-
Estimate the area enclosed by the curve and the x axis from x =0 to x = 2 using mid ordinate rule with four...
(Solved)
Estimate the area enclosed by the curve
and the x axis from x =0 to x = 2 using mid ordinate rule with four strips. ( Leave your answer as a fraction)
Date posted:
September 24, 2019
.
Answers (1)
-
A and B are points on latitude 700N.Their longitudes are 620W and 1180E respectively. Find the shortest distance between A and B in nautical miles.
(Solved)
A and B are points on latitude 700N.Their longitudes are 620W and 1180E respectively. Find the shortest distance between A and B in nautical miles.
Date posted:
September 24, 2019
.
Answers (1)
-
A point C divides the line AB with coordinates A (3, 4 ,-5) , B (-1,10,7) externally in the ratio 5 : 3. Find...
(Solved)
A point C divides the line AB with coordinates A (3, 4 ,-5) , B (-1,10,7) externally in the ratio 5 : 3. Find the coordinates of C
Date posted:
September 24, 2019
.
Answers (1)
-
Peter invested a certain amount of money in a financial institution at compound interest compounded quarterly. At the end of the third year it had...
(Solved)
Peter invested a certain amount of money in a financial institution at compound interest compounded quarterly. At the end of the third year it had amounted to sh 18980 and by the end of the fifth year it had amounted to sh 20530. Find the rate of interest
Date posted:
September 24, 2019
.
Answers (1)
-
Find the centre and radius of a circle whose equation is 2x2+2y2-12y-14 = 0
(Solved)
Find the centre and radius of a circle whose equation is 2x2+2y2-12y-14 = 0
Date posted:
September 24, 2019
.
Answers (1)
-
A mixture is made by mixing 4kg of long grain rice costing sh 60 per kg with 9kg of short grain rice costing sh 50...
(Solved)
A mixture is made by mixing 4kg of long grain rice costing sh 60 per kg with 9kg of short grain rice costing sh 50 per kg. How many kilograms of long grain rice should be added to the mixture so that the resulting mixture can be sold at sh 66 per kg and a profit of 20% is made.
Date posted:
September 24, 2019
.
Answers (1)
-
a. Expand and simplify
b. Hence evaluate leaving your answer in surd form
(Solved)
a. Expand and simplify 
b. Hence evaluate
leaving your answer in surd form
Date posted:
September 24, 2019
.
Answers (1)
-
Use logarithm tables to solve
(Solved)
Use logarithm tables to solve

Date posted:
September 24, 2019
.
Answers (1)
-
A particle starts from rest at a point O and moves along a straight line coming to rest at another point B.During the motion...
(Solved)
A particle starts from rest at a point O and moves along a straight line coming to rest at another point B.During the motion its velocity V meters per second after t seconds is given by V=9t2 – 2t3.
Calculate the:
(a)time taken for the particle to reach point B.
(b)time taken for the particle to attain maximum velocity.
(c)maximum velocity attained.
(d)the distance covered during the first 3 seconds.
Date posted:
September 23, 2019
.
Answers (1)
-
The figure below shows a right pyramid with a square block at its base. The sides of the base are 40cm and the height of...
(Solved)
The figure below shows a right pyramid with a square block at its base. The sides of the base are 40cm and the height of the base is 30cm.M is the midpoint of WX such that VM=29cm.

Calculate:
(a)The vertical height of vertex V from the plane ABCD.
(b)The angle between plane of VWX and VyZ.
(c)The projection of the line yV to the plane wxyz.
(d)The angle between the planes WXCD and ABCD.
Date posted:
September 23, 2019
.
Answers (1)
-
Complete the table below for the function y=3cos x and y=sin2x to 1 d.p.
(Solved)
Complete the table below for the function y=3cos x and y=sin2x to 1 d.p.

Date posted:
September 23, 2019
.
Answers (1)
-
The position of two towns A and B on the earth’s surface are A(450N, 200W) and B (450N, 1500E). Taking R = 6370km, find the...
(Solved)
The position of two towns A and B on the earth’s surface are A(450N, 200W) and B (450N, 1500E). Taking R = 6370km, find the distance between A and B along the parallel of latitude.
Date posted:
September 23, 2019
.
Answers (1)
-
Wekesa and Ndinda working together can cultivate a piece of land in 6 days. Wekesa alone can complete the work in 15 days. After the...
(Solved)
Wekesa and Ndinda working together can cultivate a piece of land in 6 days. Wekesa alone can complete the work in 15 days. After the two had worked for 4 days Wekesa withdrew the services. Find the time taken by Ndinda to complete the remaining work.
Date posted:
September 23, 2019
.
Answers (1)
-
Expand upto the term in x3. Hence use the expansion above to find the approximate value of (101)5
(Solved)
Expand
upto the term in x3. Hence use the expansion above to find the approximate value of (101)5
Date posted:
September 23, 2019
.
Answers (1)
-
Determine the centre and the radius of a circle whose equation is x2 + 2x = 16y - y2
(Solved)
Determine the centre and the radius of a circle whose equation is x2 + 2x = 16y - y2
Date posted:
September 23, 2019
.
Answers (1)
-
A box contains 36 balls all of the same size and shape, if y of the balls are red, 19 are white and the rest...
(Solved)
A box contains 36 balls all of the same size and shape, if y of the balls are red, 19 are white and the rest are blue. A ball is picked from the box at random. If the probability that this ball is red is 1/3 Find
(a)The value of y
(b)The probability that the ball picked is blue.
Date posted:
September 23, 2019
.
Answers (1)
-
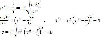
Make Q the subject of the formula.
(Solved)
Make Q the subject of the formula.

Date posted:
September 23, 2019
.
Answers (1)
-
Calculate the standard deviation (S.D) for the set of numbers given:
4, 6, 12,3,9,8.
(Solved)
Calculate the standard deviation (S.D) for the set of numbers given:
4, 6, 12,3,9,8.
Date posted:
September 23, 2019
.
Answers (1)
-
Find the compound interest on Ksh. 21,000 in 3 years at a Rate of 20% P.a. Compounded semi annually.
(Solved)
Find the compound interest on Ksh. 21,000 in 3 years at a Rate of 20% P.a. Compounded semi annually.
Date posted:
September 23, 2019
.
Answers (1)
-
An aeroplane flies 125km in the direction 1100. It then changes course and flies for 170km in the direction of 1600. Find by calculation its...
(Solved)
An aeroplane flies 125km in the direction 1100. It then changes course and flies for 170km in the direction of 1600. Find by calculation its distance from the starting point.
Date posted:
September 23, 2019
.
Answers (1)