-
Four towns K, L, M and N are such that L is 94km directly to the North of K and M is on a bearing...
(Solved)
Four towns K, L, M and N are such that L is 94km directly to the North of K and M is on a bearing of 295o from K at a distance of 60km. N is on a bearing of 310o from M and at a distance of 42km, using a scale 1 : 1000000.
a) Make an accurate scale drawing to show the relative scale positions of the towns.
Find;
b) The distance and the bearing of L from M.
c) The distance and bearing of N from L.
d) The distance and bearing of K from N.
Date posted:
August 20, 2019
.
Answers (1)
-
Without using tables or a calculator, evaluate
(Solved)
Without using tables or a calculator, evaluate

Date posted:
August 20, 2019
.
Answers (1)
-
a)Using a ruler and a pair of compasses only construct a rhombus A B C D such that AB = 6cm and o.
(Solved)
a)Using a ruler and a pair of compasses only construct a rhombus A B C D such that AB = 6cm and o.
b) Drop a perpendicular from C to AB extended to meet AB at N. measure BN and CN.
c) Bisect
d) Determine the area o f triangle ABM.
Date posted:
August 20, 2019
.
Answers (1)
-
Given that tan alpha = 0.75, without using tables or a calculator find cos (180- alpha)
(Solved)
Given that tan alpha = 0.75, without using tables or a calculator find cos (180—alpha)
Date posted:
August 20, 2019
.
Answers (1)
-
Using a pair of compasses and a ruler only construct a triangle ABC such that AB= 4cm,BC = 6cm and angle ABC = 135°.
(Solved)
Using a pair of compasses and a ruler only construct a triangle ABC such that AB= 4cm,BC = 6cm and angle ABC = 135°.
Date posted:
August 20, 2019
.
Answers (1)
-
Two similar cylinders have the ratio of the areas as 9 : 25.
(Solved)
Two similar cylinders have the ratio of the areas as 9 : 25. Given that the bigger cylinder has a volume of 750cm3, calculate the volume of the smaller cylinder.
Date posted:
August 20, 2019
.
Answers (1)
-
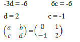
Solve for P given that,
(Solved)
Solve for P given that,

Date posted:
August 20, 2019
.
Answers (1)
-
Calculate the value of x.
(Solved)
A transformation whose matrix is
maps a triangle with an area of 4cm2 onto another triangle with area of 36cm2. Calculate the value of x.
Date posted:
August 20, 2019
.
Answers (1)
-
A shirt whose marked price is sh.800 is sold to a customer after allowing him a discount of 13%.
(Solved)
A shirt whose marked price is sh.800 is sold to a customer after allowing him a discount of 13%. If the trader makes a profit of 20%. Find how much the trader paid for the shirt.
Date posted:
August 20, 2019
.
Answers (1)
-
Find the perimeter of the figure below. Give your answer correct to four significant figures.
(Solved)
Find the perimeter of the figure below. Give your answer correct to four significant figures.

Date posted:
August 20, 2019
.
Answers (1)
-
Find the length BC of the following triangle if AC = 3.7cm, AB = 4cm and o
(Solved)
Find the length BC of the following triangle if AC = 3.7cm, AB = 4cm and o.

Date posted:
August 20, 2019
.
Answers (1)
-
The motion of a particle P moving a long a straight line is described by the equation s = 8t + 10t2 – t3. Where...
(Solved)
The motion of a particle P moving a long a straight line is described by the equation s = 8t + 10t2 – t3. Where s is the distance in metres and t is time in seconds.
Calculate:
(i) The distance when t = 2.5 sec.
(ii) The maximum velocity of the motion
(iii) The acceleration of motion after 3 seconds
(iv) The time at which the velocity is zero
Date posted:
August 20, 2019
.
Answers (1)
-
A security guard observes that the angle of elevation to the top of an observation tower is 36o
(Solved)
A security guard observes that the angle of elevation to the top of an observation tower is 36o, if he walks 65m towards the base of the tower, the angle becomes 57.5o. What is the height of the tower?
Date posted:
August 20, 2019
.
Answers (1)
-
The distance between two towns A and B is 460 km. A minibus left town A at 7:15 am and traveled towards B at an...
(Solved)
The distance between two towns A and B is 460 km. A minibus left town A at 7:15 am and traveled towards B at an average speed of 65 km/h.A car left B at 9:45 am on the same day and traveled towards A at an average speed of 100 km/h.
(a) How far from B did they meet?
(b) At what time did the two vehicles meet?
(c) A motorist started from his home at 8:15 am on the same day and traveled to B at an average speed of 120 km/h. He arrived at the same time as the minibus. Calculate the distance from B to his home.
Date posted:
August 20, 2019
.
Answers (1)
-
An open rectangular box measures externally 32cm long, 27cm wide and 15cm deep. If the box is made of wood 1cm thick, what volume of...
(Solved)
An open rectangular box measures externally 32cm long, 27cm wide and 15cm deep. If the box is made of wood 1cm thick, what volume of wood is used?
Date posted:
August 20, 2019
.
Answers (1)
-
Solve the simultaneous equation below.
(Solved)
Solve the simultaneous equation below.

Date posted:
August 20, 2019
.
Answers (1)
-
Use reciprocal tables to work out the following correct to 4s.f.
(Solved)
Use reciprocal tables to work out the following correct to 4s.f.

Date posted:
August 20, 2019
.
Answers (1)
-
Mutua had a tank which had two taps A and B.
(Solved)
Mutua had a tank which had two taps A and B. Tap A takes 5 and a third minutes to fill the tank and tap B takes 10 minutes to empty the tank. Starting with a tank ¾ full, how long will it take to fill the tank if both taps are opened at the same time?
Date posted:
August 20, 2019
.
Answers (1)
-
A cylindrical storage tank of diameter 14 cm is initially two thirds full of water. The tank is filled by a pipe of internal diameter...
(Solved)
A cylindrical storage tank of diameter 14 cm is initially two thirds full of water. The tank is filled by a pipe of internal diameter 10 cm through which water flows at the rate of 56 litres per minute. Water starts flowing into the tank at 10:15 am and the tank is full at 2:55 pm.
(a) Determine the height of the tank.
(b) Starting with the full tank, school uses water from this tank at the rate of 11,550 cm3 per day. Find how long it takes to consume all the water assuming that no more water is added.
(c) How long does it take for the tap to fill the tank when empty?
Date posted:
August 20, 2019
.
Answers (1)
-
Solve the following quadratic equation by completing the square.
(Solved)
Solve the following quadratic equation by completing the square.
2x2= 1.5 – 7x
Date posted:
August 20, 2019
.
Answers (1)