-
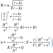
Solve the following equation;
(Solved)
Solve the following equation;

Date posted:
September 12, 2019
.
Answers (1)
-
The length and breath of a rectangular card were measured to the nearest millimeter and found to be
14.5 cm and 10.6 cm respectively.
(Solved)
The length and breath of a rectangular card were measured to the nearest millimeter and found to be
14.5 cm and 10.6 cm respectively. Find the percentage error in the perimeter.
Date posted:
September 12, 2019
.
Answers (1)
-
A school bus was valued at sh 6,000,000 in January 2000. Each year, its value decreased by 12.5% of its value at the beginning of...
(Solved)
A school bus was valued at sh 6,000,000 in January 2000. Each year, its value decreased by 12.5% of its value at the beginning of the year. Find the value of the bus in January 2005, giving your answer correct to 4.s.f
Date posted:
September 12, 2019
.
Answers (1)
-
Find the image A` B` of AB where, A ( 2,2) and B ( 5,4), Under the combined transformation YX.
(Solved)
The transformations X and Y have the matrices
respectively.
Find the image A` B` of AB where, A ( 2,2) and B ( 5,4), Under the combined transformation YX.
Date posted:
September 12, 2019
.
Answers (1)
-
Find the x – coordinates of the points on the curve y = 3x3 + 18x2 + 2x + 3
(Solved)
Find the x – coordinates of the points on the curve y = 3x3 + 18x2 + 2x + 3 at which the gradient is 2.
Date posted:
September 12, 2019
.
Answers (1)
-
The principal of Butere High School, decided to have a charity walk to raise money to build a dormitory.
(Solved)
The principal of Butere High School, decided to have a charity walk to raise money to build a dormitory. She will cover 10km on the first day. Thereafter, she will cover 2 km more than the previous day.
Find:
a) The distance she will travel on the 13th day
b) How many days she will require to cover a total of 400km.
Date posted:
September 12, 2019
.
Answers (1)
-
Without using tables or calculators evaluate.
(Solved)
Without using tables or calculators evaluate.

Date posted:
September 12, 2019
.
Answers (1)
-
Rationalize the denominator and write the following in the form
(Solved)
Rationalize the denominator and write the following in the form
where a,b,c,d and e are constants.

Date posted:
September 12, 2019
.
Answers (1)
-
Use logarithms correct to 4 decimal places, to evaluate
(Solved)
Use logarithms correct to 4 decimal places, to evaluate

Date posted:
September 12, 2019
.
Answers (1)
-
The table below shows the marks scored by eighty Form 4 students in a mathematics test.
(Solved)
The table below shows the marks scored by eighty Form 4 students in a mathematics test.

a) Calculate
i) Mean mark.
ii) Lower quartile
b) On the grid provided draw the cumulative frequency curve to represent the above
distribution
c) From the graph estimate the
i) 4th decile
ii) Range of marks of the middle 70% of the students.
Date posted:
September 12, 2019
.
Answers (1)
-
The figure below shows points on the earth’s surface
(Solved)
The figure below shows points on the earth’s surface

a) State the positions of A, B, C and D in coordinate form
b) An aircraft flies from A to B along latitude 400N, B to C. along longitude 300E, C to D along latitude 400S. Calculate to 4 S.f the total distance it covered .(Take radius of the earth =6371km)
c) If the aircraft leaves A at 8.00am at a speed of 720km/h to B. At what local time is it expected at B?
Date posted:
September 12, 2019
.
Answers (1)
-
The table below shows income Tax rates
(Solved)
The table below shows income Tax rates

Faith earns a monthly basic salary of Ksh 45,000 and she is also given taxable allowances amounting to Ksh 20480 per month.
a) Calculate Faiths’ gross income tax per month.
b) Faith is entitled to a personal tax relief of Ksh 1162. Determine her net income per month.
c) Faith received 50% increase in her total income; calculate the corresponding percentage increase on the net income tax.
Date posted:
September 12, 2019
.
Answers (1)
-
The overall grade (A) attained by a student is directly proportional to the teacher’s effort (t), square of students effort (s) and the general discipline...
(Solved)
The overall grade (A) attained by a student is directly proportional to the teacher’s effort (t), square of students effort (s) and the general discipline level (d) of the school. A student doubled his effort; teacher went further by 5% but the school discipline dropped by 40%. Find the percentage change in the overall grade.
Date posted:
September 12, 2019
.
Answers (1)
-
Solve the equation 10 Cos2 theta + Sin theta= -1
(Solved)
Solve the equation 10 Cos2 theta + Sin theta= -1 for 
Date posted:
September 12, 2019
.
Answers (1)
-
Water flows from a tap of diameter 7cm at a speed of 5m/s into a rectangular tank of length 5.5m by 3m and height 4.2m.
(Solved)
Water flows from a tap of diameter 7cm at a speed of 5m/s into a rectangular tank of length 5.5m by 3m and height 4.2m. If the tank was initially half full at 6.00pm.Find at what time the tank was full if no water was running out of the tank.
Date posted:
September 12, 2019
.
Answers (1)
-
Given the matrix below is a singular matrix, find the values of x
(Solved)
The matrix
is a singular matrix, find the values of x
Date posted:
September 12, 2019
.
Answers (1)
-
A field is 10m longer than its width. The area is 7200m2. What is the width?
(Solved)
A field is 10m longer than its width. The area is 7200m2. What is the width?
Date posted:
September 12, 2019
.
Answers (1)
-
Find the expansion in ascending powers of x
(Solved)
Find the expansion in ascending powers of x of
up to the term in x2. Hence evaluate (0.99)7 to four significant figures.
Date posted:
September 12, 2019
.
Answers (1)
-
Given that Tan 750= 2+ v3 , hence determine Tan 150 leaving your answer in the form
a+ bvc
(Solved)
Given that Tan 750= 2+ √3 , hence determine Tan 150 leaving your answer in the form
a+ b√c
Date posted:
September 12, 2019
.
Answers (1)
-
Make Q the subject of the formula
(Solved)
Make Q the subject of the formula

Date posted:
September 12, 2019
.
Answers (1)