-
A rectangular plot of land measures 745 m by 230 m has two support posts on every corner.
(Solved)
A rectangular plot of land measures 745 m by 230 m has two support posts on every corner. A gate 5m wide With double posts on side is at one side of the plot. Find the number of posts required to fence the plot if they are placed 5m apart.
Date posted:
September 13, 2019
.
Answers (1)
-
In the figure ABCDE below angle ABC = 100°, angle BAC = 33° and angle CDE = 18°
(Solved)
In the figure ABCDE below angle ABC = 100°, angle BAC = 33° and angle CDE = 18°. Calculate the size of angle AED.

Date posted:
September 13, 2019
.
Answers (1)
-
Given that g = kx2 make x the subject of the equation by first simplifying using the laws of logarithms.
(Solved)
Given that g = kx2 make x the subject of the equation by first simplifying using the laws of logarithms.
Date posted:
September 13, 2019
.
Answers (1)
-
The figure below shows a sketch of the line 3y = - x + 10.
(Solved)
The figure below shows a sketch of the line 3y = - x + 10. Find the value of a

Date posted:
September 13, 2019
.
Answers (1)
-
A farmer has three containers of capacity 12, 15 and 21 litres.
(Solved)
A farmer has three containers of capacity 12, 15 and 21 litres. Calculate the capacity of the largest. container which can fill each one of them an exact number of times.
Date posted:
September 13, 2019
.
Answers (1)
-
Use logarithms to evaluate;
(Solved)
Use logarithms to evaluate;

Date posted:
September 13, 2019
.
Answers (1)
-
A small scale farmer wishes to buy some sheep and goats for rearing. A sheep costs sh.400 and a goat costs sh.300.
(Solved)
A small scale farmer wishes to buy some sheep and goats for rearing. A sheep costs sh.400 and a goat costs sh.300. The farmer has enough space for only 20 animals and may spend at most sh.6800. The number of goats should not exceed twice the number of sheep.
a) By letting x and y to represent the number of sheep and goats he can buy respectively, write down all inequalities from the above information.
b) Represent the inequalities on the grid provided.
c) From your graph; find the maximum number of animals he can buy at the lowest cost.
Date posted:
September 13, 2019
.
Answers (1)
-
The probability that it will rain on a certain morning is 1/3.
(Solved)
The probability that it will rain on a certain morning is 1/3. If it rains, the probability that Sagero misses the bus is 3/4. If it does not rain, the probability that he catches the bus is 5/6.
a) Represent the above information in a tree diagram.
b) Calculate the probability that on a given morning
i) it rains and he catches the bus.
ii) it rains and he misses the bus.
iii) he misses the bus.
iv) it does not rain and he misses the bus.
Date posted:
September 13, 2019
.
Answers (1)
-
A particle P moves in a straight line so that its velocity Vm/s at time t seconds where
(Solved)
A particle P moves in a straight line so that its velocity Vm/s at time t seconds where t> or equal to 0 is given by V=28+t-2t2
Find;
a) The time when P is instantaneously at rest.
b) The speed of P at the instant when the acceleration of P is zero
c) Given that P passes through point O of the line when t=0
i) Find the distance of P from O when P is instantaneously at rest
ii) Find the distance covered by the particle during the 3rd second
Date posted:
September 13, 2019
.
Answers (1)
-
The table below shows the masses in kg of some form three students in a school.
(Solved)
The table below shows the masses in kg of some form three students in a school.

a)
i) State the median class.
ii) Using an assumed mean of 54.5, calculate the mean mass.
b) Calculate the standard deviation of the data, give your answer correct to 2 decimal places.
Date posted:
September 13, 2019
.
Answers (1)
-
i) On the grid (graph paper) plot and draw triangle ABC where A(4,3),B(4,6) and C(7,6) .
(Solved)
a) i) On the grid (graph paper) plot and draw triangle ABC where A(4,3),B(4,6) and C(7,6)
ii) Triangle ABC is given a rotation of +900 about (0,0) to map onto AIBICI.Plot AIBICI and state its coordinates.
iii) Triangle AIBICI is transformed by the matrix
to map onto A11B11C11. Plot A11B11C11 and state its co-ordinates.
b) A11B11C11 is further transformed by a reflection on the line x=0 to map onto A111B111C111. Plot A111B111C111. What single transformation will map A111B111C111 onto triangle ABC?
Date posted:
September 13, 2019
.
Answers (1)
-
In the figure below, E is the midpoint of BC,AD:DC=3:2 and AE intersect with BD at F.
(Solved)
In the figure below, E is the midpoint of BC,AD:DC=3:2 and AE intersect with BD at F.

a) Given that AB=b and AC=c, express in terms of b and c
(i)AE
(ii)BD
b) If BF= t BD and AF= sAE , where t and s are scalars, find the values of t and s.
c) What is the ratio in which F divides AE
Date posted:
September 13, 2019
.
Answers (1)
-
The table below shows income tax rates.
(Solved)
The table below shows income tax rates.

Agnes earns a monthly salary of Ksh. 20,000 per month, Her house allowance is Ksh. 15000P.M. She is entitled to a personal relief of Ksh. 1260P.M. Her deductions are NHIF sh.960, cooperative loan sh. 3500 and service charge of Ksh.400 per month.
Calculate
a) the taxable income.
b) the tax charged on Agnes earning.
c) the tax paid.
d) the net salary.
Date posted:
September 13, 2019
.
Answers (1)
-
The distance between two places P(theta0 S,350 E) and (theta0 S, 1450 W)
(Solved)
The distance between two places P(theta0 S,350 E) and (theta0 S, 1450 W),on the earth via South Pole is 3240nm. Find
a) the value of theta0.
b) the distance between P and Q along the parallel of latitude in nautical miles.
Date posted:
September 13, 2019
.
Answers (1)
-
Find the equation of a circle whose diameter has the end points (-2,6) and 6,2)
(Solved)
Find the equation of a circle whose diameter has the end points (-2,6) and 6,2)
Date posted:
September 13, 2019
.
Answers (1)
-
The figure below is a square –based pyramid with vertex V.
(Solved)
The figure below is a square –based pyramid with vertex V. Point O is the intersection of diagonals AC and BC. VA=VB=VC=VD=12cm and AB=BC=4cm

a) Name the projection of line VA on plane ABCD.
b) Find the angle between line VB and the plane ABCD
Date posted:
September 13, 2019
.
Answers (1)
-
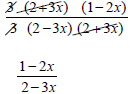
Simplify without using mathematical tables or calculator.
(Solved)
Simplify without using mathematical tables or calculator.

Date posted:
September 13, 2019
.
Answers (1)
-
Mrs. Ondiek invested Ksh. 63560 in a bank where the interest was compounded quarterly at the rate of 12% per month.
(Solved)
Mrs. Ondiek invested Ksh. 63560 in a bank where the interest was compounded quarterly at the rate of 12% per month. Determine the amount of money she had after 2 ½ years.
Date posted:
September 13, 2019
.
Answers (1)
-
Determine the semi-interquartile range for the given set of data.
40,20,30,42,10,18,26,32
(Solved)
Determine the semi-interquartile range for the given set of data.
40,20,30,42,10,18,26,32
Date posted:
September 13, 2019
.
Answers (1)
-
Calculate the relative error in 7.9 ÷ 4.3
(Solved)
Calculate the relative error in 7.9 ÷ 4.3
Date posted:
September 13, 2019
.
Answers (1)