-
Determine the values of x where the curve y = x² - 2x - 3
(Solved)
(a) Determine the values of x where the curve y = x² - 2x - 3 cuts the x-axis.
(b) Using the mid-ordinate rule with four ordinates, estimate the area enclosed by the curve
y = x² - 2x - 3 and the x-axis
(c) Calculate the same area using integration method.
(d) Taking the area obtained by integration to be the exact area of the region, calculate the percentage error made when the mid-ordinate rule is used.
Date posted:
September 6, 2019
.
Answers (1)
-
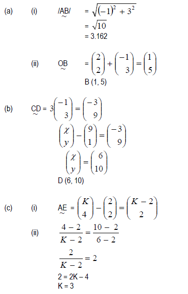
The image of point A (-3, 4) under a translation, T is A¹ (2, -2).
(Solved)
The image of point A (-3, 4) under a translation, T is A¹ (2, -2). If the image of a point B under
T is (0, -1). Find the coordinates of B.
Date posted:
September 6, 2019
.
Answers (1)
-
Without using Mathematical tables or a calculator evaluate:
(Solved)
Without using Mathematical tables or a calculator evaluate:

Date posted:
September 6, 2019
.
Answers (1)
-
A forex bureau buys and sells American dollars in Kenya shillings at the rate shown below.
(Solved)
A forex bureau buys and sells American dollars in Kenya shillings at the rate shown below.
Buying........Selling
85.40..........86.00
An American tourist at the end of her tour in Kenya had Ksh.107500 which he converted to the dollar through the forex bureau. How many dollars did she get?
Date posted:
September 6, 2019
.
Answers (1)
-
There are two grades of tea, grade A and grade B.
(Solved)
There are two grades of tea, grade A and grade B. Grade A cost Kshs.80 per kg and grade B cost Ksh.60 per kg. In what ratio must the two grades be mixed order to produce a blend worth Ksh.75 per kg.
Date posted:
September 6, 2019
.
Answers (1)
-
A solid hemisphere of radius 7cm has the same volume as a cube.
(Solved)
A solid hemisphere of radius 7cm has the same volume as a cube. Find the length of the cube to 1 d.p.
Date posted:
September 6, 2019
.
Answers (1)
-
Martha has 26 coins whose total value is sh.205.
(Solved)
Martha has 26 coins whose total value is sh.205. There are thrice as many Sh.10 coins as there are
Sh.20 coins. The rest are 50cts coins. Find the number of Sh.20 coins that Martha has.
Date posted:
September 6, 2019
.
Answers (1)
-
Simplify:
(Solved)
Simplify:

Date posted:
September 6, 2019
.
Answers (1)
-
Line L1 passes through the points (-1, 3) and (3, -5).
(Solved)
Line L1 passes through the points (-1, 3) and (3, -5). Line L2 is parallel to L1 and has a perpendicular
bisector at (-2, 4). Find the equation of the perpendicular bisector in the form ax + by = C
Date posted:
September 6, 2019
.
Answers (1)
-
In the triangle ABC below. AC = 8cm and BC = 5cm and angle BCA = 30°.
(Solved)
In the triangle ABC below. AC = 8cm and BC = 5cm and angle BCA = 30°. Point D divides BC in the ratio 1: 4 and point E divides AC in the ratio 2: 3. Find the area of the quadrilateral ABDE.

Date posted:
September 6, 2019
.
Answers (1)
-
Solve for x in 27x+1 - 33x+2 – 400 = 86.
(Solved)
Solve for x in 27x+1 - 33x+2 – 400 = 86.
Date posted:
September 6, 2019
.
Answers (1)
-
Determine the values of x that satisfy the following inequalities and show the solution on a number line.
(Solved)
Determine the values of x that satisfy the following inequalities and show the solution on a number line.

Date posted:
September 6, 2019
.
Answers (1)
-
Use reciprocal and square tables to calculate to 3 significant figures the value of:
(Solved)
Use reciprocal and square tables to calculate to 3 significant figures the value of:

Date posted:
September 6, 2019
.
Answers (1)
-
Convert 0.6331 into a fraction without using a calculator.
(Solved)
Convert
into a fraction without using a calculator
Date posted:
September 6, 2019
.
Answers (1)
-
Evaluate without using a calculator or Mathematical tables.
(Solved)
Evaluate without using a calculator or Mathematical tables.

Date posted:
September 6, 2019
.
Answers (1)
-
If three numbers 36, 54 and x have a GCD of 6 and LCM of 216.
(Solved)
If three numbers 36, 54 and x have a GCD of 6 and LCM of 216. Find the least value of x
Date posted:
September 6, 2019
.
Answers (1)
-
Find the difference between the GCD and the LCM of 36 and 54.
(Solved)
Find the difference between the GCD and the LCM of 36 and 54.
Date posted:
September 6, 2019
.
Answers (1)
-
The displacement S metres of a body moving along a straight line after t seconds is given by
(Solved)
The displacement S metres of a body moving along a straight line after t seconds is given by

(a) Find its initial acceleration.
(b) Calculate:-
(i) The time when the body was momentarily at rest.
(ii) Its displacement by the time it comes to rest momentarily
(c) Calculate the maximum velocity attained
Date posted:
September 6, 2019
.
Answers (1)
-
In the figure, E is the midpoint of AB and OD:OB = 2:5 and F is the point of intersection of OE and AD.
(Solved)
In the figure, E is the midpoint of AB and OD:OB = 2:5 and F is the point of intersection of OE and AD.

(b) Given further that AF = tAD and OF = hOE where t and h are scalars, find the values of t and h
(c) Show that the points O, F and E are collinear
Date posted:
September 6, 2019
.
Answers (1)
-
The figure below shows a model of a solid in the shape of a frustum of a cone with a hemispherical top.
(Solved)
The figure below shows a model of a solid in the shape of a frustum of a cone with a hemispherical top.

The diameter of the hemispherical top is 70cm and is equal to the diameter of the top of the frustum. The
frustum has a base diameter of 28cm and a slant height of 60cm.
(a) Calculate the area of the hemispherical surface.
(b) Calculate the slant height of the cone from which the frustum was cut.
(c) Calculate the total surface area of the model
Date posted:
September 6, 2019
.
Answers (1)