Trusted since 2008
Chat on WhatsApp

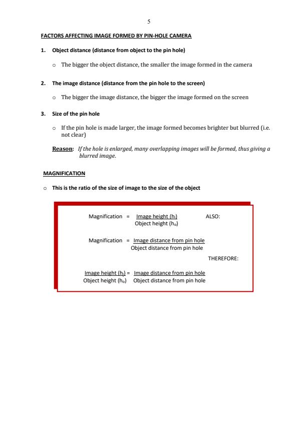
Form 4 Physics Paper 2 Smart Notes

KES 230
Secure M-PESA Paybill • Instant digital delivery
View all Notes.
1872 Views
5 Purchases

Summary

232/2
PHYSICS PAPER 2
TOPICS COVERED IN THIS PAPER / CONTENTS
Table of Contents
1. RECTILINEAR PROPAGATON OF LIGHT AND REFLECTION AT PLANE MIRRORS .......................2
2. ELECTROSTATICS 1 AND 2...................................................................................................10
3. CURRENT ELECTRICITY 1 AND 2 ..........................................................................................30
4. MAGNETISM......................................................................................................................47
5. REFLECTION AT CURVED SURFACE......................................................................................55
6. MAGNETIC EFFECT OF ELECTRIC CURRENT..........................................................................62
7. SOUND ..............................................................................................................................67
8. WAVES 1 AND 2 .................................................................................................................72
9. REFRACTION OF LIGHT .......................................................................................................87
10. HEATING EFFECT OF ELECTRIC CURRENT .........................................................................96
11. THIN LENSES...................................................................................................................99
12. ELECTROMAGNETIC SPECTRUM....................................................................................107
13. ELECTROMAGNETIC INDUCTION ...................................................................................111
14. MAINS ELECTRICITY ......................................................................................................123
15. CATHODE RAYS.............................................................................................................135
16. X – RAYS.......................................................................................................................144
17. PHOTOELECTRIC EFFECT................................................................................................152
18. ELECTRONICS................................................................................................................163
19. RADIOACTIVITY ............................................................................................................173
Additional Practice Question ..................................................................................................186

You’re viewing a preview. Buy now to unlock the full document and download instantly after M-PESA payment.

  • Page 1 – Form 4 Physics Paper 2 Smart Notes – Kenyaplex
  • Page 2 – Form 4 Physics Paper 2 Smart Notes – Kenyaplex
  • Page 3 – Form 4 Physics Paper 2 Smart Notes – Kenyaplex
  • Page 4 – Form 4 Physics Paper 2 Smart Notes – Kenyaplex
  • Page 5 – Form 4 Physics Paper 2 Smart Notes – Kenyaplex
........

This is the end of this document preview. Buy to download the complete document.

Recommended Resources

More Resources


  • Kiswahili Fasihi Complete Notes Form 1- Form 4

    Kiswahili Fasihi Complete Notes Form 1, Form 2, Form 3 and Form 4 YALIYOMO FASIHI 2 Tanzu za Fasihi 2 Vipera Vya Fasihi Simulizi 2 Vipera Vya Fasihi Andishi 2 Tofauti kati ya Fasihi Andishi...

    Price: KES :  250

  • Ushairi Complete Notes Form 1- Form 4

    Ushairi Complete Notes Form 1, FOrm 2, Form 3 and Form 4 YALIYOMO USHAIRI 3 Uchambuzi 3 Istilahi za Kishairi 3 Sifa za Ushairi 6 Umuhimu wa Mashairi 6 Aina za Mashairi 7 Bahari za...

    Price: KES :  150

  • Form 4 Physics Notes: Floating and Sinking Summary

    Summary notes for floating and sinking.

    Price: KES :  50

  • Form 4 History and Government Notes

    Best summarized Notes for easy learning. Form 4 History and Government Notes. Brief Overview: INTRODUCTION The World War I was the 1st total war involving almost all world countries directly or...

    Price: KES :  300

  • Form 4 Biology Notes

    Shortened notes for students and teachers. This document contains ready to use notes for form 4 class. Brief Overview: 1. a) i) Define the term genetics - the study of heredity(inheritance) and...

    Price: KES :  290

  • Form 4 Geography Notes

    Very nice notes for students and also teachers teaching form 4 class. Brief snippet LAND RECLAMATION Land reclamation is the process of converting wasteland into farm land for growing of crops...

    Price: KES :  200

  • Form 4 Kiswahili Notes: Kuongeza Msamiati Wa Kiswahili

    Brief Overview: Uundaji wa Maneno Lugha hukua na kubadilika kila wakati kulingana na maendeleo ya jamii. Kigezo kimojawapo cha kukua na kubadilika kwa lugha ni kuongezeka kwa msamiati....

    Price: KES :  290

  • Form 4 Physics Notes: Detailed Notes for Students and Teachers

    Shortened Notes for Physics Form 4. Short Snippet PHYSICS FORM FOUR CHAPTER ONE THIN LENSES. A lens is conventionally defined as a piece of glass which is used to focus or change...

    Price: KES :  290

  • Form 4 CRE Notes

    Comprehensive notes for CRE Form 4 Brief Overview CONTEMPORARY CHRISTIAN LIVING Form four work deals with social issues in society. We shall compare the issues in the following communities –...

    Price: KES :  290

  • Form 4 History and Government Notes: Simplified notes for teachers and students

    Simplified Notes for teaching History and Government in form 4. Comprehensive notes for use by both teachers and students. Brief Overview: World War I World War I or the First World War was a...

    Price: KES :  290

  • Form 4 Chemistry Notes on Energy Changes

    Shortened Notes for teaching Chemistry in form 4. These notes are suitable for use by both students and teachers. Brief Overview: 1. Introduction to Energy changes Energy is the capacity to do...

    Price: KES :  290

  • Form 4 Agriculture Notes

    Looking for Agriculture notes Form 4? This document contains high quality and detailed notes for both teachers and students. You can download for your use. Brief Overview: Livestock Production...

    Price: KES :  290

  • CRE Notes for Form 1 to Form 4

    C.R.E NOTES 1-4, is a complete summary of the C.R.E secondary school syllabus from form 1 to form 4. It has main points and explanations that will help the reader to understand and revise his or her...

    Price: KES :  100

  • English composition writing notes for Form 1 to Form 4

    The document contains formats of different types of composition with example for each. Brief Introduction: FUNCTONAL WRITING Functional writing is a practical and lifelong skill that requires one...

    Price: KES :  200

  • Business Studies Form 1 to Form 4 Notes

    Complete business studies Form 1 to Form 4. Best notes for teachers and students. Brief Overview: INTRODUCTION TO BUSINESS STUDIES Objectives: By the end of the topic, the learner should be...

    Price: KES :  70

  • Agriculture Notes Form 1, Form 2, Form 3, Form 4

    Revision notes agriculture from form 1, form 2, form 3 and form 4. Detailed and high quality. Brief Overview: a). What is Agriculture? The art and Science of crop and livestock production. b)....

    Price: KES :  120

  • Form 4 Betrayal in the City Notes

    An analysis of Betrayal in the City by Francis Imbuga. Brief Overview: About the play Betrayal in the City. The play is a story of a post independent African country that had the misfortune of...

    Price: KES :  0

  • Kiswahili Form 1, Form 2, Form 3 and Form 4 Notes

    Kiswahili revision notes form 1, form 2, form 3 and form 4. Brief Overview: INSHA - Utungo unaoundwa kwa mfululizo wa sentensi zinazozungumzia jambo, tukio au kitu fulani Aina 1. INSHA ZA...

    Price: KES :  120

  • Geography Notes Form 1 to Form 4

    This document contains Geography revision notes for Form 1, Form 2, Form 3 and Form 4. Brief Overview: The meaning of Geography • Scientific study of the earth as a home of man. • Study of...

    Price: KES :  120

  • 2024 Isimu Jamii Notes Form 1, Form 2, Form 3, Form 4

    Download 2024 new updated kiswahili isimu jamii notes from form one to form four. Isimujamii - Ni taaluma inayochunguza uhusianouliopo baina ya lugha na jamii. Hasa hushughulikia jinsi watu...

    Price: KES :  110

  • Agriculture Notes: Form 1 to Form 4

    1.2.1 Definition of agriculture 1.2.2 Branches of agriculture Crop-farming (Arable farming) i) Field crops ii) Horticulture - Floriculture (flower farming) -...

    Price: KES :  200

  • Form 4 English Notes

    This document contains Form 4 English notes suitable for both teachers and students. Brief Overview: Features of Oral Poetry Oral poetry has the following features: 1. It is composed and...

    Price: KES :  300

  • English Functional Writing Notes Form 1, Form 2, Form 3 and Form 4

    English Functional Writing Notes Form 1 to Form 4. Brief Overview: Pre-requisites i. A computer ii. A telephone line connected to the computer iii. An internal or external modem(an electronic...

    Price: KES :  300

  • Form 4 Computer Studies Notes - All Chapters

    Form 4 Computer Studies Notes - All Chapters. Table of contents 1. Introduction to networking and data communication 2. Application areas of information and communication technology (ICT) 3....

    Price: KES :  300

  • Form 4 Computer Studies Notes Chapter 1 - Introduction to Networking and Data Communication

    Form 4 Computer Studies Chapter 1 - Introduction to Networking and Data Communication Notes. Computer network ? It’s a collection of computers linked together using transmission media for the...

    Price: KES :  100

  • Form 4 Computer Studies Chapter 2 - Application Areas of Information and Communication Technology (ICT) Notes

    Form 4 Computer Studies Notes Chapter 2 - Application Areas of Information and Communication Technology (ICT) Reservation systems ? This are distributed networked systems that are used mainly to...

    Price: KES :  100

  • Form 4 Computer Studies Chapter 3 - Impact of Information and Communication Technology (ICT) on The Society Notes

    Form 4 Computer Studies Notes For Chapter 3 - Impact of Information and Communication Technology (ICT) on The Society Introduction ? An impact is a positive or negative effect. Information and...

    Price: KES :  100

  • Form 4 Computer Studies Chapter 4 - Career Opportunities in Information and Communication Technology (ICT) Notes

    Form 4 Computer Studies Notes For Chapter 4 - Career Opportunities in Information and Communication Technology (ICT) Introduction ? ICT has created new job titles. Some of the computer career...

    Price: KES :  100

  • Form 4 Home Science Notes

    This document contains high quality notes for Home Science Form 4. The notes are suitable for teachers and students. Brief Overview: Care of the Sick at Home Care of the sick at home is also...

    Price: KES :  300

  • Form 4 IRE Notes

    This document contains high quality IRE notes Form 4 for teachers and students. Answer the following questions and activity in your I.R.E revision exercise books. 1. a) Outline the early life of...

    Price: KES :  300


View all resources  

What Our Users Say