-
The figure below shows a circuit with a coil used to warm oil in a beaker.
(Solved)
The figure below shows a circuit with a coil used to warm oil in a beaker.

(i) Explain how heat is produced in the coil.
(ii) Given that the reading of the ammeter is 2.5A, determine the resistance of the coil.
(iii) How much heat is produced in the coil in a minute?
(iv) Give two changes that can be made in the set-up in order to produce more heat per minute.
Date posted:
September 11, 2019
.
Answers (1)
-
A policeman standing between two high walls fires a gun. He hears the first echo after 3 seconds and the next 2 seconds later. What...
(Solved)
A policeman standing between two high walls fires a gun. He hears the first echo after 3 seconds and the next 2 seconds later. What is the distance between the wall. (Take velocity of sound = 330m/s).
Date posted:
September 11, 2019
.
Answers (1)
-
Two magnets A and B in the figure below were brought from a point high above a table towards a steel pin.State with a reason...
(Solved)
Two magnets A and B in the figure below were brought from a point high above a table towards a steel pin.

State with a reason which magnet will attract the pin at a bigger height above the table.
Date posted:
September 11, 2019
.
Answers (1)
-
A rock of mass 150kg moving at 10m/s collides with a stationary rock of mass 100kg. They fuse after collision.Determine the
(i) Total momentum before collision....
(Solved)
A rock of mass 150kg moving at 10m/s collides with a stationary rock of mass 100kg. They fuse after collision.Determine the
(i) Total momentum before collision.
(ii) Total momentum after collision.
(iii) Their common velocity after collision.
Date posted:
September 11, 2019
.
Answers (1)
-
The figure below shows a balloon filled with air.When the mouth is suddenly opened, the balloon moves in the direction shown by the arrow. Explain...
(Solved)
The figure below shows a balloon filled with air.When the mouth is suddenly opened, the balloon moves in the direction shown by the arrow. Explain that observation.

Date posted:
September 11, 2019
.
Answers (1)
-
Give a reason why the inside of a helmet is lined with sponge.
(Solved)
Give a reason why the inside of a helmet is lined with sponge.
Date posted:
September 11, 2019
.
Answers (1)
-
The figure below represents a block of uniform cross-sectional area 6.0cm² floating on two liquids A and B. The length of the block in each...
(Solved)
The figure below represents a block of uniform cross-sectional area 6.0cm² floating on two liquids A and B. The length of the block in each liquid is shown.

Given that the density of liquid A is 800kg/m³ and that of liquid B is 1000kg/m³
determine.
(i) Weight of liquid A displaced.
(ii) Weight of liquid B displaced.
(iii) Density of the block.
Date posted:
September 11, 2019
.
Answers (1)
-
The figure below shows two forces F1 and F2 acting on an object.Show on the same figure the resultant force.
(Solved)
The figure below shows two forces F1 and F2 acting on an object.Show on the same figure the resultant force.

Date posted:
September 11, 2019
.
Answers (1)
-
The figure below shows two identical burning splints. Placed on wood and metal blocks respectively it was observed that when the flame reached the edge...
(Solved)
The figure below shows two identical burning splints. Placed on wood and metal blocks respectively it was observed that when the flame reached the edge of the metal block the splint was extinguished while the other on the wooden block continued to burn. Explain this observation.

Date posted:
September 11, 2019
.
Answers (1)
-
When washing clothes, it is easier to remove the dirt using some warm water containing soap than cold water. Explain this observation.
(Solved)
When washing clothes, it is easier to remove the dirt using some warm water containing soap than cold water. Explain this observation.
Date posted:
September 11, 2019
.
Answers (1)
-
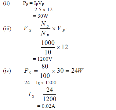
The figure below shows a 12V, 24W lamp operated by a step-down transformer that is connected to a 240V mains supply.
(Solved)
The figure below shows a 12V, 24W lamp operated by a step-down transformer that is connected to a 240V mains supply.

(i) Explain what is meant by the term ‗laminated core’ and state its significance in a transformer.
(ii) Calculate the efficiency of the transformer if the current through the primary coil is 0.12 A.
Date posted:
September 10, 2019
.
Answers (1)
-
The graph in the figure below shows the displacement of a pendulum bob from its rest position as it varies with time.
(Solved)
The graph in the figure below shows the displacement of a pendulum bob from its rest position as it varies with time.

(i) Determine the amplitude of the oscillation.
(ii) What is the time for one complete oscillation?
(iii) On the same graph, draw a sketch graph which represents a pendulum swinging with half the amplitude and twice the frequency.
Date posted:
September 10, 2019
.
Answers (1)
-
The figure below shows an experimental set up consisting of a mounted convex lens L, cardboard screen with cross-wires at the centre, a plane mirror,...
(Solved)
The figure below shows an experimental set up consisting of a mounted convex lens L, cardboard screen with cross-wires at the centre, a plane mirror, a metre rule and a candle.

Describe how the set-up may be used to determine the focal length, f, of the lens.
Date posted:
September 10, 2019
.
Answers (1)
-
The figure below shows a wire carrying current whose direction is out of the paper. The wire is placed in a magnetic field.
(Solved)
The figure below shows a wire carrying current whose direction is out of the paper. The wire is placed in a magnetic field.

(a) Indicate on the figure the direction of the force F, acting on the wire.
(b) State what would be observed on the wire if the direction of the current is reversed (i.e. into the paper).
Date posted:
September 10, 2019
.
Answers (1)
-
The pressure of helium gas of volume 10cm³ decreases to one third of its original value at constant temperature.Determine the final volume of the gas.
(Solved)
The pressure of helium gas of volume 10cm³ decreases to one third of its original value at constant temperature.Determine the final volume of the gas.
Date posted:
September 10, 2019
.
Answers (1)
-
A beaker containing ether was placed on some water on a wooden block. Air was then blown through the ether using a pump as shown...
(Solved)
A beaker containing ether was placed on some water on a wooden block. Air was then blown through the ether using a pump as shown in figure below.State and explain what observation is made after sometime.

Date posted:
September 10, 2019
.
Answers (1)
-
The cooling curve shown in figure below is for a pure substance.
(Solved)
The cooling curve shown in figure below is for a pure substance.

(i) What is the melting point of the substance?
(ii) Explain what happens in the region.
I CD
II AB
III BC
Date posted:
September 10, 2019
.
Answers (1)
-
The figure shows a wheel and axle being used to raise a load W by applying an effort F. the radius of the large wheel...
(Solved)
The figure shows a wheel and axle being used to raise a load W by applying an effort F. the radius of the large wheel is R and of the small wheel r as shown.

(i) Shows that the velocity ratio (V.R) of this machine is given by R/r.
(ii) Given that r = 5cm, R = 8cm, determine effort required to raise a load of 20N if the efficiency of the machine is 80%.
(iii) It is observed that the efficiency of the machines increases when it is used to lift large loads. Give a reason for this.
Date posted:
September 10, 2019
.
Answers (1)
-
Draw a single pulley arrangement with a velocity ratio of 2.
(Solved)
Draw a single pulley arrangement with a velocity ratio of 2.
Date posted:
September 10, 2019
.
Answers (1)
-
A ball of mass 0.2kg is thrown vertically upwards with velocity of 8ms¯¹. The air resistance is 0.5N. Determine:
(i) the resultant force on the ball...
(Solved)
A ball of mass 0.2kg is thrown vertically upwards with velocity of 8msˉ¹. The air resistance is 0.5N. Determine:
(i) the resultant force on the ball as it moves up;
(Take acceleration due to gravity g = 10msˉ²).
(ii) The acceleration of the ball.
(iii) The maximum height reached by the ball.
Date posted:
September 10, 2019
.
Answers (1)