-
The table below shows monthly income tax rates.
(Solved)
The table below shows monthly income tax rates.

Mrs. Wanjala earns a monthly salary of Ksh.15,000 and a taxable travel allowance of Ksh. 5,000 per month. She is also provided with a house by the institution for which she pays a nominal rent of Ksh.1000 per month.
(a) Calculate the employees taxable income every month.
(b) Calculate the employees monthly total tax payable
(c) If the employee is entitled to a personal relief of Ksh.900 per month and a non taxable medical
allowance of Ksh.2,000. Calculate her net monthly income.
Date posted:
September 2, 2019
.
Answers (1)
-
(a) Complete the table given below for
(Solved)
(a) Complete the table given below for 

(b) On the grid provided draw the graph of y=x3- 4x2+x+6. Use a scale of 1cm to represent 2 units of the y-axis and 2cm to represent 1 unit on the x-axis.
(c) Use your graph to solve the equation. x3- 4x2 + x= - 6
(d) By drawing a suitable straight line on the same axis estimate the roots of the equation.
3x3-12x2-15x + 21 = 0
Date posted:
September 2, 2019
.
Answers (1)
-
Two ships leave a harbor K at the same time. One ship takes a course of 030o over a distance of 60km to a position...
(Solved)
Two ships leave a harbor K at the same time. One ship takes a course of 030o over a distance of 60km to a position P. The other ship sails 100km on a bearing of 110o to position Q.
(a) Calculate:
(i) Distance PQ.
(ii) Angle PQ.
(iii) The bearing of Q from P
(b) Both ships take t hours to reach their destinations. The speed of the faster ship is 20km/hr.
Find:
(i) The value of t
(ii) the speed of the slower ship.
Date posted:
September 2, 2019
.
Answers (1)
-
(a) Draw x and y axes for values of x from -8 to 16 and y from -10 to 16 using a scale of 1cm...
(Solved)
(a) Draw x and y axes for values of x from -8 to 16 and y from -10 to 16 using a scale of 1cm to 2
units. On your graph draw a triangle with vertices P (6,-8), Q(2,14) and R(9,13)
(b) Triangle P1Q1R1 is the image of PQR under a transformation whose matrix is
.
Write down the coordinates of P1Q1R1. Hence describe the transformation mapping PQR onto P1Q1R1.
(c) A reflection of PQR in the line x=0 gives triangle P11Q11R11. If P1Q1R1 is mapped onto P11Q11R11 by a rotation about (0,0). Find the angle of rotation.
Date posted:
September 2, 2019
.
Answers (1)
-
A solid is partly a cone and partly a hemisphere. The radius of the hemisphere is 5cm.
(Solved)
A solid is partly a cone and partly a hemisphere. The radius of the hemisphere is 5cm. the height of the solid is 17cm. Determine:
(a) The volume of the cone.
(b) The volume of the hemispherical part.
(c) The volume of the solid.
(d) The curved surface area of the cone.
(e) The curved surface area of the hemisphere.
(f) The total surface area of the solid.
Date posted:
September 2, 2019
.
Answers (1)
-
Solve for x. Hence state the integral values that satisfy the inequalities.
(Solved)
Solve for x. Hence state the integral values that satisfy the inequalities.

Date posted:
September 2, 2019
.
Answers (1)
-
1 kg of sugar density 1.1g/cm3 and 0.25kg of salt density 1.2g/cm3 are mixed together for a certain experiment.
(Solved)
1 kg of sugar density 1.1g/cm3 and 0.25kg of salt density 1.2g/cm3 are mixed together for a certain experiment. What is the density of the mixture. ( Give the answer to 4. s.f)
Date posted:
September 2, 2019
.
Answers (1)
-
Find the exact value of:
(Solved)
Find the exact value of:

Date posted:
September 2, 2019
.
Answers (1)
-
A cylindrical solid of length 20cm and radius 6cm is melted to form 12 similar conical solids of height 8cm.
(Solved)
A cylindrical solid of length 20cm and radius 6cm is melted to form 12 similar conical solids of height 8cm. Determine the radius of each conical solid.
Date posted:
September 2, 2019
.
Answers (1)
-
In the figure below AB is an arc centre O. Given that angle AOC=30oC,
(Solved)
In the figure below AB is an arc centre O. Given that angle AOC=30oC, OA=OB=8cm and BC=5cm:
Calculate the shaded area to 2 d.p. (Take pi=3.142)

Date posted:
September 2, 2019
.
Answers (1)
-
Ocampo bought a Maasai elders suit for Ksh.3600.
(Solved)
Ocampo bought a Maasai elders suit for Ksh.3600. This price was such that the salesman had allowed a discount of 10% on the marked price in order to make a profit of 20%. Calculate both the marked price of the suit and the buying price.
Date posted:
September 2, 2019
.
Answers (1)
-
An aircraft left Abidjan at 2215h and arrived in Entebbe at 0330h.
(Solved)
An aircraft left Abidjan at 2215h and arrived in Entebbe at 0330h. It departed from Entebbe at 0450h and arrived in Nairobi at 0645h. Assuming the times quoted are all Kenyan time, find how long the journey was from Abidjan to Nairobi?
Date posted:
September 2, 2019
.
Answers (1)
-
Solve for x and y:
(Solved)
Solve for x and y:
32x-y =27 and 4x÷16y=1
Date posted:
September 2, 2019
.
Answers (1)
-
The diagram below shows a histogram representing marks obtained in a certain test.
(Solved)
The diagram below shows a histogram representing marks obtained in a certain test. Develop a frequency distribution table.

Date posted:
September 2, 2019
.
Answers (1)
-
Solve for x in the equation.
(Solved)
Solve for x in the equation.
Log55 + log16x =3
Date posted:
September 2, 2019
.
Answers (1)
-
Without using a calculator evaluate leaving the answer as a fraction in its simplest form
(Solved)
Without using a calculator evaluate leaving the answer as a fraction in its simplest form

Date posted:
September 2, 2019
.
Answers (1)
-
The figure below is a cut out net of a wedge. Find its volume.
(Solved)
The figure below is a cut out net of a wedge. Find its volume.

Date posted:
September 2, 2019
.
Answers (1)
-
Two beakers of exactly similar shape can hold 250ml and 200ml of liquid respectively. If the surface area of the larger beaker is 400cm2, calculate...
(Solved)
Two beakers of exactly similar shape can hold 250ml and 200ml of liquid respectively. If the surface area of the larger beaker is 400cm2, calculate the surface area of the smaller one.
Date posted:
September 2, 2019
.
Answers (1)
-
A straight line passing through the point (-3,4) is perpendicular to the line whose equation is 2y-3x=11 and intersects the x-axis and y-axis at points...
(Solved)
A straight line passing through the point (-3,4) is perpendicular to the line whose equation is 2y-3x=11 and intersects the x-axis and y-axis at points P and Q respectively. Find P.
Date posted:
September 2, 2019
.
Answers (1)
-
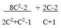
Simplify completely
(Solved)
Simplify completely

Date posted:
September 2, 2019
.
Answers (1)