-
A cylindrical solid of length 20cm and radius 6cm is melted to form 12 similar conical solids of height 8cm.
(Solved)
A cylindrical solid of length 20cm and radius 6cm is melted to form 12 similar conical solids of height 8cm. Determine the radius of each conical solid.
Date posted:
September 2, 2019
.
Answers (1)
-
In the figure below AB is an arc centre O. Given that angle AOC=30oC,
(Solved)
In the figure below AB is an arc centre O. Given that angle AOC=30oC, OA=OB=8cm and BC=5cm:
Calculate the shaded area to 2 d.p. (Take pi=3.142)

Date posted:
September 2, 2019
.
Answers (1)
-
Ocampo bought a Maasai elders suit for Ksh.3600.
(Solved)
Ocampo bought a Maasai elders suit for Ksh.3600. This price was such that the salesman had allowed a discount of 10% on the marked price in order to make a profit of 20%. Calculate both the marked price of the suit and the buying price.
Date posted:
September 2, 2019
.
Answers (1)
-
An aircraft left Abidjan at 2215h and arrived in Entebbe at 0330h.
(Solved)
An aircraft left Abidjan at 2215h and arrived in Entebbe at 0330h. It departed from Entebbe at 0450h and arrived in Nairobi at 0645h. Assuming the times quoted are all Kenyan time, find how long the journey was from Abidjan to Nairobi?
Date posted:
September 2, 2019
.
Answers (1)
-
Solve for x and y:
(Solved)
Solve for x and y:
32x-y =27 and 4x÷16y=1
Date posted:
September 2, 2019
.
Answers (1)
-
The diagram below shows a histogram representing marks obtained in a certain test.
(Solved)
The diagram below shows a histogram representing marks obtained in a certain test. Develop a frequency distribution table.

Date posted:
September 2, 2019
.
Answers (1)
-
Solve for x in the equation.
(Solved)
Solve for x in the equation.
Log55 + log16x =3
Date posted:
September 2, 2019
.
Answers (1)
-
Without using a calculator evaluate leaving the answer as a fraction in its simplest form
(Solved)
Without using a calculator evaluate leaving the answer as a fraction in its simplest form

Date posted:
September 2, 2019
.
Answers (1)
-
The figure below is a cut out net of a wedge. Find its volume.
(Solved)
The figure below is a cut out net of a wedge. Find its volume.

Date posted:
September 2, 2019
.
Answers (1)
-
Two beakers of exactly similar shape can hold 250ml and 200ml of liquid respectively. If the surface area of the larger beaker is 400cm2, calculate...
(Solved)
Two beakers of exactly similar shape can hold 250ml and 200ml of liquid respectively. If the surface area of the larger beaker is 400cm2, calculate the surface area of the smaller one.
Date posted:
September 2, 2019
.
Answers (1)
-
A straight line passing through the point (-3,4) is perpendicular to the line whose equation is 2y-3x=11 and intersects the x-axis and y-axis at points...
(Solved)
A straight line passing through the point (-3,4) is perpendicular to the line whose equation is 2y-3x=11 and intersects the x-axis and y-axis at points P and Q respectively. Find P.
Date posted:
September 2, 2019
.
Answers (1)
-
Simplify completely
(Solved)
Simplify completely

Date posted:
September 2, 2019
.
Answers (1)
-
A (50°S,20°E) and B(50°S,60°W) are two points on the earth’s surface. Calculate the distance between A and B in kilometer along the great circle. (take...
(Solved)
A (50°S,20°E) and B(50°S,60°W) are two points on the earth’s surface. Calculate the distance between A and B in kilometer along the great circle. (take radius of the earth to be 6370km).
Date posted:
August 30, 2019
.
Answers (1)
-
3cm3 of water is added to 2cm3 of a certain medicine which cost sh.12 per cm3. The chemist sells the diluted medicine at sh.4.50 per...
(Solved)
3cm3 of water is added to 2cm3 of a certain medicine which cost sh.12 per cm3. The chemist sells the diluted medicine at sh.4.50 per cm3. Calculate the percentage profit.
Date posted:
August 30, 2019
.
Answers (1)
-
A contractor employs 40 men to do a piece of work in 60 days each man working 9 hours a day. He is then requested...
(Solved)
A contractor employs 40 men to do a piece of work in 60 days each man working 9 hours a day. He is then requested to do the job in 48days. How many more men working l0 hours a day does he need to employ.
Date posted:
August 30, 2019
.
Answers (1)
-
Make P the subject of the formula given.
(Solved)
Make P the subject of the formula given.

Date posted:
August 30, 2019
.
Answers (1)
-
The data below shows marks scored by 8 form four students in Ikutha district mathematics contest 44,32,67. 52, 28, 39, 46, 64.Calculate the mean absolute...
(Solved)
The data below shows marks scored by 8 form four students in Ikutha district mathematics contest 44,32,67. 52, 28, 39, 46, 64.Calculate the mean absolute deviation.
Date posted:
August 30, 2019
.
Answers (1)
-
Write in the simplest form using a rational denominator.
(Solved)
Write in the simplest form using a rational denominator.

Date posted:
August 30, 2019
.
Answers (1)
-
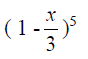
a) Write down the first five terms of the expansion of
b) Using the first three terms of the expansion. Find the values of (1.01)5...
(Solved)
a) Write down the first five terms of the expansion of

b) Using the first three terms of the expansion. Find the values of (1.01)5 to 4dp.
Date posted:
August 30, 2019
.
Answers (1)
-
By use of logarithms evaluate;
(Solved)
By use of logarithms evaluate;

Date posted:
August 30, 2019
.
Answers (1)