-
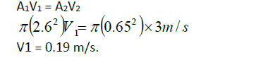
Write down the expression for the equation of continuity and explain its components.
(Solved)
Write down the expression for the equation of continuity and explain its components.
Date posted:
September 26, 2019
.
Answers (1)
-
An automobile of mass 500 kilograms is accelerated from rest a long a horizontal surface. The force produced by the engine is 300N and that...
(Solved)
An automobile of mass 500 kilograms is accelerated from rest a long a horizontal surface. The force produced by the engine is 300N and that due to friction is 50N.What is the accelerating force and what is the acceleration produced.
Date posted:
September 26, 2019
.
Answers (1)
-
A trolley of mass 5.00kg resets on a plain horizontal ground shown in the figure below.
i) On the sketch below show the forces acting on...
(Solved)
A trolley of mass 5.00 kg resets on a plain horizontal ground shown in the figure below.
i) On the sketch below show the forces acting on it when pulled in one direction

ii) When trolley is pulled with a horizontal force of 24N, the trolley accelerates at 3ms-2.Find the frictional force acting on the trolley
Date posted:
September 26, 2019
.
Answers (1)
-
An object which is moving over a horizontal surface does not continue its motion with a constant acceleration when the acceleration force is discontinued. The...
(Solved)
An object which is moving over a horizontal surface does not continue its motion with a constant acceleration when the acceleration force is discontinued. The motion decreases to zero finally. Explain what is responsible for this observation.
Date posted:
September 26, 2019
.
Answers (1)
-
Distinguish between work and effort.
(Solved)
Distinguish between work and effort.
Date posted:
September 26, 2019
.
Answers (1)
-
The following figure shows a wheel and axle used to raise a load W by applying an effort,F.The radius of the large wheel is R...
(Solved)
The following figure shows a wheel and axle used to raise a load W by applying an effort,F.The radius of the large wheel is R and that of the small wheel is r.

Given that r = 8cm and 2R = 20cm,determine the effort required to raise a load of 40N if the efficiency of the system is 85%.
Date posted:
September 26, 2019
.
Answers (1)
-
The figure below shows a simple form of a driving board.
(Solved)
The figure below shows a simple form of a driving board.

The diver has a mass of 60kg.Calculate the magnitude and show the direction of the force acting at A if the board is uniform and has a mass of 20kg.
Date posted:
September 26, 2019
.
Answers (1)
-
Explain what is meant by a uniform beam in equilibrium.
(Solved)
Explain what is meant by a uniform beam in equilibrium.
Date posted:
September 26, 2019
.
Answers (1)
-
If the handle of a door were to be at 75cm from the hinges and a force of 70N were applied on it to open...
(Solved)
If the handle of a door were to be at 75cm from the hinges and a force of 70N were applied on it to open the door, determine the moment of force that would be experienced.
Date posted:
September 26, 2019
.
Answers (1)
-
The handle of a door is fitted furthest from the hinges during its assembly for easy operation. Explain this.
(Solved)
The handle of a door is fitted furthest from the hinges during its assembly for easy operation. Explain this.
Date posted:
September 26, 2019
.
Answers (1)
-
Using the model below show all the forces that are acting on the metal ball bearing as it moves through the water (indicate with arrows).
(Solved)
Using the model below show all the forces that are acting on the metal ball bearing as it moves through the water (indicate with arrows).

Date posted:
September 26, 2019
.
Answers (1)
-
The reading on a spring balance is 7.2N when a metal ball bearing is hung from its lower end in air the density of the...
(Solved)
The reading on a spring balance is 7.2N when a metal ball bearing is hung from its lower end in air the density of the metal is 9.00g/cm-3 and that of water is 1.00g/cm-3.The ball is immersed in water in a Eureka can until it is completely submerged.
i) What is the volume in m3 of water displaced.
ii) What is the reading of the spring balance in N when the ball is completely submerged in water.
Date posted:
September 26, 2019
.
Answers (1)
-
The temperature of a cold drink from a fridge was found to be 261 Kelvin.What temperature would this be in degrees centigrade.
(Solved)
The temperature of a cold drink from a fridge was found to be 261kelvin.What temperature would this be in degrees centigrade.
Date posted:
September 26, 2019
.
Answers (1)
-
Curtains on the doors and windows are seen to bulge or hang outwards when there is a wind blowing across them. Explain this phenomenon.
(Solved)
Curtains on the doors and windows are seen to bulge or hang outwards when there is a wind blowing across them. Explain this phenomenon.
Date posted:
September 26, 2019
.
Answers (1)
-
Three identical spring balances of spring constant 40N/M and weight 0.5N are used to support a load as shown. Determine the total extension of the...
(Solved)
Three identical spring balances of spring constant 40N/M and weight 0.5N are used to support a load as shown. Determine the total extension of the system.

Date posted:
September 26, 2019
.
Answers (1)
-
A ball is kicked from a table top horizontally so that it moves and fall some distance on the horizontal ground 65cm away from the...
(Solved)
A ball is kicked from a table top horizontally so that it moves and fall some distance on the horizontal ground 65cm away from the base of the table. If the table is a half a metre tall, calculate the initial horizontal velocity of the ball.
Date posted:
September 26, 2019
.
Answers (1)
-
A drop of oil has a volume of 3.0 x 10-6m3 and spreads to form a patch of radius 16cm on the surface of water. Determine the...
(Solved)
A drop of oil has a volume of 3.0 x 10-6m3 and spreads to form a patch of radius 16cm on the surface of water. Determine the thickness of the oil patch.
Date posted:
September 26, 2019
.
Answers (1)
-
The figure below shows a homogenious wooden sphere with a nail driven or hammered into it at a point x as shown below.
(Solved)
The figure below shows a homogenious wooden sphere with a nail driven or hammered into it at a point x as shown below.

The sphere is allowed to roll after a little push on it. On what position will it settle along the plane PQ.Give a reason for your answer.
Date posted:
September 26, 2019
.
Answers (1)
-
State one limitation of the gas law.
(Solved)
State one limitation of the gas law.
Date posted:
September 26, 2019
.
Answers (1)
-
Explain why a dead dog thrown next to school smells so much during the day than during cold morning.
(Solved)
Explain why a dead dog thrown next to school smells so much during the day than during cold morning.
Date posted:
September 26, 2019
.
Answers (1)