-
Grade 5 Music Activities Mid Term 1 Exam 2021
Grade 5 Music Activities Mid Term 1 Exam 2021
Price: KES : 20
-
CBC Grade 5 Term 1 Music and Art and Craft Formative Assessment Test 2021
CBC Grade 5 Term 1 Music and Art and Craft Formative Assessment Test 2021
Price: KES : 25
-
CBC Grade 5 P.E and CRE Term 1 Assessment Test
Grade five assessment test for P.E and CRE for term 1 2021.
2021 MIDDLE YEARS LEVEL STAGE BASED
FORMATIVE ASSESSMENT TOOL PE GRADE 5
COMPETENCE BASED CURRICULUM
1. Name three track events in...
Price: KES : 40
-
Form 2 French Opener Exam Term 1, 2023
Term 1 Form 2 exam testing all the topics / content taught in Form one. It is suitable for students learning French who are joining form 2. Also suitable for students in form 3 and 4 for revision. The...
Price: KES : 100
-
Form 3 French Opener Exam Term 1, 2023
Form 3 Term 1 opener French exam covers topics covered in form 1 and 2. It is suitable for students joining form 3 in first term. Suitable also for the form fours for their revision. There is a...
Price: KES : 100
-
Form 4 French Opener Exam Term 1, 2023
Form 4 Term 1 opener exam tests the content covered in forms 1,2,3. It is suitable for French students joining form 4. The exam can also be used as assignment for revision at home or in school. It...
Price: KES : 100
-
2023 Class 8 science opener exams term 1( with marking schemes)
2023 Class 8 science opener exams term 1( with marking schemes)
Price: KES : 40
-
2023 Class 8 Social Studies and Religious Education Opener Exams Term 1(With Marking Schemes)
2023 Class 8 Social studies and Religious Education opener exams term 1( with marking schemes)
Price: KES : 40
-
2023 Class 8 English Opener Exam Term 1(With Marking Scheme)
2023 Class 8 English Opener Exam Term 1(With Marking Scheme)
Price: KES : 40
-
Grade 6 French Assessment Test End Term 1 2024
End of Term Assessment for Grade 6 French learners. The test covers the strands and sub strands taught in grade 4, 5 and grade 6 Term 1 2024.
Price: KES : 100
-
Grade 5 French Assessment Test End Term 1 2024
The assessment test covers what was taught in grade 4 and part of what is taught in grade 5 term 1
Price: KES : 100
-
Grade 4 French Assessment Test End Term 1 2024
Grade 4 French assessment test covering the strands and sub-strands taught in term 1 grade 4.
Price: KES : 100
-
Nzaui-Mukaa Form Four Agriculture Paper 1 and 2 Examination and Answers
This document contains Agriculture paper 1 and paper 2 questions and answers for Form 4 Nzaui-Mukaa
The answers are below every paper.
Price: KES : 99
-
Nzaui-Mukaa Form Four Biology Paper 1 and 2 Examination Questions and Answers
This document contains Biology paper 1 and paper 2 for Nzaui-Mukaa.
Contains both questions and answers.
Price: KES : 129
-
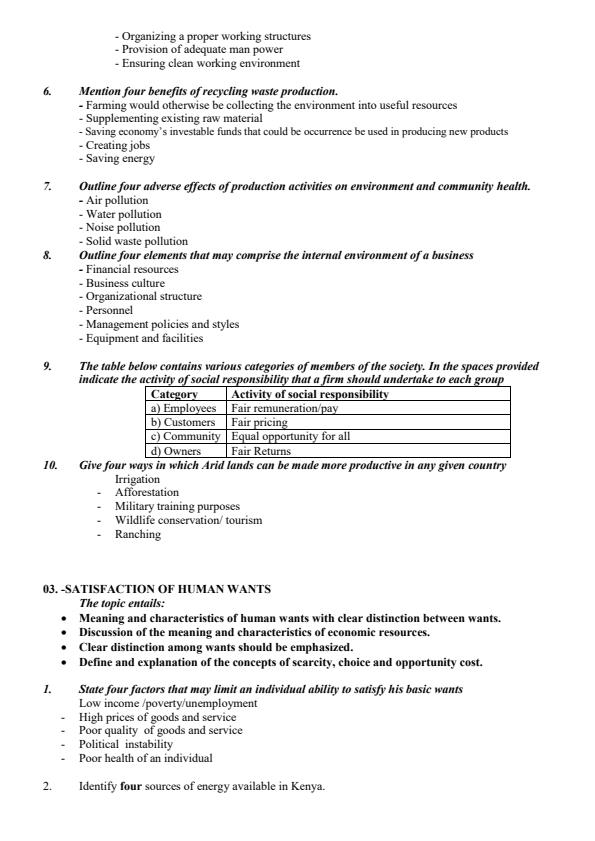
Nzaui-Mukaa Form Four Business Studies Paper 1 and 2 Examination and Answers
Form 4 Paper 1 and Paper 2 Business Studies questions and answers.
Brief Overview:
1. Highlight four factors that are causing many firms to collapse (4mks)
(a)...
Price: KES : 129
-
Form Four Chemistry Paper 1 and 2 Examination Questions and Answers: Nzaui/Mukaa
Get Form Four Chemistry Paper 1 and 2 Examination Questions and Answers.
Price: KES : 59
-
Tips on how to pass KCSE Mathematics examination
Tips on how to pass KCSE Mathematics examination based on personal experience.
Brief Overview:
TIPS ON PASSING KCSE MATHEMATICS EXAMINATIONS
I have received numerous questions on how to pass...
Price: KES : 19
-
Agriculture form one questions and answers: Topical questions and answers
Agriculture form one questions and answers: Topical questions and answers.
Brief Overview:
a). What is Agriculture?
The art and Science of crop and livestock...
Price: KES : 60
-
Kiswahili KCSE Topical Questions and Answers
Kiswahili KCSE Topical Questions and Answers
YALIYOMO
1.11 Matamshi, shada (mkazo katika neno), mtamko, semi, tanakali za sauti, msamiati
(kutokana na maongezi),
1.12 Mazungumzo
1.13 Fasihi...
Price: KES : 100
-
July KNEC BTEP and Technical Examination Timetable
July KNEC BTEP and Technical Examination Timetable.
KNEC/GEN/TD/PSE/BUS/TT/30/2019
2019 JULY BUSINESS EXAMINATIONS TIMETABLE
BUSINESS EDUCATION SINGLE AND GROUP CERTIFICATE (S & G...
Price: KES : 0
-
Good Studying Skills you Prepare for Examinations
Article on Good Studying Skills you Prepare for Examinations.
Brief Overview:
Good studying habits are vital for excellent performance for students and other learners, there’s therefore need to...
Price: KES : 200
-
2023 KCSE Consolidated Trial Examinations Agriculture Booklet
KCSE Consolidated Trial Examination Agriculture Booklet
KIRINYAGA WEST
443/1
AGRICULTURE
PAPER I
SECTION A ( 30MARKS )
Answer ALL the question in this section in the spaces provided
1. List...
Price: KES : 100
-
2023 KCSE Consolidated Trial Examinations Biology Booklet
KCSE Consolidated Trial Examinations Biology Booklet.best for revision
KIRINYAGA WEST
231/1
BIOLOGY
PAPER 1
1. Name the branch of biology that deals with study of:-
(a) Insects. (1 mark)...
Price: KES : 100
-
KCSE Consolidated Trial Examinations Business Studies Booklet
KCSE Consolidated Trial Examinations Business Studies Booklet.
KIRINYAGA WEST
BUSINESS STUDIES
PAPER ONE 565/1
TIME 2 HOURS
Answer All Questions In The Spaces Provided
1. State four uses of...
Price: KES : 250
-
KCSE Consolidated Trial Examinations Chemistry Booklet
KCSE Consolidated Trial Examinations Chemistry Booklet.
KIRINYAGA WEST SCHOOL BASED FORM IV EXAMINATION 2018
33/1
CHEMISTRY
Paper 1 (THEORY)
1. a) State Le‘Chateliers principle (1mk)
b) When...
Price: KES : 250
-
KCSE Consolidated Trial Examinations CRE Booklet
KCSE Consolidated Trial Examinations CRE Booklet.
BUURI
END OF 2ND TERM – 2018
C.R.E F.4 313/1 PP1 EXAM
July/August
1. a) List five major prophetic books in the old testament. (5mks)
b)...
Price: KES : 250
-
KCSE Consolidated Trial Examinations English Booklet
KCSE Consolidated Trial Examinations English Booklet.
The Chief Defect of Henry King
Was chewing little bits of string
At last he swallowed some which tied
Itself in ugly knots inside
Physician...
Price: KES : 250
-
KCSE Consolidated Trial Examinations Geography Booklet
KCSE Consolidated Trial Examinations Geography Booklet.
.........
KIGUMO
GEOGRAPHY
PAPER 1
312/1
SECTION A
1. a) Name the biggest planet in the solar system. (1mk)
b) State three...
Price: KES : 150
-
KCSE Consolidated Trial Examinations History and Government Booklet
KCSE Consolidated Trial Examinations History and Government Booklet.
KIRINYAGA WEST
311/1
HISTORY & GOVERNMENT
PAPER 1
SECTION A (25 marks)
Answer all questions in this section.
1. Give two...
Price: KES : 250
-
KCSE Consolidated Trial Examinations Kiswahili Booklet
KCSE Consolidated Trial Examinations Kiswahili Booklet.
KIRINYAGA WEST
102/1
KISWAHILI
KARATASI 1
INSHA
1. Insha ya lazima.
Ukiwa gavana wa kaunti mojawapo hapa nchini, umeandaa kikao na...
Price: KES : 250