-
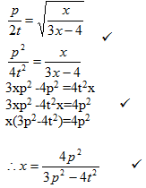
Solve for t given that
(Solved)
Solve for t given that 
Date posted:
September 16, 2019
.
Answers (1)
-
A shamba is in the shape of a parallelogram with the lengths of the adjacent sides being 12cm and 15cm.
If the area of the parallelogram...
(Solved)
A shamba is in the shape of a parallelogram with the lengths of the adjacent sides being 12cm and 15cm.
If the area of the parallelogram is 72 cm2, find the angle between these two sides.
Date posted:
September 16, 2019
.
Answers (1)
-
Use logarithms only to evaluate.
(Solved)
Use logarithms only to evaluate.

Date posted:
September 16, 2019
.
Answers (1)
-
The figure below shows a net of a solid figure. The dimensions AC = CB = BA = 5cm,AF 10cm and the triangles ABC and...
(Solved)
The figure below shows a net of a solid figure. The dimensions AC = CB = BA = 5cm,AF 10cm and the triangles ABC and DEF are equilateral and equal.

(a) Taking BCDE as the base of the solid, draw a proportionately well labeled and dimensioned solid that can be made from the net.
(b) Name the solid arising from the net.
(c) Using the sketch, calculate;
i) the angle between line CF and the plane BCDE.
ii) the angle between lines BD and DF
iii) the angle between the planes BCDE and CDFA
Date posted:
September 13, 2019
.
Answers (1)
-
Complete the table below for the functions y = 2 sin (x – 300) and y = Cos 2x
(Solved)
Complete the table below for the functions y = 2 sin (x – 300) and y = Cos 2x.

(a) On the same set of axes, draw the graphs of y = 2 Sin (x - 30) and y = cos 2x in
The range 00 < 3600
(b) Use your graph to solve the equation 2 sin (x - 300) = cos 2x
(c) State the,
(i) phase angle for the wave y = 2 Sin (x -30°)
(ii) period for the wave y = cos 2x.
Date posted:
September 13, 2019
.
Answers (1)
-
The relationship between two quantities x and y are suspected to be of the form y = abx + 2.1
(Solved)
The relationship between two quantities x and y are suspected to be of the form y = abx + 2.1 where a and. b are constants. The table below show corresponding values of x and y.

a) By drawing a suitable straight line graph, estimate the values of a and b.
(b) Hence, determine the value of;
i) y when x is 13.2.
ii) x when y is 47.6.
Date posted:
September 13, 2019
.
Answers (1)
-
The table below shows monthly income tax rates.
(Solved)
The table below shows monthly income tax rates.

A civil servant earns a salary of Sh.42000 and is provided with a house at a nominal rent of Sh. 1500 per month.
(a) Taxable pay is the employee’s salary plus 15% of salary less nominal rent. Calculate the civil servant’s taxable income in K£ p.m.
(b) If the employee is entitled to a personal relief of Sh.900 p.m., what is his PAYE?
(c,) The following deductions are made from his gross monthly pay; NHIF - Sh 630, WCPS - Sh 540, Union dues - Sh 330, SACCO loan recovery - Sh.7000 and Co - operative shares Sh.2500 Calculate his net monthly pay.
Date posted:
September 13, 2019
.
Answers (1)
-
A curve passes through the point (3,-6) and its gradient function is dy/dx= 2x-1
(Solved)
A curve passes through the point (3,-6) and its gradient function is dy/dx= 2x-1.
(a) Find the equation of the curve.
(b) Determine the x-co-ordinate of the points where the curve cuts the x-axis.
(c) sketch the curve
(d) By integration, find the area enclosed by the curve and the x-axis
Date posted:
September 13, 2019
.
Answers (1)
-
Triangle ABC below has an area of 30 cm2
(Solved)
Triangle ABC below has an area of 30 cm2. In triangle,angle ABC = alpha , angle ACB = theta and sin alpha - cos theta =0. Sides AB = ( 2x – 3) cm, AC = 3x cm and BC = 2 (x + 2.5) cm.

From the triangle, find;
(a) The value of x.
(b) The perimeter of the triangle.
(c) The perpendicular height from A to base BC
(d) The size of angle alpha
Date posted:
September 13, 2019
.
Answers (1)
-
Evaluate using square root, cubes and reciprocal tables;
(Solved)
Evaluate using square root, cubes and reciprocal tables;

Date posted:
September 13, 2019
.
Answers (1)
-
In a class there are 19 girls and the rest are boys.
(Solved)
In a class there are 19 girls and the rest are boys. The probability of picking a boy from the class
is 0-4. Find the total number of students in that class.
Date posted:
September 13, 2019
.
Answers (1)
-
The figure below shows a square based non- right pyramid ABCDV. Side BCV is an equilateral triangle of side 8 cm
(Solved)
The figure below shows a square based non- right pyramid ABCDV. Side BCV is an equilateral triangle of side 8 cm and is perpendicular to base ABCD. Calculate to4 s.f the volume of the pyramid.

Date posted:
September 13, 2019
.
Answers (1)
-
Solve without using tables or calculators
(Solved)
Solve without using tables or calculators

Date posted:
September 13, 2019
.
Answers (1)
-
A chord XY of a circle is 5cm long and subtends an angle of 30° on the major arc of the circle centre O.
(Solved)
A chord XY of a circle is 5cm long and subtends an angle of 30° on the major arc of the circle centre O. Calculate to 4 s.f.
(a) the distance of the chord from the centre of the circle.
(b) the radius of the circle
Date posted:
September 13, 2019
.
Answers (1)
-
From the graphs below, determine the inequalities l1, l2 and l3 satisfy the un shaded region
(Solved)
From the graphs below, determine the inequalities l1, l2 and l3 satisfy the un-shaded region

Date posted:
September 13, 2019
.
Answers (1)
-
A student misread the number 0.4 07 for 0.407 . Calculate the percentage error incurred in using the wrong number
(Solved)
A student misread the number 0.4 07 for 0.407 . Calculate the percentage error incurred in using the wrong number
Date posted:
September 13, 2019
.
Answers (1)
-
Solve for x in the trigonometric, equation 3 sin 2x = -0.1545
(Solved)
Solve for x in the trigonometric, equation 3 sin 2x = -0.1545
Date posted:
September 13, 2019
.
Answers (1)
-
From a point P a boy notices that the angle of elevation of the top of a tall building is 45°.
(Solved)
From a point P a boy notices that the angle of elevation of the top of a tall building is 45°. He moves 270m from P to Q and realizes that the new angle of depression is 30°. Given that Q is on the same side of the building as P, find the height of the building.
Date posted:
September 13, 2019
.
Answers (1)
-
Factorize completely and simplify;
(Solved)
Factorize completely and simplify;

Date posted:
September 13, 2019
.
Answers (1)
-
A rectangular plot of land measures 745 m by 230 m has two support posts on every corner.
(Solved)
A rectangular plot of land measures 745 m by 230 m has two support posts on every corner. A gate 5m wide With double posts on side is at one side of the plot. Find the number of posts required to fence the plot if they are placed 5m apart.
Date posted:
September 13, 2019
.
Answers (1)