-
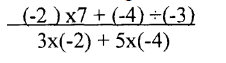
Solve for X in the equation.
(Solved)
Solve for X in the equation.

Date posted:
August 20, 2019
.
Answers (1)
-
The diagram, which is not drawn to scale, shows an isosceles triangle ABC in which AB = AC. The
co-ordinates of A and B are...
(Solved)
The diagram, which is not drawn to scale, shows an isosceles triangle ABC in which AB = AC. The
co-ordinates of A and B are (5, 6) and 0,-4) respectively.

Given that the equation of line BC is y = ¾ x – 4 and that the perpendicular from A to BC meet BC at D, find;
i) The equation of AD
ii) The co-ordinate of D
iii) The co-ordinate of C
iv) The area of the triangle ABC
Date posted:
August 20, 2019
.
Answers (1)
-
The figure shown below is a circumscribed circle with the chord AB = 6cm and chord AC = 5.5 cm. angle BAC = 52o and...
(Solved)
The figure shown below is a circumscribed circle with the chord AB = 6cm and chord AC = 5.5 cm. angle BAC = 52o and O is the centre of the circle.

Calculate;
a) The length of the chord BC.
b) The radius of the circle centre O.
c) The area of the shaded region.
Date posted:
August 20, 2019
.
Answers (1)
-
A Nissan matatu left nakuru at 9.10am at an average speed of 56km/h towards eldoret.
(Solved)
A Nissan matatu left nakuru at 9.10am at an average speed of 56km/h towards eldoret. A bus left Eldoret towards Nakuru at 10:10am travelling at an average speed of 70km/h. Given that the distance between Eldoret and Nakuru is 148km.
a) The time at which the matatu will meet the bus.
b) The distance from Eldoret to the meeting point
c) Another saloon car left Eldoret at 10.30am on the same day travelling towards Nakuru. If the car traveled at an average speed of 90km/hr. How long did it take the car to catch up with the bus?
Date posted:
August 20, 2019
.
Answers (1)
-
A spire stands directly across the street from a building. The angle of depression of the top of the building from the top of the...
(Solved)
A spire stands directly across the street from a building. The angle of depression of the top of the building from the top of the spire is 25.8o and the angle of elevation of the top of the spire from the foot of the building is 43.5o. Given that the distance between the spire and the building is 40m, calculate to 2dp.
a) The height of the spire
b) The difference in height between the spire and the building
c) The height of the building
d) The angle of elevation of the top of the building from the foot of the spire
Date posted:
August 20, 2019
.
Answers (1)
-
A frustum of a cone is such that one of its ends is hemispherical with a radius of 21cm and the other top end is...
(Solved)
A frustum of a cone is such that one of its ends is hemispherical with a radius of 21cm and the other top end is circular with a radius of 10.5cm .The perpendicular distance between the centres of the circular parts is 20cm. Find;
(a) The slant length of the original cone.
(b) The slant length of the frustum.
(c) The surface area of the frustum.
Date posted:
August 20, 2019
.
Answers (1)
-
The co-ordinates of the vertices of rectangle P Q R S are P(1,1) Q(6,1) R(6,4) and S(1,4)
(Solved)
The co-ordinates of the vertices of rectangle P Q R S are P(1,1) Q(6,1) R(6,4) and S(1,4)
a) i) Find the co-ordinates of the vertices of its image P1Q1R1S1 under the transformation defined by
ii) Draw the object and its image on the graph paper.
iii) On the same grid draw the image P11Q11R11S11 of P1Q1R1S1 under the matrix given by
b) Find a single matrix which will map P Q R S to P11Q11R11S11
Date posted:
August 20, 2019
.
Answers (1)
-
Four towns K, L, M and N are such that L is 94km directly to the North of K and M is on a bearing...
(Solved)
Four towns K, L, M and N are such that L is 94km directly to the North of K and M is on a bearing of 295o from K at a distance of 60km. N is on a bearing of 310o from M and at a distance of 42km, using a scale 1 : 1000000.
a) Make an accurate scale drawing to show the relative scale positions of the towns.
Find;
b) The distance and the bearing of L from M.
c) The distance and bearing of N from L.
d) The distance and bearing of K from N.
Date posted:
August 20, 2019
.
Answers (1)
-
Without using tables or a calculator, evaluate
(Solved)
Without using tables or a calculator, evaluate

Date posted:
August 20, 2019
.
Answers (1)
-
a)Using a ruler and a pair of compasses only construct a rhombus A B C D such that AB = 6cm and o.
(Solved)
a)Using a ruler and a pair of compasses only construct a rhombus A B C D such that AB = 6cm and o.
b) Drop a perpendicular from C to AB extended to meet AB at N. measure BN and CN.
c) Bisect
d) Determine the area o f triangle ABM.
Date posted:
August 20, 2019
.
Answers (1)
-
Given that tan alpha = 0.75, without using tables or a calculator find cos (180- alpha)
(Solved)
Given that tan alpha = 0.75, without using tables or a calculator find cos (180—alpha)
Date posted:
August 20, 2019
.
Answers (1)
-
Using a pair of compasses and a ruler only construct a triangle ABC such that AB= 4cm,BC = 6cm and angle ABC = 135°.
(Solved)
Using a pair of compasses and a ruler only construct a triangle ABC such that AB= 4cm,BC = 6cm and angle ABC = 135°.
Date posted:
August 20, 2019
.
Answers (1)
-
Two similar cylinders have the ratio of the areas as 9 : 25.
(Solved)
Two similar cylinders have the ratio of the areas as 9 : 25. Given that the bigger cylinder has a volume of 750cm3, calculate the volume of the smaller cylinder.
Date posted:
August 20, 2019
.
Answers (1)
-
Solve for P given that,
(Solved)
Solve for P given that,

Date posted:
August 20, 2019
.
Answers (1)
-
Calculate the value of x.
(Solved)
A transformation whose matrix is
maps a triangle with an area of 4cm2 onto another triangle with area of 36cm2. Calculate the value of x.
Date posted:
August 20, 2019
.
Answers (1)
-
A shirt whose marked price is sh.800 is sold to a customer after allowing him a discount of 13%.
(Solved)
A shirt whose marked price is sh.800 is sold to a customer after allowing him a discount of 13%. If the trader makes a profit of 20%. Find how much the trader paid for the shirt.
Date posted:
August 20, 2019
.
Answers (1)
-
Find the perimeter of the figure below. Give your answer correct to four significant figures.
(Solved)
Find the perimeter of the figure below. Give your answer correct to four significant figures.

Date posted:
August 20, 2019
.
Answers (1)
-
Find the length BC of the following triangle if AC = 3.7cm, AB = 4cm and o
(Solved)
Find the length BC of the following triangle if AC = 3.7cm, AB = 4cm and o.

Date posted:
August 20, 2019
.
Answers (1)
-
The motion of a particle P moving a long a straight line is described by the equation s = 8t + 10t2 – t3. Where...
(Solved)
The motion of a particle P moving a long a straight line is described by the equation s = 8t + 10t2 – t3. Where s is the distance in metres and t is time in seconds.
Calculate:
(i) The distance when t = 2.5 sec.
(ii) The maximum velocity of the motion
(iii) The acceleration of motion after 3 seconds
(iv) The time at which the velocity is zero
Date posted:
August 20, 2019
.
Answers (1)
-
A security guard observes that the angle of elevation to the top of an observation tower is 36o
(Solved)
A security guard observes that the angle of elevation to the top of an observation tower is 36o, if he walks 65m towards the base of the tower, the angle becomes 57.5o. What is the height of the tower?
Date posted:
August 20, 2019
.
Answers (1)