• Simple linear regression: Involves a relationship between two variables only.
• Multiple regression: Analyses or considers the relationship between three or more variables.
Simple Regression
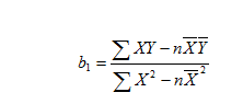
The first step in establishing the relationship between X and Y is to obtain observations on the two variables and analyze the data using a scatter diagram to indicate whether a positive or negative relationship exists between X and Y. the relationship can be approximated by a straight line. Algebraically, the relationship is
The above function is deterministic since it gives exact relationship between X and Y. when the line is plotted, not all the points will fall on the line because of the following reasons:-
• Omission of other explanatory variables from the function
• Random behavior of human beings
• Imperfect specification of the functional form of the model
• Errors of aggregation
• Errors of measurement
To account for the deviations of some points from the straight line, the error term is introduced. The introduction of the error term makes the function stochastic . To estimate the values of the coefficients and , we need observations on Y, X and the error term. However, the error term is not observable and therefore we make assumptions about the error term.
Assumptions of the error term
• The error term is a real random variable which has a mean of zero and constant variance ( Assumption of homoscedasticity)
• The error term is normally distributed
• The error term corresponding to different values of X for different periods are not correlated (assumption of no autocorrelation)
• There is no relationship between the explanatory variables and the error term
• The explanatory variables are measured without error. The error absorbs the influence of omitted variables and errors of measurement in the dependent variable.
All the above assumptions are called stochastic assumptions
Other assumptions
• The explanatory variables are not perfectly linearly related or correlated (No multicollinearity)
• The variables are correctly aggregated
• The relation being estimated is identified
• The relationship is correctly specified

Titany answered the question on
October 21, 2021 at 13:53