-
The table below shows the masses in kg of some form three students in a school.
(Solved)
The table below shows the masses in kg of some form three students in a school.

a)
i) State the median class.
ii) Using an assumed mean of 54.5, calculate the mean mass.
b) Calculate the standard deviation of the data, give your answer correct to 2 decimal places.
Date posted:
September 13, 2019
.
Answers (1)
-
i) On the grid (graph paper) plot and draw triangle ABC where A(4,3),B(4,6) and C(7,6) .
(Solved)
a) i) On the grid (graph paper) plot and draw triangle ABC where A(4,3),B(4,6) and C(7,6)
ii) Triangle ABC is given a rotation of +900 about (0,0) to map onto AIBICI.Plot AIBICI and state its coordinates.
iii) Triangle AIBICI is transformed by the matrix
to map onto A11B11C11. Plot A11B11C11 and state its co-ordinates.
b) A11B11C11 is further transformed by a reflection on the line x=0 to map onto A111B111C111. Plot A111B111C111. What single transformation will map A111B111C111 onto triangle ABC?
Date posted:
September 13, 2019
.
Answers (1)
-
In the figure below, E is the midpoint of BC,AD:DC=3:2 and AE intersect with BD at F.
(Solved)
In the figure below, E is the midpoint of BC,AD:DC=3:2 and AE intersect with BD at F.

a) Given that AB=b and AC=c, express in terms of b and c
(i)AE
(ii)BD
b) If BF= t BD and AF= sAE , where t and s are scalars, find the values of t and s.
c) What is the ratio in which F divides AE
Date posted:
September 13, 2019
.
Answers (1)
-
The table below shows income tax rates.
(Solved)
The table below shows income tax rates.

Agnes earns a monthly salary of Ksh. 20,000 per month, Her house allowance is Ksh. 15000P.M. She is entitled to a personal relief of Ksh. 1260P.M. Her deductions are NHIF sh.960, cooperative loan sh. 3500 and service charge of Ksh.400 per month.
Calculate
a) the taxable income.
b) the tax charged on Agnes earning.
c) the tax paid.
d) the net salary.
Date posted:
September 13, 2019
.
Answers (1)
-
The distance between two places P(theta0 S,350 E) and (theta0 S, 1450 W)
(Solved)
The distance between two places P(theta0 S,350 E) and (theta0 S, 1450 W),on the earth via South Pole is 3240nm. Find
a) the value of theta0.
b) the distance between P and Q along the parallel of latitude in nautical miles.
Date posted:
September 13, 2019
.
Answers (1)
-
Find the equation of a circle whose diameter has the end points (-2,6) and 6,2)
(Solved)
Find the equation of a circle whose diameter has the end points (-2,6) and 6,2)
Date posted:
September 13, 2019
.
Answers (1)
-
The figure below is a square –based pyramid with vertex V.
(Solved)
The figure below is a square –based pyramid with vertex V. Point O is the intersection of diagonals AC and BC. VA=VB=VC=VD=12cm and AB=BC=4cm

a) Name the projection of line VA on plane ABCD.
b) Find the angle between line VB and the plane ABCD
Date posted:
September 13, 2019
.
Answers (1)
-
Simplify without using mathematical tables or calculator.
(Solved)
Simplify without using mathematical tables or calculator.

Date posted:
September 13, 2019
.
Answers (1)
-
Mrs. Ondiek invested Ksh. 63560 in a bank where the interest was compounded quarterly at the rate of 12% per month.
(Solved)
Mrs. Ondiek invested Ksh. 63560 in a bank where the interest was compounded quarterly at the rate of 12% per month. Determine the amount of money she had after 2 ½ years.
Date posted:
September 13, 2019
.
Answers (1)
-
Determine the semi-interquartile range for the given set of data.
40,20,30,42,10,18,26,32
(Solved)
Determine the semi-interquartile range for the given set of data.
40,20,30,42,10,18,26,32
Date posted:
September 13, 2019
.
Answers (1)
-
Calculate the relative error in 7.9 ÷ 4.3
(Solved)
Calculate the relative error in 7.9 ÷ 4.3
Date posted:
September 13, 2019
.
Answers (1)
-
In the diagram below, CD is a tangent to the circle at point D. If BC=7cm and CD=9cm
(Solved)
In the diagram below, CD is a tangent to the circle at point D. If BC=7cm and CD=9cm, calculate the length of the chord AB.

Date posted:
September 13, 2019
.
Answers (1)
-
Solve the equation 3Sin x=2Cos2x
(Solved)
Solve the equation 3Sin x=2Cos2x where 
Date posted:
September 13, 2019
.
Answers (1)
-
In the figure below, the tangents DC and BC meet at point C, angle BCD=500 while angle ABE=700
(Solved)
In the figure below, the tangents DC and BC meet at point C, angle BCD=500 while angle ABE=700

Calculate the sizes of angles
i) angle CBD
ii) angle CDE
Date posted:
September 13, 2019
.
Answers (1)
-
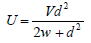
Make d the subject in the given formula.
(Solved)
Make d the subject in the given formula.

Date posted:
September 13, 2019
.
Answers (1)
-
Pipes S and T can fill a tank in 2 hours and 3 hours respectively.
(Solved)
Pipes S and T can fill a tank in 2 hours and 3 hours respectively. Pipe U can empty the full tank in 4 hours. How long will it take to fill the tank with all the pipes running?
Date posted:
September 13, 2019
.
Answers (1)
-
Use logarithms to evaluate the value of
(Solved)
Use logarithms to evaluate the value of

Date posted:
September 13, 2019
.
Answers (1)
-
Two towns A and B lie on the same latitude in the northern hemisphere. When it is 8:00 am At A, the time at B...
(Solved)
Two towns A and B lie on the same latitude in the northern hemisphere. When it is 8:00 am At A, the time at B is 11:00 a.m.
a) Given that the longitude of A is 150 E, find the longitude of B.
b) A plane leaves A for B and takes 3 ½ hours to arrive at B traveling along a parallel of latitude at 850 km/h. Find:
i) The radius of the circle of latitude on which town A and B lie.
ii) The latitude of the two towns. ( Take radius of the earth to be 6371km).
Date posted:
September 12, 2019
.
Answers (1)
-
In the figure below PQ = Q and PR = r QM: MR = 1:2. The point S is the midpoint of PQ.
(Solved)
In the figure below PQ = Q and PR = r QM: MR = 1:2. The point S is the midpoint of PQ. X is the intersection of PM and SR. SX = hSR, pX = kPM where k and h are constants.

Find:
a) QR in terms of q and r.
b) PM in terms of q and r
c) SR in terms of q and r
d) Express SX in two ways in terms of h,r and q and in terms of k,r and q, hence determine the ratio in which x divides SR.
Date posted:
September 12, 2019
.
Answers (1)
-
a) Draw the graph of y= - x2 + 2x + 8
(Solved)
a) Draw the graph of y= - x2 + 2x + 8 for 
b) Use 6 trapezia to estimate the area enclosed by the curve y = -x2 + 2x + 8, the line x = -2 and X= 4 and the x - axis
c) Hence find the percentage error in area of (b) above and the exact area.
Date posted:
September 12, 2019
.
Answers (1)