-
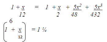
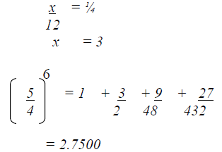
(a) Expand and simplify the binominal expression ( 1 + ½ x)8
(b) Use the expansion up to the fourth term to evaluate (1.05)8 to 2...
(Solved)
(a) Expand and simplify the binominal expression ( 1 + ½ x)8
(b) Use the expansion up to the fourth term to evaluate (1.05)8 to 2 decimal places
Date posted:
June 20, 2019
.
Answers (1)
-
Expand (3 + x)4 in ascending powers of x. Use the first three terms of the expansion to
evaluate (3.02)4, correct to 3 decimal places
(Solved)
Expand (3 + x)4 in ascending powers of x. Use the first three terms of the expansion to
evaluate (3.02)4, correct to 3 decimal places
Date posted:
June 20, 2019
.
Answers (1)
-
a) Using binomial expansion, determine the first five terms of the expansion: (2-1/x)8
b) Use the expansion above to evaluate (1.75)8
(Solved)
a) Using binomial expansion, determine the first five terms of the expansion: (2-1/x)8
b) Use the expansion above to evaluate (1.75)8
Date posted:
June 20, 2019
.
Answers (1)
-
In the figure above K, M & P are points on a straight line. PN is a tangent of the circle centre O.
Angle KOL =...
(Solved)

In the figure above K, M & P are points on a straight line. PN is a tangent of the circle centre O.
Angle KOL = 130o and angle MKN = 40o. Find, giving reasons, the values of angles.
(i) MLN
(ii)OLN
(iii) LNP
(iv) MPN
(v) LMO
Date posted:
June 20, 2019
.
Answers (1)
-
The figure O and P are centres of two intersecting circles. ABE is tangent to circle BCD
at B angle BCD is 42o
(a) Giving reasons for...
(Solved)
The figure O and P are centres of two intersecting circles. ABE is tangent to circle BCD
at B angle BCD is 42o

(a) Giving reasons for your answer, find:-
(i) CBD
(ii) DOB
(iii) DAB
(iv) CDA
b) Show that ADB is isosceles
Date posted:
June 20, 2019
.
Answers (1)
-
The figure below shows two intersecting circles radii 8 cm and 6 cm respectively.
The common chord AB = 9cm ad P and Q are the...
(Solved)
The figure below shows two intersecting circles radii 8 cm and 6 cm respectively.
The common chord AB = 9cm ad P and Q are the centres as shown:

(a) Calculate the size of angles:-
(i) APB
(ii) AQB
(b) Calculate the area of the shaded region
Date posted:
June 19, 2019
.
Answers (1)
-
In the figure below ABC is a tangent to the circle at B. given that
(Solved)
In the figure below ABC is a tangent to the circle at B. given that 
Find the sizes of the following angles giving reasons in each case:
a)BDG
b)DGE
c)EFG
d)CBD
e)BCD
Date posted:
June 19, 2019
.
Answers (1)
-
The chords AB and PQ intersects internally at O. Given that the length of OP=8cm,
OA= 4.5cm and OQ=6cm. Calculate the length of OB
(Solved)
The chords AB and PQ intersects internally at O. Given that the length of OP=8cm,
OA= 4.5cm and OQ=6cm. Calculate the length of OB

Date posted:
June 19, 2019
.
Answers (1)
-
The figure below shows a circle centre O. AB and PQ are chords intersecting externally
at a point C. AB = 9cm, PQ = 5cm and...
(Solved)
The figure below shows a circle centre O. AB and PQ are chords intersecting externally
at a point C. AB = 9cm, PQ = 5cm and QC = 4cm. Find the value of x

Date posted:
June 19, 2019
.
Answers (1)
-
In the figure below, ABCD is a cyclic quadrilateral and BD is a diagonal. EADF is a straight line,
CDF = 68o, BDC = 45o...
(Solved)
In the figure below, ABCD is a cyclic quadrilateral and BD is a diagonal. EADF is a straight line,
CDF = 68o, BDC = 45o and BAE = 98o.

Calculate the size of:
a) ABD.
b) CBD
Date posted:
June 19, 2019
.
Answers (1)
-
Two pipes A and B can fill a tank in 3hrs and 4 hrs respectively. Pipe C can empty the full tank
in 6 hrs.
i) How...
(Solved)
Two pipes A and B can fill a tank in 3hrs and 4 hrs respectively. Pipe C can empty the full tank
in 6 hrs.
i) How long would it take pipes A and B to fill the tank if pipe C is closed?
ii) Starting with an empty tank, how long would it take to fill the tank with all pipes running?
Date posted:
June 19, 2019
.
Answers (1)
-
The figure below shows two pulleys of radii 6cm and 4cm with centres A and B respectively.
AB = 8cm. The pulleys are connected by a...
(Solved)
The figure below shows two pulleys of radii 6cm and 4cm with centres A and B respectively.
AB = 8cm. The pulleys are connected by a string PQXRSY

Calculate:
(a) Length PQ
(b) PAS reflex
(c) Length of arc PYS and QXR
(d) The total length of the string PQXRSY
Date posted:
June 19, 2019
.
Answers (1)
-
In the figure below AOD is a diameter of the circle cetre O. BC is a chord parallel to AD. FE is a
tangent to the...
(Solved)
In the figure below AOD is a diameter of the circle cetre O. BC is a chord parallel to AD. FE is a
tangent to the circle. OF bisects angle COD. Angle BCE = angle COE = 20o BC cuts OE at X

Calculate;
(a) angle BOE
(b) angle BEC
(c) angle CEF
(d) angle OXC
(e) angle OFE
Date posted:
June 19, 2019
.
Answers (1)
-
In the given figure, O is the centre of the circle and AOBP is a straight line. PT is a
tangent to the circle. If PT...
(Solved)
In the given figure, O is the centre of the circle and AOBP is a straight line. PT is a
tangent to the circle. If PT = 12cm and BP = 4cm. find the radius of the circle

Date posted:
June 19, 2019
.
Answers (1)
-
In the figure below angle BAC =52o, angle ACB = 40o and AD = DC. The radius of
the circle is 7cm. EF is a tangent...
(Solved)
In the figure below angle BAC =52o, angle ACB = 40o and AD = DC. The radius of
the circle is 7cm. EF is a tangent to the circle

(a) Find; giving reasons
(i) angle DCF
(ii) angle AOB (obtuse)
(b) Calculate the area of the shaded segment AGB
Date posted:
June 19, 2019
.
Answers (1)
-
In the figure below, ATX is a tangent to the circle at point T, ABC is a straight line, angle
ABT = 100o, angle XTD =...
(Solved)
In the figure below, ATX is a tangent to the circle at point T, ABC is a straight line, angle
ABT = 100o, angle XTD = 58o and line AB = line BT. C and D lie on the circle

Find by giving reasons, the value of angle:
(a) TDC
(b) TCB
(c) TCD
(d) BTC
(e) DTC
Date posted:
June 19, 2019
.
Answers (1)
-
In the figure below, B, D, E, F and G are on the circumference of the circle centre O. A, B
and C form a tangent...
(Solved)
In the figure below, B, D, E, F and G are on the circumference of the circle centre O. A, B
and C form a tangent to the circle at point B. GD is the diameter of the circle. Given that
FG = DE, reflex angle GOB = 252°, angles DBC = 36° and FEG = 20°

Giving reasons in each case find the angles:
a) GEB
b) BED
c) OBE
d) BGE
e) GFE
Date posted:
June 19, 2019
.
Answers (1)
-
XYZ is a triangle in which x = 13.4cm, Z= 5cm and XYZ =57.7o . Find:
(i) Length of XZ
(ii) The circum radius of the triangle
(Solved)
XYZ is a triangle in which x = 13.4cm, Z= 5cm and XYZ =57.7o . Find:
(i) Length of XZ
(ii) The circum radius of the triangle
Date posted:
June 19, 2019
.
Answers (1)
-
In the figure shown below, the centers of the two circles are A and B. PQ is a
common chord to the two circles. AP =...
(Solved)
In the figure shown below, the centers of the two circles are A and B. PQ is a
common chord to the two circles. AP = 6cm, BP=4cm and PQ =5cm

Calculate the area of the shaded region (take π as 3.142)
Date posted:
June 19, 2019
.
Answers (1)
-
In the figure below NR is a diameter of the circle centre O. Angle PNR = 7500 ? NRM = 500 and ?RPQ = 350....
(Solved)
In the figure below NR is a diameter of the circle centre O. Angle PNR = 7500 ∠ NRM = 500 and ∠RPQ = 350. MRS and PQS are straight lines.

Giving reasons for every statement you write, find the following angles
(a) ∠ PQR
(b) ∠QSR
(c) Reflex ∠POR
(d) ∠ MQR
Date posted:
June 19, 2019
.
Answers (1)