-
Two types of tea in Kericho grade A and grade B are mixed. Grade A costs sh. 85 per kg, and grade B costs sh....
(Solved)
Two types of tea in Kericho grade A and grade B are mixed. Grade A costs sh. 85 per kg, and grade B costs sh. 70 per kg.
a) If the tea are mixed in the ratio 2:1, find the cost 2kg of the mixture.
b) The tea is to be sold in 2kg boxes at a 30% profit. Find the selling price of the tea.
c) At the end of the week the price of a 2kg box is reduced to sh. 125. Find the percentage reduction in the price .
d) Origianally 200kg of grade A and 100kg of grade B were bought 240kg of the mixture was sold at the price of part b, and the rest was sold at the reduced price of part C. Find the overall percentage profit.
Date posted:
August 14, 2019
.
Answers (1)
-
Find the positive number m for which
(Solved)
Find the positive number m for which

Date posted:
August 14, 2019
.
Answers (1)
-
Construct a net of the triangular prism shown, where the cross section is an equilateral triangle.Hence calculate the surface area of the prism.
(Solved)
Construct a net of the triangular prism shown, where the cross section is an equilateral triangle.Hence calculate the surface area of the prism.

Date posted:
August 14, 2019
.
Answers (1)
-
A Kenyan businessman bought goods from Japan worth 2,950,000 Japanese Yen.
(Solved)
A Kenyan businessman bought goods from Japan worth 2,950,000 Japanese Yen.On arrival in Kenya, custom duty of 20% was changed on the value of the goods. If the exchange rates were as follows:-
1 us dollar = 118 Japanese yen
1 us dollar = 76 Kenya shillings
Calculate the duty paid in Kenya shillings.
Date posted:
August 14, 2019
.
Answers (1)
-
The angles of a quadrilateral are 3x, 2x, x +14 and 2( x – 7) degrees. Find the smallest angle.
(Solved)
The angles of a quadrilateral are 3x, 2x, x +14 and 2( x – 7) degrees. Find the smallest angle.
Date posted:
August 13, 2019
.
Answers (1)
-
The figure below shows three circles which intersect with each other externally.If the centres of the circle form a triangle with sides of length 9cm, 7cm and 6cm.Calculate...
(Solved)
The figure below shows three circles which intersect with each others externally.

If the centres of the circle form a triangle with sides of length 9cm, 7cm and 6cm.Calculate the radii of the circles.
Date posted:
August 13, 2019
.
Answers (1)
-
A circle whose centre (-2,5) passes through point P(10, 10).Find the equation of the circle in the form of ax2 + by2 + cx + dy...
(Solved)
A circle whose centre (-2,5) passes through point P(10, 10).Find the equation of the circle in the form of ax2 + by2 + cx + dy + k = 0. Where a,b,c,d and k are constants.
Date posted:
August 13, 2019
.
Answers (1)
-
Three quantities t, x and y are such that t varies directly as x and inversely as the square root of y.
Find the percentage decrease...
(Solved)
Three quantities t, x and y are such that t varies directly as x and inversely as the square root of y.
Find the percentage decrease in t if x decreases by 44%.
Date posted:
August 13, 2019
.
Answers (1)
-
A circle centre o, has the equation x2 + y2 = 4
The area of the circle in the first quadrant is divided into 5 vertical...
(Solved)
A circle centre o, has the equation x2 + y2 = 4
The area of the circle in the first quadrant is divided into 5 vertical strips each of width 0.4cm.
a) Use the equation of the circle to complete the table below for values of y correct 2 decimal places.

b) Use the trapezium rule to estimate the area of the circle.
Date posted:
August 13, 2019
.
Answers (1)
-
Without using mathematical tables evaluate.
(Solved)
Without using mathematical tables evaluate.

Date posted:
August 13, 2019
.
Answers (1)
-
Simplify the given expression completely
(Solved)
Simplify the given expression completely

Date posted:
August 13, 2019
.
Answers (1)
-
By using the substitution y = 2x, solve the equation.
5 x 22x+1 – 3 x 2x – 34 = 0
(Solved)
By using the substitution y = 2x, solve the equation.
5 x 22x+1 – 3 x 2x – 34 = 0
Date posted:
August 13, 2019
.
Answers (1)
-
Use logarithms tables to evaluate the expression below.
(Solved)
Use logarithms tables to evaluate the expression below.

Date posted:
August 13, 2019
.
Answers (1)
-
In the figure below O is the centre of a circle whose radius is 6cm and PQ is 9cm.
a) Calculate angle POQ.
b) Calculate the...
(Solved)
In the figure below O is the centre of a circle whose radius is 6cm and PQ is 9cm.

a) Calculate angle POQ.
b) Calculate the area of major segment.
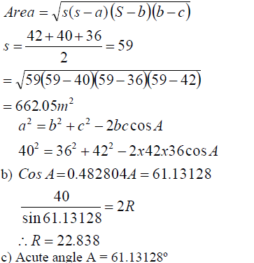
c) Find the area of a triangle ABC with sides 7cm, 9cm and 11 cm long.
Date posted:
August 13, 2019
.
Answers (1)
-
The heights (cm) of some seedlings in a nursery are recorded in the table below.
a) Calculate the mean height of seedlings in the nursery.
b)...
(Solved)
The heights (cm) of some seedlings in a nursery are recorded in the table below.

a) Calculate the mean height of seedlings in the nursery.
b) Estimate the median height of the seedlings in the nursery.
c) On the grid provided, draw a histogram to represent the information.
Date posted:
August 13, 2019
.
Answers (1)
-
In the figure below (not drawn to scale) OABC is a parallelogram. AB is produced to T such that AB:BT = 3 : 1 and OA...
(Solved)
In the figure below (not drawn to scale) OABC is a parallelogram. AB is produced to T such that AB:BT = 3 : 1 and OA is produced to R such that OA : OR = 3 : 5. Given that OA = a and OC = c;

Express in terms of a and c vectors.
a) AC
b) CR
c) AT
d) CT
e) RT
Date posted:
August 13, 2019
.
Answers (1)
-
Town Q is 180km on bearing of 050o from town P. Another town R is on a bearing 110o from P and also on compass...
(Solved)
Town Q is 180km on bearing of 050o from town P. Another town R is on a bearing 110o from P and also on compass bearing S 30oE from Q. Town S is South of P and also West of R
Using scale 1 cm rep. 20 km;
a) Draw the scale diagram to show the positions of the four towns.
b) Use your scale diagram in (a) above to find;
i) The distance of R from P.
ii) The bearing of Q from S.
iii) The distance of Q from S.
iv) How far P is North of S.
Date posted:
August 13, 2019
.
Answers (1)
-
Given that tan yo = 0.75 and y is acute angle; Find the value of:-
i) Cos yo
ii) Sin yo
iii) Tan (90 – y)o
(Solved)
Given that tan yo = 0.75 and y is acute angle; Find the value of:-
i) Cos yo
ii) Sin yo
iii) Tan (90 – y)o
Date posted:
August 13, 2019
.
Answers (1)
-
Solve for acute angle x given that;
cos (x – 30)o – sin (3x + 50o) = 0
(Solved)
Solve for acute angle x given that;
cos (x – 30)o – sin (3x + 50o) = 0
Date posted:
August 13, 2019
.
Answers (1)
-
Two friends Jane and Tom live 40km apart. One day Jane left her house at 9.00am and cycled towards Tom’s house at an average speed...
(Solved)
Two friends Jane and Tom live 40km apart. One day Jane left her house at 9.00am and cycled towards Tom’s house at an average speed of 15km/hr. Tom left at 10.30am on the same day and cycled towards Jane’s house at an average speed of 25km/hr.
a) Determine;
i) The distance from Jane’s house, where the two friends met.
ii) The time they met.
iii) How far Jane was from Tom’s house when they met?
b) The two friends took 10 minutes at the meeting point and they cycled to Tom’s house at an average speed of 12km/hr. Find the time they arrived at Tom’s house.
Date posted:
August 13, 2019
.
Answers (1)