-
Chepkoech has k bananas. Omollo has two more bananas than Chepkoech. Nekesa has three bananas less than the total number that both Chepkoech and Omollo...
(Solved)
Chepkoech has k bananas. Omollo has two more bananas than Chepkoech. Nekesa has three bananas less than the total number that both Chepkoech and Omollo have. How many bananas do they have altogether?
A. 4k + 1
B. 4k + 3
C. 4k + 4
D. 4k + 7
Date posted:
July 30, 2019
.
Answers (1)
-
The figure below represents a half of a cylindrical piece of Wood of diameter 28cm and length of 50cm
(Solved)
The figure below represents a half of a cylindrical piece of Wood of diameter 28cm and length of 50cm
What is the surface area of the Wood?
A. 6,416 cm2
B. 4,216 cm2
C. 3,908 cm2
D. 2,816 cm2
Date posted:
July 30, 2019
.
Answers (1)
-
A farmer harvested 1,200 crates of tomatoes in the year 2011. This was a 20% decrease from the year 2010. How many crates of tomatoes...
(Solved)
A farmer harvested 1,200 crates of tomatoes in the year 2011. This was a 20% decrease from the year 2010. How many crates of tomatoes did the farmer harvest in the year 2010?
A. 1,500
B. 1,440
C. 960
D. 240
Date posted:
July 30, 2019
.
Answers (1)
-
In the figure below lines UV and CD are parallel. Lines WX and YZ are transversals.
(Solved)
In the figure below lines UV and CD are parallel. Lines WX and YZ are transversals.
Which one of the following statements is true about the figure?
A. Angles r and I are co-interior
B. Angle j is vertically opposite to angle n
C. Angle e is alternate to angle t
D. Angle r corresponds to angle f
Date posted:
July 30, 2019
.
Answers (1)
-
A lorry was loaded with 150 cartons of cooking fat and 120 bales of flour. Each carton of cooking fat contained twelve 2kg tins.
(Solved)
A lorry was loaded with 150 cartons of cooking fat and 120 bales of flour. Each carton of cooking fat contained twelve 2kg tins. The mass of an empty carton was 500 grams. Each bale of flour contained twelve 2 kg packets. What was the total load in tonnes?
A. 6.480
B. 6.555
C. 6.615
D. 6555
Date posted:
July 30, 2019
.
Answers (1)
-
In an election, three candidates took part. The winning candidate got 0.429 of the votes cast while the other two got 0.386 and 0.184 respectively....
(Solved)
In an election, three candidates took part. The winning candidate got 0.429 of the votes cast while the other two got 0.386 and 0.184 respectively. There were 84 spoilt votes. How many votes did the winner get?
A. 15,456
B. 32,424
C. 36,036
D. 84,000
Date posted:
July 30, 2019
.
Answers (1)
-
The figure drawn below is a right-angled triangular prism.
(Solved)
The figure drawn below is a right-angled triangular prism.
What is the volume of the prism?
A. 3,000 cm3
B. 3,200 cm3
C. 6,000 cm3
D. 6,500 cm3
Date posted:
July 30, 2019
.
Answers (1)
-
The area of a square plot of land is 3.24 hectares. The owner of the plot wanted to fence all round placing posts at intervals...
(Solved)
The area of a square plot of land is 3.24 hectares. The owner of the plot wanted to fence all round placing posts at intervals of 5 metres. How many posts were required?
A. 720
B. 180
C. 145
D. 144
Date posted:
July 30, 2019
.
Answers (1)
-
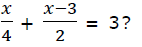
What is the value of x in the equation?
(Solved)
What is the value of x in the equation?
A. 2
B. 3
C. 5
D. 6
Date posted:
July 30, 2019
.
Answers (1)
-
The table below shows commission charged on postal orders.
(Solved)
The table below shows commission charged on postal orders.
Mary was to send sh 7000 using postal orders. Which one of the following combinations of value of orders shows the least commission she would be charged?
A. sh 4000, sh 1000, sh 1000 and sh 1000
B. sh 3000, sh 3000 and sh 1000
C. sh 4000 and sh 3000
D. sh 2000, sh 2000, sh 2000 and sh 1000
Date posted:
July 30, 2019
.
Answers (1)
-
A man was 27 years older than his son ten years ago. His wife is 4 years younger than he is. If their total age...
(Solved)
A man was 27 years older than his son ten years ago. His wife is 4 years younger than he is. If their total age is 116 years now, how old is the son?
A. 12
B. 22
C. 45
D. 49
Date posted:
July 30, 2019
.
Answers (1)
-
A watch loses 5 seconds every hour. The watch was set correct on Wednesday at 6.30 am. What time did it show at 6.30 pm...
(Solved)
A watch loses 5 seconds every hour. The watch was set correct on Wednesday at 6.30 am. What time did it show at 6.30 pm the next Wednesday?
A. 6.15 pm
B. 6.16 pm
C. 6.29 pm
D. 6.45 pm
Date posted:
July 30, 2019
.
Answers (1)
-
Halima bought the following items from a shop.
(Solved)
Halima bought the following items from a shop.
She paid for the items using two 500 shilling notes. How much balance did she receive?
A. sh 220
B. sh 300
C. sh 494
D. sh 780
Date posted:
July 30, 2019
.
Answers (1)
-
In the quadrilateral EFGH drawn below, line EF is parallel to GH. The dotted line JG is the perpendicular height. The area of the quadrilateral...
(Solved)
In the quadrilateral EFGH drawn below, line EF is parallel to GH. The dotted line JG is the perpendicular height. The area of the quadrilateral is
3,600 m2
What is the length of line EF?
A. 72m
B. 75m
C. 90m
D. 120m
Date posted:
July 30, 2019
.
Answers (1)
-
A cylindrical tank whose height is 3.5 m has a diameter of 2.8 m.
(Solved)
A cylindrical tank whose height is 3.5 m has a diameter of 2.8 m. If it is
full of water, how many more litres are needed to fill the tank?.
A. 8,624
B. 12,936
C. 21,560
D. 34,496
Date posted:
July 30, 2019
.
Answers (1)
-
A train left town Q on Thursday at 6.45 pm and took 9 hours 30 minutes to reach town R. At what time and day...
(Solved)
A train left town Q on Thursday at 6.45 pm and took 9 hours 30 minutes to reach town R. At what time and day did it reach town R in 24 hour clock system?
A. 0315 h Friday
B. 0415 h Friday
C. 0415 h Thursday
D. 1615 h Thursday
Date posted:
July 30, 2019
.
Answers (1)
-
The pie chart below represents the types of vehicles imported in Kenya in a certain year.
(Solved)
The pie chart below represents the types of vehicles imported in Kenya in a certain year.
If 16,000 Mazdas were imported, how many more Toyotas than Suzukis were imported?
A. 48,000
B. 28,800
C. 19,200
D. 9,600
Date posted:
July 30, 2019
.
Answers (1)
-
A sales agent is paid a basic salary of sh 12,000 and a commission of 3% for goods sold above sh 50,000. In a certain...
(Solved)
A sales agent is paid a basic salary of sh 12,000 and a commission of 3% for goods sold above sh 50,000. In a certain month, his total earnings were sh 15,000. What was the value of the total sales?
A. sh 51,500
B. sh 65,000
C. sh 100,000
D. sh 150 000
Date posted:
July 30, 2019
.
Answers (1)
-
Express the equation below in its simplest form
(Solved)
What is
expressed in its simplest form?
A. 6m+3n
B. 24m+3n
C. 24m-3n
D. 24m+33n
Date posted:
July 30, 2019
.
Answers (1)
-
Construct a parallelogram WXYZ such that lines WX = 5 cm and XY =7.5 cm. Angle WZY = 135°. Join W to Y and Z...
(Solved)
Construct a parallelogram WXYZ such that lines WX = 5 cm and XY =7.5 cm. Angle WZY = 135°. Join W to Y and Z to X and let the point of intersection be O. What is the length of line WO?
A. 2.6 cm
B. 5.2 cm
C. 5.8 cm
D. 11.6 cm
Date posted:
July 30, 2019
.
Answers (1)