-
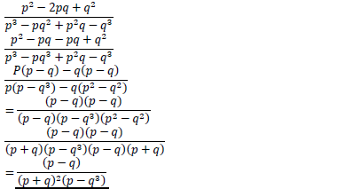
Evaluate the following;
(Solved)
Evaluate the following;

Date posted:
May 6, 2019
.
Answers (1)
-
Given the equations: y=4 -x2 and y=x2-2x;
(Solved)
Given the equations: y=4 -x2 and y=x2-2x;
a) Find the co-ordinates of the points where the two curves meet. (2 marks)
b) Find the co-ordinates of points where y=4 -x2 meet:
(i) The x-axis.
(ii) The y-axis
c) Find the co-ordinates of the points where y=x2– 2x meet;
(i) The x-axis
(ii) The y-axis
d) Sketch the two curves above on the same axes
e) Find the area enclosed between the curves y=4-x2 and y=x2 – 2x.
Date posted:
May 6, 2019
.
Answers (1)
-
Compete the table below
(Solved)
Compete the table below

b) On the same axes draw the graphs of y= sin(x+30)o and y= 2cos(x+30)o.
c) Use your graphs to solve the equation 2cos(x+30)o – sin(x+30)o = 0
d) State the amplitude of each wave.
Date posted:
May 6, 2019
.
Answers (1)
-
The position of two towns P and Q are given to the nearest degrees as P(45oN, 110oW) and Q (45oN, 70oE) Take ??=3.142, Radius of...
(Solved)
The position of two towns P and Q are given to the nearest degrees as P(45oN, 110oW) and Q (45oN, 70oE) Take 𝜋=3.142, Radius of the earth R = 6370km. Find
a) The distance between the two towns along the parallel of latitude in km.
b) The distance between the towns along a parallel of latitude in nautical miles.
c) A plane flew from P to Q taking the shortest distance possible. It took the plane 15 hours to move from P and Q.
Calculate it’s speed in knots
Date posted:
May 6, 2019
.
Answers (1)
-
In the figure below, E is the midpoint of AB, OD:DB=2:3 and F is the point of intersection of OE and AD.
(Solved)
In the figure below, E is the midpoint of AB, OD:DB=2:3 and F is the point of intersection of OE and AD.

a) Given that OA = a and OB = b , express in terms of a and b
i) OE
ii) AD
b) Given further that AF = tAD and OF = sOE where s and t are scalars, find the values of s and t.
c) Show that O, F and E are collinear.
Date posted:
May 6, 2019
.
Answers (1)
-
a) PQRS is a quadrilateral with vertices p(1, 4) Q(2, 1), R(2, 3) and S(6, 4). On the grid provided plot the quadrilateral
(Solved)
a) PQRS is a quadrilateral with vertices p(1, 4) Q(2, 1), R(2, 3) and S(6, 4). On the grid provided plot the quadrilateral
b) Draw P1Q1R1S1 the image of PQRS under a positive quarter turn about the origin and write down its co-ordinates.
c) Draw P11Q11R11S11 the image of P1Q1R1S1 under the transformation whose matrix is
and write down its co-ordinates.
d) Determine the matrix T of a single transformation that maps PQRS onto P11Q11R11S11
Date posted:
May 6, 2019
.
Answers (1)
-
In a geometrical progression, the sum of the second and third terms is 6; and the sum of the third and fourth terms is -12....
(Solved)
In a geometrical progression, the sum of the second and third terms is 6; and the sum of the third and fourth terms is -12. Find:
a) (i) The first term
(ii) The common ration
b) The sum of number of consecutive terms of an arithmetical progression is -19 ½ ; the first term is 16 ½ ; and the common difference is -3. Find the number of terms.
Date posted:
May 6, 2019
.
Answers (1)
-
The table below shows the number of students who scored marks in mathematics test.
(Solved)
The table below shows the number of students who scored marks in mathematics test.

a) Draw a cumulative frequency graph for the data.
b) Use the graph to estimate the median mark.
c) If students who score over 40 marks pass the tests estimate the percentage of the students
i) who passed
ii) who failed
Date posted:
May 6, 2019
.
Answers (1)
-
X and Y are two variables such that Y is partly constant and partly varies inversely as the square of X. If Y = 3...
(Solved)
X and Y are two variables such that Y is partly constant and partly varies inversely as the square of X. If Y = 3 when X= 2 and Y = 5 when X = 1, find Y when X = 4.
Date posted:
May 6, 2019
.
Answers (1)
-
Make y the subject of the formula given
(Solved)
Make y the subject of the formula given

Date posted:
May 6, 2019
.
Answers (1)
-
The equation of a circle centre (h, k) is 2x2 + 2y2– 8x + 5y + 10 = 0. Find the values of h and...
(Solved)
The equation of a circle centre (h, k) is 2x2 + 2y2– 8x + 5y + 10 = 0. Find the values of h and k.
Date posted:
May 6, 2019
.
Answers (1)
-
Find the midpoint of the straight line joining A (2, 1) and D (6,5).
(Solved)
Find the midpoint of the straight line joining A (2, 1) and D (6,5).
Date posted:
May 6, 2019
.
Answers (1)
-
Without using mathematical tables or calculator; evaluate:
(Solved)
Without using mathematical tables or calculator; evaluate:

Date posted:
May 6, 2019
.
Answers (1)
-
Find the equation of the normal to the tangent of the curve y=x3 – 3x2 + 2x + 1 at the point where x=3. Leave...
(Solved)
Find the equation of the normal to the tangent of the curve y=x3 – 3x2 + 2x + 1 at the point where x=3. Leave your answer in the form y=mx + c.
Date posted:
May 6, 2019
.
Answers (1)
-
The sector below has a radius of 12cm and an angle AOC = 60o is folded to form a cone. Find the volume of the...
(Solved)
The sector below has a radius of 12cm and an angle AOC = 60o is folded to form a cone. Find the volume of the cone
formed.

Date posted:
May 6, 2019
.
Answers (1)
-
P and Q are two points such that OP = i + 2j + 3k and OQ = 4i + 5j – 3k. M is...
(Solved)
P and Q are two points such that OP = i + 2j + 3k and OQ = 4i + 5j – 3k. M is a point that divides PQ externally in the
ratio 3:2. Find the co-ordinates of M.
Date posted:
May 6, 2019
.
Answers (1)
-
Find the variance and standard deviation of 3, 5, 7, 9, 11
(Solved)
Find the variance and standard deviation of 3, 5, 7, 9, 11
Date posted:
May 6, 2019
.
Answers (1)
-
Using a ruler and a pair of compasses only construct a triangle PQR in which QR is 6.6cm, P=3.8cm and PQ = 5.6cm.Locate point x...
(Solved)
Using a ruler and a pair of compasses only construct a triangle PQR in which QR is 6.6cm, P=3.8cm and PQ = 5.6cm.Locate point x inside triangle PQR which is equidistant from P and R such that angle PXR = 90o.
Date posted:
May 6, 2019
.
Answers (1)
-
Under a shear with x-axis invariant a square with vertices A(1,0), B(3,0), C(3,2) and D(1,2) is mapped onto a
parallelogram with vertices A1(1,0) B1(3,0), C1(7,2) and...
(Solved)
Under a shear with x-axis invariant a square with vertices A(1,0), B(3,0), C(3,2) and D(1,2) is mapped onto a
parallelogram with vertices A1(1,0) B1(3,0), C1(7,2) and D1(5,2). Find the shear matrix.
Date posted:
May 6, 2019
.
Answers (1)
-
A radio cassette is offered for sale at shs 8,000 or a deposit of shs. 1,000 and 15 monthly repayments of shs 840. Find the...
(Solved)
A radio cassette is offered for sale at shs 8,000 or a deposit of shs. 1,000 and 15 monthly repayments of shs 840. Find the rate of interest compounded monthly that is being charged under hire purchase terms.
Date posted:
May 6, 2019
.
Answers (1)