-
Solve the equation 3Sin x=2Cos2x
(Solved)
Solve the equation 3Sin x=2Cos2x where 
Date posted:
September 13, 2019
.
Answers (1)
-
In the figure below, the tangents DC and BC meet at point C, angle BCD=500 while angle ABE=700
(Solved)
In the figure below, the tangents DC and BC meet at point C, angle BCD=500 while angle ABE=700

Calculate the sizes of angles
i) angle CBD
ii) angle CDE
Date posted:
September 13, 2019
.
Answers (1)
-
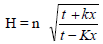
Make d the subject in the given formula.
(Solved)
Make d the subject in the given formula.

Date posted:
September 13, 2019
.
Answers (1)
-
Pipes S and T can fill a tank in 2 hours and 3 hours respectively.
(Solved)
Pipes S and T can fill a tank in 2 hours and 3 hours respectively. Pipe U can empty the full tank in 4 hours. How long will it take to fill the tank with all the pipes running?
Date posted:
September 13, 2019
.
Answers (1)
-
Use logarithms to evaluate the value of
(Solved)
Use logarithms to evaluate the value of

Date posted:
September 13, 2019
.
Answers (1)
-
Two towns A and B lie on the same latitude in the northern hemisphere. When it is 8:00 am At A, the time at B...
(Solved)
Two towns A and B lie on the same latitude in the northern hemisphere. When it is 8:00 am At A, the time at B is 11:00 a.m.
a) Given that the longitude of A is 150 E, find the longitude of B.
b) A plane leaves A for B and takes 3 ½ hours to arrive at B traveling along a parallel of latitude at 850 km/h. Find:
i) The radius of the circle of latitude on which town A and B lie.
ii) The latitude of the two towns. ( Take radius of the earth to be 6371km).
Date posted:
September 12, 2019
.
Answers (1)
-
In the figure below PQ = Q and PR = r QM: MR = 1:2. The point S is the midpoint of PQ.
(Solved)
In the figure below PQ = Q and PR = r QM: MR = 1:2. The point S is the midpoint of PQ. X is the intersection of PM and SR. SX = hSR, pX = kPM where k and h are constants.

Find:
a) QR in terms of q and r.
b) PM in terms of q and r
c) SR in terms of q and r
d) Express SX in two ways in terms of h,r and q and in terms of k,r and q, hence determine the ratio in which x divides SR.
Date posted:
September 12, 2019
.
Answers (1)
-
a) Draw the graph of y= - x2 + 2x + 8
(Solved)
a) Draw the graph of y= - x2 + 2x + 8 for 
b) Use 6 trapezia to estimate the area enclosed by the curve y = -x2 + 2x + 8, the line x = -2 and X= 4 and the x - axis
c) Hence find the percentage error in area of (b) above and the exact area.
Date posted:
September 12, 2019
.
Answers (1)
-
A company wishes to buy two types of squash machines; Electric and manual.
(Solved)
A company wishes to buy two types of squash machines; Electric and manual. A manual machine requires 4 attendants whereas an electric one requires two. An electric machine fills 300 packets per hour; a manual one can fill 200 packets per hour. At least 3000 packets need to be filled per hour and the number of attendants should not exceed 40.
a) Write down inequalities to describe these conditions and graph them.
b) If for every hour it is used, an electric machine brings a profit of shs. 200 and a manual one shs. 500, determine the number of machines of each type that should be installed in order to maximize profit per hour.
c) Find the maximum profit
Date posted:
September 12, 2019
.
Answers (1)
-
A cupboard has 7 white cups and 5 brown cups all identical in size and shape.
(Solved)
A cupboard has 7 white cups and 5 brown cups all identical in size and shape. There is a blackout in the town and Mrs. Wafula has to select three cups one after the other without replacing the previous ones.
a) Draw a tree diagram for the information.
b) Calculate the probability that she chooses.
i) Two white cups and one brown cup
ii) Two brown cups and one white cup.
iii) At least one white cup.
iv) Three cups of the same colour
Date posted:
September 12, 2019
.
Answers (1)
-
Two grades of tea, costing sh 100 and 150 per kg respectively are mixed in the ratio 3:5 by weight.
(Solved)
Two grades of tea, costing sh 100 and 150 per kg respectively are mixed in the ratio 3:5 by weight. The mixture is then sold at sh. 160 per kg. Find the percentage profit on the cost price.
Date posted:
September 12, 2019
.
Answers (1)
-
A translation maps a point P(3,2) onto P` ( 5,-4)
(Solved)
A translation maps a point P(3,2) onto P` ( 5,-4).
a) Determine the translation vector.
b) A point Q` is the image of the point Q ( 2,5) under the same translation. Find the length of P` Q` leaving the answers in surd form.
Date posted:
September 12, 2019
.
Answers (1)
-
a) Expand ( 3x - 1/3 y)4 fully
(Solved)
a) Expand ( 3x - 1/3 y)4 fully
b) By substituting suitable values of x and y in your expansion, obtain the value of (29.5)4 to 4 significant figures.
Date posted:
September 12, 2019
.
Answers (1)
-
A circle of radius 7 units has it’s centre at the point of intersection between the lines x +2y + 1 = 0 and 2x...
(Solved)
A circle of radius 7 units has it’s centre at the point of intersection between the lines x +2y + 1 = 0 and 2x + 3y – 3 = 0
Find the equation of the circle expressing it in the form x2 + y2+ gx +fy +c =0
Date posted:
September 12, 2019
.
Answers (1)
-
Make x the subject of the formula.
(Solved)
Make x the subject of the formula.

Date posted:
September 12, 2019
.
Answers (1)
-
Solve the following equation;
(Solved)
Solve the following equation;

Date posted:
September 12, 2019
.
Answers (1)
-
The length and breath of a rectangular card were measured to the nearest millimeter and found to be
14.5 cm and 10.6 cm respectively.
(Solved)
The length and breath of a rectangular card were measured to the nearest millimeter and found to be
14.5 cm and 10.6 cm respectively. Find the percentage error in the perimeter.
Date posted:
September 12, 2019
.
Answers (1)
-
A school bus was valued at sh 6,000,000 in January 2000. Each year, its value decreased by 12.5% of its value at the beginning of...
(Solved)
A school bus was valued at sh 6,000,000 in January 2000. Each year, its value decreased by 12.5% of its value at the beginning of the year. Find the value of the bus in January 2005, giving your answer correct to 4.s.f
Date posted:
September 12, 2019
.
Answers (1)
-
Find the image A` B` of AB where, A ( 2,2) and B ( 5,4), Under the combined transformation YX.
(Solved)
The transformations X and Y have the matrices
respectively.
Find the image A` B` of AB where, A ( 2,2) and B ( 5,4), Under the combined transformation YX.
Date posted:
September 12, 2019
.
Answers (1)
-
Find the x – coordinates of the points on the curve y = 3x3 + 18x2 + 2x + 3
(Solved)
Find the x – coordinates of the points on the curve y = 3x3 + 18x2 + 2x + 3 at which the gradient is 2.
Date posted:
September 12, 2019
.
Answers (1)