remaining operations could be increased by an estimated 20% on a
permanent basis by the introduction of better management and financial controls. Provincial plc does not anticipate
any alteration to National plc's price/earnings multiple as a result of these improvements in earnings.
To avoid duplication, some of Provincial plc's own property could be disposed of at an
estimated price of Sh.16 million.
Rationalization costs are estimated at Sh.4.5 million.
You are required:
(a) to calculate the effect on the current share price of each company, all other things being equal, of a two-for nine share offer by Provincial plc, assuming that Provincial plc's estimates are in line with
those of the market;
(b) to offer a rational explanation of why the market might react to the bid by valuing National plc's
shares at (i) a higher figure and (ii) a lower figure than that indicated by Provincial plc's offer
even though the offer is in line with market estimates of the potential merger synergy.
(c) Assume that Provincial plc is proposing to offer National plc shareholders the choice of the two-fornine
share exchange or a cash alternative.
You are required to advice Provincial plc whether the cash alternative should be more or less
than the current value of the share exchange, giving your reasons.
(d) Assume now that Provincial plc, instead of making a two-for-nine share exchange offer, wishes
to offer an exchange which would give National plc shareholders a 10% gain on the existing
value of their shares.
You are required to calculate what share exchange would achieve this effect, assuming the same
synergy forecasts as before.
Date posted:
April 22, 2021
.
Answers (1)
-
The board of directors of Rutherford plc is arguing about the company's dividend policy.
Director A is infavour of financing all investment by retained earnings and...
(Solved)
The board of directors of Rutherford plc is arguing about the company's dividend policy.
Director A is infavour of financing all investment by retained earnings and other internally generated funds.
He argues that a high level of retentions will save issue costs, and that declaring dividends always results in a
fall in share price when the shares are traded ex div.
Director B believes that the dividend policy depends upon the type of shareholders that the company
has, and that dividends should be paid according to shareholders' needs. She presents data
relating to the company's current shareholders.

She argues that the company‟s shareholder „clientele‟ must be identified, and dividends
fixed according to their marginal tax brackets.
Director C agrees that shareholders are important, but points out that many institutional shareholders
and private individuals rely on dividends to satisfy their current income requirements, and prefer a known
dividend now to an uncertain capital gain in the future.
Director D considers the discussion to be a waste of time. He believes that one dividend policy is as good as
other, and that dividend policy has no effect on the share price.
You are required to discuss critically the arguments for each of the four directors using both
the information provided and any other evidence on the effect of dividend policy on share price that
you consider to be relevant.
Date posted:
April 22, 2021
.
Answers (1)
-
The managing director of Wemere, a medium -sized private company, wishes to improve the
company's investment decision-making process by using discounted cash flow techniques. He is
disappointed...
(Solved)
The managing director of Wemere, a medium -sized private company, wishes to improve the
company's investment decision-making process by using discounted cash flow techniques. He is
disappointed to learn that estimates of a company‟s cost of capital usually require information on
share prices which, for a private company, are not available. His deputy suggests that the cost of equity
can be estimated by using data for Folten Ltd., a similar sized company in the same industry whose shares
are listed on the SE, and he has produced two suggested discount rates for use in Wemere's future
investment appraisal. Both of these estimates are in excess of 17% per year which the managing director
believes to be very high, especially as the company has just agreed a fixed rate bank loan at 13% per year to
finance a small expansion of existing operations. He has checked the calculations, which are numerically
correct, but wonders if there are any errors of principle.
Estimate 1: capital asset pricing model
Data have been purchased from a leading business school:
Equity beta of Folten 1.4
Market return 18%
Treasury bill yield 12%
The cost of capital is 18% +(18% - 12%)1.4 = 26.4%.
This rate must be adjusted to include inflation at the current level of 6%. The recommended discount rate is 32.4%.

Notes:
(1) The current ex-div share price of Folten plc is Sh.13.80.
(2) Wemere's board of directors has recently rejected a take-over bid of Sh.10.6 million.
(3) Corporate tax is at the rate of 35%.
You are required:
(a) to explain any errors of principle that have been made in two estimates of the cost of capital
and produce revised estimates using both of the methods.
State clearly any assumptions that you make.
(b) to discuss which of your revised estimates Wemere should use as the discount rate for capital
investment appraisal.
Date posted:
April 22, 2021
.
Answers (1)
-
A division of Bewcast plc has been allocated a fixed capital sum by the main board of directors for its
capital investment during the next year....
(Solved)
A division of Bewcast plc has been allocated a fixed capital sum by the main board of directors for its
capital investment during the next year. The division's management has identified three capital
investment projects, each potentially successful, each of similar size, but has only been allocated enough
funds to undertake two projects. Projects are not divisible and cannot be postponed until a later date.
The division's management proposes to use portfolio theory to determine which two projects
should be undertaken, based upon an analysis of the projects‟ risk and return. The success of
the projects will depend upon the growth rate of the economy. Estimates of project returns at different
levels of economic growth are shown below:

You are required:
(a) to use the above information to evaluate and discuss which two projects the division is likely to
undertake. All relevant calculations must be shown.
(b) What are the weaknesses of the evaluation technique used in (a) above, and what further information
might be useful in the evaluation of these projects?
(c) Suggest why portfolio theory is not widely used in practice as a capital investment evaluation technique.
(d) Recommend, and briefly describe, an alternative investment evaluation technique that might be
applied by the division.
Date posted:
April 22, 2021
.
Answers (1)