-
Complete the table below for y=2 sin x and y= cos ½ x
(Solved)
Complete the table below for y=2 sin x and y= cos ½ x

Date posted:
September 30, 2019
.
Answers (1)
-
Find the value of x given that is a singular matrix.
(Solved)
Find the value of x given that
is a singular matrix.
Date posted:
September 30, 2019
.
Answers (1)
-
A transport company has two types of vehicles for hire: lorries and buses. The vehicles are hired
per day. The cost of hiring two lorries and...
(Solved)
A transport company has two types of vehicles for hire: lorries and buses. The vehicles are hired
per day. The cost of hiring two lorries and five buses is sh. 156000 and that of hiring 4 lories and
three buses is sh. 137,000
(i) Form two equations to represent the above information.
(ii) Use matrix method to determine the cost of hiring a lorry and that of hiring a bus.
Date posted:
September 30, 2019
.
Answers (1)
-
Find the inverse of the matrix.
(Solved)
Find the inverse of the matrix.

Date posted:
September 30, 2019
.
Answers (1)
-
A group of people planned to contribute sh.2000 000 to start a business. However before the contributions were made the group disintegrated and 40 members...
(Solved)
A group of people planned to contribute sh.2000 000 to start a business. However before the contributions were made the group disintegrated and 40 members pulled out. A a result each of the remaining members were to contribute sh. 2500 more/
(a) Find the original number of members in the group.
(b) After each member contributing half of the expected amount the members opted to get a bank
That would offset ¼ of the remaining amount. How much would each member contribute after
he bank loan.
(c) Twenty new members joined the group just before the business started. As a result the old
Members were to be refunded some money. How much was the refund?
Date posted:
September 30, 2019
.
Answers (1)
-
Complete the table below for y=2x2-x-3
(Solved)
Complete the table below for y=2x2-x-3

Date posted:
September 30, 2019
.
Answers (1)
-
Hellen’s earnings are as follows:
Basic salary sh. 38000 per month
House allowance sh. 14000 per months
Travelling allowance sh.8500 per month and
Medical allowance Ksh.3300 per month.
She is...
(Solved)
Hellen’s earnings are as follows:
Basic salary sh. 38000 per month
House allowance sh. 14000 per months
Travelling allowance sh.8500 per month and
Medical allowance Ksh.3300 per month.
She is given a personal relief of Ksh. 12672
The table for payable tax is shown below
Income in K£ p.a Payable tax rate in Kshs per K£
0-6000 2
6001-12000 3
12001-18000 4
18001 -24000 5
24001-30000 6
30001-36000 7
36001-42000 8
42001-48000 9
Over 48000 10
Calculate
(a) (i) Hellen’s taxable income in K£ p.a
(ii) Her P.A.Y.E
(b) Hellen is deducted the following items per month
NHIF Ksh.320
Cooperative shares Ksh.2000
Loan repayment Ksh5000
Determine her net salary per month
Date posted:
September 30, 2019
.
Answers (1)
-
Use logarithms only to evaluate
(Solved)
Use logarithms only to evaluate

Date posted:
September 30, 2019
.
Answers (1)
-
Without using mathematical tables or a calculator evaluate;
(Solved)
Without using mathematical tables or a calculator evaluate;

Date posted:
September 30, 2019
.
Answers (1)
-
Position vectors A and B are 3i+2j+k and –i+3j+4k respectively. Determine the magnitude of AB.
(Solved)
Position vectors A and B are 3i+2j+k and –i+3j+4k respectively. Determine the magnitude of AB.
Date posted:
September 30, 2019
.
Answers (1)
-
From a point A the angle of elevation of the top of a tree is 250. From another point B which is 10m from the...
(Solved)
From a point A the angle of elevation of the top of a tree is 250. From another point B which is 10m from the base of the tree, the angle of elevation of the top of the tree is 36.5. Giving your answer to 1 decimal place
(a) Determine the height of the tree.
(b) Calculate the distance between A and B.
Date posted:
September 30, 2019
.
Answers (1)
-
The first term of a geometric sequence is 16 and the fifth term is 81 find the sum of the first 10 terms giving your...
(Solved)
The first term of a geometric sequence is 16 and the fifth term is 81 find the sum of the first 10 terms giving your answer correct to 2 decimal places.
Date posted:
September 30, 2019
.
Answers (1)
-
Jane invested sh. P at 7.5% p.a compound interest in a bank. After 8 years she was given sh. 30,000. Calculate to the nearest shilling...
(Solved)
Jane invested sh. P at 7.5% p.a compound interest in a bank. After 8 years she was given sh. 30,000. Calculate to the nearest shilling the value of P.
Date posted:
September 30, 2019
.
Answers (1)
-
State all the intergral values of x that satisfy the following inequality.
2x-3=3x+5=7x+6
(Solved)
State all the intergral values of x that satisfy the following inequality.
2x-3≤3x+5≥7x+6
Date posted:
September 30, 2019
.
Answers (1)
-
The cost of water is partly constant and partly varies as the number of units consumed. A family that use 10 units pays sh. 320...
(Solved)
The cost of water is partly constant and partly varies as the number of units consumed. A family that use 10 units pays sh. 320 and a family that uses 12 units uses sh. 370 for water. Calculate the amount paid by a family that uses 20 units of water in a month.
Date posted:
September 30, 2019
.
Answers (1)
-
A student gave the expansion of (x+y)2 as x2+y2.
(Solved)
A student gave the expansion of (x+y)2 as x2+y2. Find the percentage error in the expansion by the student if x=2.5 and y=3.0
Date posted:
September 30, 2019
.
Answers (1)
-
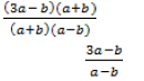
Make x the subject of the formular.
(Solved)
Make x the subject of the formular.

Date posted:
September 30, 2019
.
Answers (1)
-
Use tables of logarithms to evaluate;
(Solved)
Use tables of logarithms to evaluate;

Date posted:
September 30, 2019
.
Answers (1)
-
Evaluate ;
(Solved)
Evaluate ;

Date posted:
September 30, 2019
.
Answers (1)
-
Three pegs R,S and T are on the corners of a triangular plain field. R is 300m from S on a bearing of 300o and...
(Solved)
Three pegs R,S and T are on the corners of a triangular plain field. R is 300m from S on a bearing of 300o and T is 450 m directly south of R
(a) Using a scale of 1:6000 draw a diagram to show the positions of the pegs
(b) Use the scale drawing to determine:
(i) The distance between T and S in metres.
(ii) The bearing of T from S
(c) Find the area of the field, in hectares correct to one decimal place
Date posted:
September 30, 2019
.
Answers (1)