-
Without using mathematical tables or calculator, evaluate;
(Solved)
Without using mathematical tables or calculator, evaluate;

Date posted:
August 27, 2019
.
Answers (1)
-
In the figure below OAB is a triangle, OA = a, OB = b. Point M lies on AB such thatAM : MB = 1:3...
(Solved)
In the figure below OAB is a triangle, OA = a, OB = b. Point M lies on AB such that AM : MB = 1:3 and N lies on OB such that OB : BN = 7: - 5. Line OM and AN intersect at X.

a) Express in terms of a and b;
(i) OM
(ii) AN
b) Given that OX=kOM and AX=hAN where k and h are scalars.
(i) Write down two expressions for OX in terms of a, b, h and k.
(ii) Find the values of h and k.
(iii) Determine the ratio in which X divides AN.
Date posted:
August 27, 2019
.
Answers (1)
-
In the figure below O is the centre of the circle. A, B, C and D are points on the circumference of the circle. A,...
(Solved)
In the figure below O is the centre of the circle. A, B, C and D are points on the circumference of the circle. A, O, X,C and E are on a straight line. DE is a tangent to the circle at D. Angle BOC = 480 and angle CAD = 360

a) Find the value of;
(i) Angle CBA.
(ii) Angle BDE.
(iii) Angle CED.
b) If AX = 12cm, XC = 4cm, DB = 14cm and DE = 15cm. Calculate;
(i) DX.
(ii) AE.
Date posted:
August 27, 2019
.
Answers (1)
-
The boats X, Y and Z are such that Y is 500km on a bearing of 0300 from X. Z is 750km from Y and...
(Solved)
The boats X, Y and Z are such that Y is 500km on a bearing of 0300 from X. Z is 750km from Y and on a bearing of 1400 from X. Calculate;
a) The distance of Z from X.
b) The bearing of X from Z.
c) The shortest distance from X to the direct route between Y and Z.
d) Boat S is sighted 900km due east of Y. Calculate the distance of S from Z.
Date posted:
August 27, 2019
.
Answers (1)
-
A bucket is in the shape of a frustum with a base radius 14 cm and top radius 21 cm. The height of the bucket...
(Solved)
A bucket is in the shape of a frustum with a base radius 14 cm and top radius 21 cm. The height of the bucket is 20 cm as shown below. The bucket contains water to a depth of 10 cm.

a) Calculate the volume of the water in the bucket.
b) All the water is poured into a cylindrical container of radius 14 cm. If the height of the cylinder is 30 cm, calculate the internal surface area of the cylinder which is not in contact with the water.
Date posted:
August 27, 2019
.
Answers (1)
-
Draw the net of the solid below.
(Solved)
Draw the net of the solid below.

Date posted:
August 27, 2019
.
Answers (1)
-
Given P = (n – 3)i + (2n – 4)j + (2n – 5) k and ¦P¦ = 7. Find the possible values of n.
(Solved)
Given P = (n – 3)i + (2n – 4)j + (2n – 5) k and │P│ = 7. Find the possible values of n.
Date posted:
August 27, 2019
.
Answers (1)
-
A Kenyan bank buys and sells foreign currencies as shown below.
(Solved)
A Kenyan bank buys and sells foreign currencies as shown below.

A tourist arrived in Kenya with 106,000 Hongkong dollars and changed the whole amount to Kenya shillings. While in Kenya she spent Kshs. 408,889 and changed the balance to South African rand before leaving for South Africa. Calculate the amount in South African rand she received.
Date posted:
August 27, 2019
.
Answers (1)
-
In the figure below, angle ACD = angle ABC. AD = 12cm, AC = 18cm and BC = 21cm. Find the length of BD and...
(Solved)
In the figure below, angle ACD = angle ABC. AD = 12cm, AC = 18cm and BC = 21cm. Find the length of BD and DC.

Date posted:
August 27, 2019
.
Answers (1)
-
Evaluate without using tables or calculator.
(Solved)
Given that tan
, evaluate without using tables or calculator.

Date posted:
August 26, 2019
.
Answers (1)
-
If A = 2.3, B = 8.7 and C = 2.0 find the % error in
(Solved)
If A = 2.3, B = 8.7 and C = 2.0 find the % error in

Date posted:
August 26, 2019
.
Answers (1)
-
Make q the subject of the formula:
(Solved)
Make q the subject of the formula:

Date posted:
August 26, 2019
.
Answers (1)
-
Evaluate without using a Mathematical table or a calculator.
(Solved)
Evaluate without using a Mathematical table or a calculator.

Date posted:
August 26, 2019
.
Answers (1)
-
If (M + n) : (M – n) = 8: 3. Find the ratio M: n.
(Solved)
If (M + n) : (M – n) = 8: 3. Find the ratio M: n.
Date posted:
August 26, 2019
.
Answers (1)
-
Use reciprocal, squares and square root tables only to evaluate the expression.
(Solved)
Use reciprocal, squares and square root tables only to evaluate the expression.

Date posted:
August 26, 2019
.
Answers (1)
-
Using logarithm tables only, evaluate
(Solved)
Using logarithm tables only, evaluate

Date posted:
August 26, 2019
.
Answers (1)
-
Using a ruler a pair of compass only;(a) Draw line AB 6cm long. On one side of line AB, construct the locus of point P...
(Solved)
Using a ruler a pair of compass only;
(a) Draw line AB 6cm long. On one side of line AB, construct the locus of point P such that angle APB = 45°
(b) Locate two points P1 and P2 on the locus of point P such that angle AP1B = angle AP2B = 45° and the area of triangle AP1B = AP2B = 12cm2.
c) Locate point Q on the locus of P such that the area of triangle AQB is maximum, hence find the maximum area.
Date posted:
August 26, 2019
.
Answers (1)
-
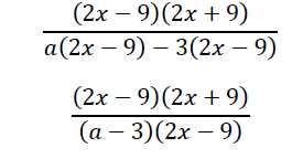
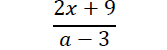
Simplify
(Solved)
Simplify

Date posted:
August 26, 2019
.
Answers (1)
-
A company receives 470kg of tea leaves in a day. This is packed in 100g, 250g and 500g packets such that the number of 100g...
(Solved)
A company receives 470kg of tea leaves in a day. This is packed in 100g, 250g and 500g packets such that the number of 100g packets is twice the number of 250g packets and three times the number of 500g packets.
How many packets of each type are packed in a day.
Date posted:
August 26, 2019
.
Answers (1)
-
Under an enlargement scale factor -2, the image of A( 2 ,4) is A’(-1 ,-2). Under the same enlargement, the image of D( x ,y)...
(Solved)
Under an enlargement scale factor -2, the image of A( 2 ,4) is A’(-1 ,-2). Under the same enlargement, the image of D( x ,y) is D’(3, -2). Find the coordinates of the object D.
Date posted:
August 26, 2019
.
Answers (1)