-
The figure below shows the net of a regular rectangular based pyramid. The rectangle measures 18 cm by 15 cm. N and K are mid-points...
(Solved)
The figure below shows the net of a regular rectangular based pyramid. The rectangle measures 18 cm by 15 cm. N and K are mid-points of AD and BC respectively. AB=18 cm and BC= 15 cm while VK=16 cm. V is the vertex and O is the centre of the rectangle ABCD.

a).Sketch the pyramid and label all the vertices
b) From the diagram in (a) above, calculate to 2 decimal places.
i) Length CV
ii) Length VO
iii) The angle between the plane VCB and the base ABCD.
iv) The angle between the plane BVC and AVD
Date posted:
August 13, 2019
.
Answers (1)
-
a) Use the trapezium rule with 5 strips to estimate the area enclosed by the curve, the x-axisand the lines x=-2 and x=3 of the...
(Solved)
a) Use the trapezium rule with 5 strips to estimate the area enclosed by the curve, the x-axis and the lines x=-2 and x=3 of the curve y=x2+x+9.
b) Find the exact area bounded by the curve, the x-axis and the line x=-2 and x=3.
c) Find the percentage error in your workings.
Date posted:
August 13, 2019
.
Answers (1)
-
A self help group of 10 young men invested Shs 72,000 in two companies A and B. A pays a dividend of 22.5% while B...
(Solved)
A self help group of 10 young men invested Shs 72,000 in two companies A and B. A pays a dividend of 22.5% while B pays a dividend of 21%. If from their total investment they obtained a return of 21.5%, how much money did they invest in each company?
Date posted:
August 13, 2019
.
Answers (1)
-
A triangle PQR has a height of x cm and a base of(x+3) cm. if its area is 5 cm2, calculate the height of its...
(Solved)
A triangle PQR has a height of x cm and a base of(x+3) cm. if its area is 5 cm2, calculate the height of its base.
Date posted:
August 13, 2019
.
Answers (1)
-
Solve the following simultaneous equations using matrix Method.
(Solved)
Solve the following simultaneous equations using matrix Method.
4a+3b=120
2a+5b=130
Date posted:
August 13, 2019
.
Answers (1)
-
The total marks scored in a test by 6 pupils was 420. If the mean mark for the first 5 pupils was 68.
(Solved)
The total marks scored in a test by 6 pupils was 420. If the mean mark for the first 5 pupils was 68, find the marks scored by the sixth pupil.
Date posted:
August 13, 2019
.
Answers (1)
-
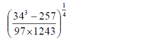
Use the reciprocal tables, square tables and cube tables to evaluate;
(Solved)
Use the reciprocal tables, square tables and cube tables to evaluate;

Date posted:
August 13, 2019
.
Answers (1)
-
The perimeter of a triangular field is 120 M. Two of the sides are 21m and 40m. calculate the largest angle of the field hence...
(Solved)
The perimeter of a triangular field is 120 M. Two of the sides are 21m and 40m. calculate the largest angle of the field hence find the area of the field.
Date posted:
August 13, 2019
.
Answers (1)
-
The equation of a circle is given by 2x2+16x+2y2-4y-2=0. Determine the radius and centre of the circle.
(Solved)
The equation of a circle is given by 2x2+16x+2y2-4y-2=0. Determine the radius and centre of the circle.
Date posted:
August 13, 2019
.
Answers (1)
-
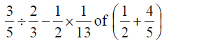
Evaluate the following without using mathematical tables or calculator.
(Solved)
Evaluate the following without using mathematical tables or calculator.

Date posted:
August 13, 2019
.
Answers (1)
-
Use a calculator to work out
(Solved)
Use a calculator to work out

Date posted:
August 13, 2019
.
Answers (1)
-
Given that point A(2,4) and B(8, -4) , find the equation of the perpendicular bisector of line AB.
(Solved)
Given that point A(2,4) and B(8, -4) , find the equation of the perpendicular bisector of line AB.
Date posted:
August 13, 2019
.
Answers (1)
-
Simplify the expression below.
(Solved)
Simplify the expression below.

Date posted:
August 13, 2019
.
Answers (1)
-
In the figure below, 0 is the centre of the circle. PQ and PR are tangents to the circle at P and R respectively Angle...
(Solved)
In the figure below, 0 is the centre of the circle. PQ and PR are tangents to the circle at P and R respectively Angle PQS = 400 and angle PRS 30° RTU is a straight line.

Find with reasons the angles
i) QRS
ii) RTQ
iii) RPQ
iv) Reflex angle QOR
v) TRO given that TR =TQ
Date posted:
August 13, 2019
.
Answers (1)
-
The vertices of triangle PQR are P(O,O), Q(6 0) and R(2,4)
a) Plot these points on the grid provided.
b) Triangle P1Q1R1 is the image of a...
(Solved)
The vertices of triangle PQR are P(O,O), Q(6 0) and R(2,4)
a) Plot these points on the grid provided.
b) Triangle P1Q1R1 is the image of a triangle PQR under an enlargement scale factor ½ and centre (2,2). Write down the coordinates of triangle P1Q1R1 and plot on the
same grid.
c) Draw triangle P11Q11R11 the image of triangle P1Q1R1 under a positive quarter turn about the point (1,1)
d) Draw a triangle P111Q111R111 the image of triangle P11Q11R11 under reflection in the line y = l.
e).Describe fully a single transformation which maps triangle P11Q11R11 onto triangle P1Q1R1.
Date posted:
August 13, 2019
.
Answers (1)
-
The distance between town Manchester and Barcelona is 560 km.A car and a lorry travel from Manchester to Barcelona. The average speed of the Lorry...
(Solved)
The distance between town Manchester and Barcelona is 560 km.A car and a lorry travel from Manchester to Barcelona. The average speed of the Lorry is 20 km/h, less than that of the takes the car. The Lorry takes one and a sixth hrs more than the car to travel from Manchester to Barcelona.
a) If the speed of lorry is x km/h, find x.
b) The lorry left Manchester town at 7:15 am. The car left Manchester town later and overtook the lorry at 11:15 am.
i) Calculate the time the car left town Manchester
ii) Distance yet to he covered by y lorry as the car arrives at Barcelona.
Date posted:
August 13, 2019
.
Answers (1)
-
Find the co-ordinates of the point Q which divides the line PR in ratio 3 :2 given the co – ordinates of P and R...
(Solved)
Find the co-ordinates of the point Q which divides the line PR in ratio 3 :2 given the co – ordinates of P and R are ( 3,-1) and ( 4,3) respectively.
Date posted:
August 13, 2019
.
Answers (1)
-
The positions vectors of point A and B are a and b respectively. C is another point with Positions vector c = 3/2 b –...
(Solved)
The positions vectors of point A and B are a and b respectively. C is another point with Positions vector c = 3/2 b – ½ a.
Express in terms of a and b
i) Vector AC,AB. Hence show that A,B and C are collinear
ii) Determine the ratio A B:BC
Date posted:
August 13, 2019
.
Answers (1)
-
If P,Q and R are the points (2,-4), (4,0) and (1,6) respectively. Use the vector method to find the co-ordinates of points S given that...
(Solved)
If P,Q and R are the points (2,-4), (4,0) and (1,6) respectively. Use the vector method to find the co-ordinates of points S given that PQRS is a Parallelogram
Date posted:
August 13, 2019
.
Answers (1)
-
A rectangular tank whose internal dimensions are 2.04 m by 1.68 m by 26.4 m is seven – eighth full of milk
a) If the tank...
(Solved)
A rectangular tank whose internal dimensions are 2.04 m by 1.68 m by 26.4 m is seven – eighth full of milk
a) If the tank is made of metal of thickness 3mm. Calculate the external volume of
the tank in m3 when closed.
b)i) Calculate the volume of milk in the tank in cubic metres.The milk is to he packed in small packets. Each packet is in the shape of a right- Pyramid on an equilateral triangular base of side 19.2 cm. The height of each packet is 13.6 cm. Full packets obtained are sold at Kshs. 35 Per packet. Calculate; the number of full packets.
ii) The amount of money obtained from the sale of the packets.
Date posted:
August 13, 2019
.
Answers (1)