-
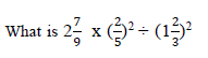
What is the value of the operation below?
(Solved)
What is the value of the operation below?

Date posted:
July 29, 2019
.
Answers (1)
-
What is the next number in the pattern below?
(Solved)
What is the next number in the pattern below?


Date posted:
July 29, 2019
.
Answers (1)
-
Omondi had two children, Tina and Ahmed. When Tina was born Ahmed was 4 years old, Omondi was m years old while his wife was...
(Solved)
Omondi had two children, Tina and Ahmed. When Tina was born Ahmed was 4 years old, Omondi was m years old while his wife was 5 years younger than him. What was their total age after 10 years?
A. 2m+9
B. m+19
C. 2m+ 39
D. 2m + 49
Date posted:
July 29, 2019
.
Answers (1)
-
A saleslady earns a basic monthly salary of sh 15 000. She also gets a commission of 2% on the value of goods sold above...
(Solved)
A saleslady earns a basic monthly salary of sh 15 000. She also gets a commission of 2% on the value of goods sold above sh 250 000. In a certain month she sold 10 television sets @sh 26000, 5 refrigerators @sh 30000, 10 microwaves @sh 16000, one cooker for sh 84000 and another for sh 52000. How much did she earn that month, altogether?
A. sh 29 120
B. sh 24 120
C. sh 20 000
D. sh 9 120
Date posted:
July 29, 2019
.
Answers (1)
-
In the figure below line SR is parallel to line TU, while line ST is parallel to line UV. Line OS=OT and angle RST is...
(Solved)
In the figure below line SR is parallel to line TU, while line ST is parallel to line UV. Line OS=OT and angle RST is 42°.
What is the size of angle TOV?
A. 48°
B. 84°
C. 96°
D. 138°
Date posted:
July 29, 2019
.
Answers (1)
-
A field was to be fenced using 816 posts placed 4 metres apart, leaving a 4 metre space for the gate. If 3 strands of...
(Solved)
A field was to be fenced using 816 posts placed 4 metres apart, leaving a 4 metre space for the gate. If 3 strands of wire were to be used, what would be the total length of wire required?
A. 3 260
B. 3 264
C. 9780
D. 9 792
Date posted:
July 29, 2019
.
Answers (1)
-
A pupil recorded the number of family members of his 10 friends as shown in the table below
(Solved)
A pupil recorded the number of family members of his 10 friends as shown in the table below
What was the product of the median and mode of the number of family members?
A. 13
B. 42
C. 54
D. 56
Date posted:
July 29, 2019
.
Answers (1)
-
A businessman saved Sh. 900 000 in a fixed deposit account which earned Compound Interest at the rate of 15% per annum. How much money...
(Solved)
A businessman saved Sh. 900 000 in a fixed deposit account which earned Compound Interest at the rate of 15% per annum. How much money did he have in the bank at the end of the 2 years?
A. Sh. 1 035 000
B. Sh. 1 170 000
C. Sh. 1 190 250
D. Sh. 2 070 000
Date posted:
July 29, 2019
.
Answers (1)
-
Zainabu bought 5 sacks of carrots for sh. 13 500. Each weighed 90kg. How much should she sell a kilogram of carrot in order to...
(Solved)
Zainabu bought 5 sacks of carrots for sh. 13 500. Each weighed 90kg. How much should she sell a kilogram of carrot in order to make a profit of 10%?
A. sh. 27
B. sh. 30
C. sh. 33
D. sh. 40
Date posted:
July 29, 2019
.
Answers (1)
-
A pupil left home for school at a speed of 5km/h and returned at a speed of 4km/h. The whole journey took 5h 24min. How...
(Solved)
A pupil left home for school at a speed of 5km/h and returned at a speed of 4km/h. The whole journey took 5h 24min. How far is the school from home in kilometres?
A. 9
B. 12
C. 24
D. 27
Date posted:
July 29, 2019
.
Answers (1)
-
In a ranch the ratio of goats to sheep is 4:3, sheep to cows 5:2 and cows to donkeys is 3:2. What is the ratio...
(Solved)
In a ranch the ratio of goats to sheep is 4:3, sheep to cows 5:2 and cows to donkeys is 3:2. What is the ratio of goats to donkeys?
A. 1:2
B. 1:5
C. 2:1
D. 5:1
Date posted:
July 29, 2019
.
Answers (1)
-
What is the value of n in the equation?
5n + 3 (n-4) = 36?
(Solved)
What is the value of n in the equation?
5n + 3 (n-4) = 36?
A. 8
B. 6
C. 5
D. 3
Date posted:
July 29, 2019
.
Answers (1)
-
Which one of the following statements is true?
(Solved)
Which one of the following statements is true?
A. A rectangle is a square
B. A trapezium is a parallelogram
C. A parallelogram is a rectangle
D. A rhombus is a parallelogram
Date posted:
July 29, 2019
.
Answers (1)
-
A soccer ball is dropped from a height of 240 cm. For every bounce the height decreases by 60%. How high will the ball rise...
(Solved)
A soccer ball is dropped from a height of 240 cm. For every bounce the height decreases by 60%. How high will the ball rise on the second bounce?
A. 38.4 cm
B. 86.4 cm
C. 96 cm
D. 144 cm
Date posted:
July 29, 2019
.
Answers (1)
-
A lorry carrying a load of thirty bags of sugar each 90 kg and forty bags of rice each 25 kg. If the load is...
(Solved)
A lorry carrying a load of thirty bags of sugar each 90 kg and forty bags of rice each 25 kg. If the load is half the mass of the lorry when empty, what is the total mass of the loaded lorry in tonnes?
A. 3.7
B. 5.55
C. 7.4
D. 11.1
Date posted:
July 29, 2019
.
Answers (1)
-
What is the value of 5.517 x 14.5 correct to 2 decimal places?
(Solved)
What is the value of 5.517 x 14.5 correct to 2 decimal places?
A. 79.10
B. 79.99
C. 80.0
D. 80.00
Date posted:
July 29, 2019
.
Answers (1)
-
What is the value of?
(Solved)
What is the value of?
A. 264
B. 26.4
C. 2.64
D. 0.264
Date posted:
July 29, 2019
.
Answers (1)
-
What is the total value of digit 9 in 3.45 x 0.27 x 0.3?
(Solved)
What is the total value of digit 9 in 3.45 x 0.27 x 0.3?

Date posted:
July 29, 2019
.
Answers (1)
-
What is the value of 600.79 - 40.0032 + 5.01 to the nearest hundredths?
(Solved)
What is the value of 600.79 - 40.0032 + 5.01 to the nearest hundredths?
A. 565.80
B. 565.79
C. 565.8
D. 565.797
Date posted:
July 29, 2019
.
Answers (1)
-
Solve the following equation:
(Solved)

Date posted:
July 29, 2019
.
Answers (1)