-
Evaluate using square root, cubes and reciprocal tables;
(Solved)
Evaluate using square root, cubes and reciprocal tables;

Date posted:
September 13, 2019
.
Answers (1)
-
In a class there are 19 girls and the rest are boys.
(Solved)
In a class there are 19 girls and the rest are boys. The probability of picking a boy from the class
is 0-4. Find the total number of students in that class.
Date posted:
September 13, 2019
.
Answers (1)
-
The figure below shows a square based non- right pyramid ABCDV. Side BCV is an equilateral triangle of side 8 cm
(Solved)
The figure below shows a square based non- right pyramid ABCDV. Side BCV is an equilateral triangle of side 8 cm and is perpendicular to base ABCD. Calculate to4 s.f the volume of the pyramid.

Date posted:
September 13, 2019
.
Answers (1)
-
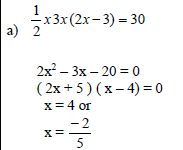
Solve without using tables or calculators
(Solved)
Solve without using tables or calculators

Date posted:
September 13, 2019
.
Answers (1)
-
A chord XY of a circle is 5cm long and subtends an angle of 30° on the major arc of the circle centre O.
(Solved)
A chord XY of a circle is 5cm long and subtends an angle of 30° on the major arc of the circle centre O. Calculate to 4 s.f.
(a) the distance of the chord from the centre of the circle.
(b) the radius of the circle
Date posted:
September 13, 2019
.
Answers (1)
-
From the graphs below, determine the inequalities l1, l2 and l3 satisfy the un shaded region
(Solved)
From the graphs below, determine the inequalities l1, l2 and l3 satisfy the un-shaded region

Date posted:
September 13, 2019
.
Answers (1)
-
A student misread the number 0.4 07 for 0.407 . Calculate the percentage error incurred in using the wrong number
(Solved)
A student misread the number 0.4 07 for 0.407 . Calculate the percentage error incurred in using the wrong number
Date posted:
September 13, 2019
.
Answers (1)
-
Solve for x in the trigonometric, equation 3 sin 2x = -0.1545
(Solved)
Solve for x in the trigonometric, equation 3 sin 2x = -0.1545
Date posted:
September 13, 2019
.
Answers (1)
-
From a point P a boy notices that the angle of elevation of the top of a tall building is 45°.
(Solved)
From a point P a boy notices that the angle of elevation of the top of a tall building is 45°. He moves 270m from P to Q and realizes that the new angle of depression is 30°. Given that Q is on the same side of the building as P, find the height of the building.
Date posted:
September 13, 2019
.
Answers (1)
-
Factorize completely and simplify;
(Solved)
Factorize completely and simplify;

Date posted:
September 13, 2019
.
Answers (1)
-
A rectangular plot of land measures 745 m by 230 m has two support posts on every corner.
(Solved)
A rectangular plot of land measures 745 m by 230 m has two support posts on every corner. A gate 5m wide With double posts on side is at one side of the plot. Find the number of posts required to fence the plot if they are placed 5m apart.
Date posted:
September 13, 2019
.
Answers (1)
-
In the figure ABCDE below angle ABC = 100°, angle BAC = 33° and angle CDE = 18°
(Solved)
In the figure ABCDE below angle ABC = 100°, angle BAC = 33° and angle CDE = 18°. Calculate the size of angle AED.

Date posted:
September 13, 2019
.
Answers (1)
-
Given that g = kx2 make x the subject of the equation by first simplifying using the laws of logarithms.
(Solved)
Given that g = kx2 make x the subject of the equation by first simplifying using the laws of logarithms.
Date posted:
September 13, 2019
.
Answers (1)
-
The figure below shows a sketch of the line 3y = - x + 10.
(Solved)
The figure below shows a sketch of the line 3y = - x + 10. Find the value of a

Date posted:
September 13, 2019
.
Answers (1)
-
A farmer has three containers of capacity 12, 15 and 21 litres.
(Solved)
A farmer has three containers of capacity 12, 15 and 21 litres. Calculate the capacity of the largest. container which can fill each one of them an exact number of times.
Date posted:
September 13, 2019
.
Answers (1)
-
Use logarithms to evaluate;
(Solved)
Use logarithms to evaluate;

Date posted:
September 13, 2019
.
Answers (1)
-
A small scale farmer wishes to buy some sheep and goats for rearing. A sheep costs sh.400 and a goat costs sh.300.
(Solved)
A small scale farmer wishes to buy some sheep and goats for rearing. A sheep costs sh.400 and a goat costs sh.300. The farmer has enough space for only 20 animals and may spend at most sh.6800. The number of goats should not exceed twice the number of sheep.
a) By letting x and y to represent the number of sheep and goats he can buy respectively, write down all inequalities from the above information.
b) Represent the inequalities on the grid provided.
c) From your graph; find the maximum number of animals he can buy at the lowest cost.
Date posted:
September 13, 2019
.
Answers (1)
-
The probability that it will rain on a certain morning is 1/3.
(Solved)
The probability that it will rain on a certain morning is 1/3. If it rains, the probability that Sagero misses the bus is 3/4. If it does not rain, the probability that he catches the bus is 5/6.
a) Represent the above information in a tree diagram.
b) Calculate the probability that on a given morning
i) it rains and he catches the bus.
ii) it rains and he misses the bus.
iii) he misses the bus.
iv) it does not rain and he misses the bus.
Date posted:
September 13, 2019
.
Answers (1)
-
A particle P moves in a straight line so that its velocity Vm/s at time t seconds where
(Solved)
A particle P moves in a straight line so that its velocity Vm/s at time t seconds where t> or equal to 0 is given by V=28+t-2t2
Find;
a) The time when P is instantaneously at rest.
b) The speed of P at the instant when the acceleration of P is zero
c) Given that P passes through point O of the line when t=0
i) Find the distance of P from O when P is instantaneously at rest
ii) Find the distance covered by the particle during the 3rd second
Date posted:
September 13, 2019
.
Answers (1)
-
The table below shows the masses in kg of some form three students in a school.
(Solved)
The table below shows the masses in kg of some form three students in a school.

a)
i) State the median class.
ii) Using an assumed mean of 54.5, calculate the mean mass.
b) Calculate the standard deviation of the data, give your answer correct to 2 decimal places.
Date posted:
September 13, 2019
.
Answers (1)