-
Without using Logarithms tables or a calculator evaluate.
(Solved)
Without using Logarithms tables or a calculator evaluate.

Date posted:
October 4, 2019
.
Answers (1)
-
A frustrum whose vertical height is 4cm is formed by cutting the top of a cone parallel to the base if the two radii of...
(Solved)
A frustrum whose vertical height is 4cm is formed by cutting the top of a cone parallel to the base if the two radii of the frustrum are 6cm and 8cm respectively, determine the height of the original cone.
Date posted:
October 1, 2019
.
Answers (1)
-
In the figure below (not drawn to scale) has points P, Q, R and S on the circumference of the circle
centre O, such that PQ...
(Solved)
In the figure below (not drawn to scale) has points P, Q, R and S on the circumference of the circle
centre O, such that PQ is parallel to SR and angle SRQ = 125o

Determine the size of angle:-
a) QOS obtuse
b) QPS
c) SQR
Date posted:
October 1, 2019
.
Answers (1)
-
During a certain period the exchange rates at a Pesa point were;
(Solved)
During a certain period the exchange rates at a Pesa point were;
Buying shs...................... Selling shs
Riyal 19.68....................... 19.78
A tourist arrived with 5480 Riyal which he changed to Kshs. He spend 2/3 of the total in visiting various sites. As he was leaving he changed all he had to Riyal. How much did he leave with? Answer to 1 d.p.
Date posted:
October 1, 2019
.
Answers (1)
-
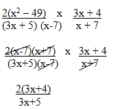
Factorise and hence simplify completely
(Solved)
Factorise and hence simplify completely

Date posted:
October 1, 2019
.
Answers (1)
-
Complete the table below for y=2 sin x and y= cos ½ x
(Solved)
Complete the table below for y=2 sin x and y= cos ½ x

Date posted:
September 30, 2019
.
Answers (1)
-
Find the value of x given that is a singular matrix.
(Solved)
Find the value of x given that
is a singular matrix.
Date posted:
September 30, 2019
.
Answers (1)
-
A transport company has two types of vehicles for hire: lorries and buses. The vehicles are hired
per day. The cost of hiring two lorries and...
(Solved)
A transport company has two types of vehicles for hire: lorries and buses. The vehicles are hired
per day. The cost of hiring two lorries and five buses is sh. 156000 and that of hiring 4 lories and
three buses is sh. 137,000
(i) Form two equations to represent the above information.
(ii) Use matrix method to determine the cost of hiring a lorry and that of hiring a bus.
Date posted:
September 30, 2019
.
Answers (1)
-
Find the inverse of the matrix.
(Solved)
Find the inverse of the matrix.

Date posted:
September 30, 2019
.
Answers (1)
-
A group of people planned to contribute sh.2000 000 to start a business. However before the contributions were made the group disintegrated and 40 members...
(Solved)
A group of people planned to contribute sh.2000 000 to start a business. However before the contributions were made the group disintegrated and 40 members pulled out. A a result each of the remaining members were to contribute sh. 2500 more/
(a) Find the original number of members in the group.
(b) After each member contributing half of the expected amount the members opted to get a bank
That would offset ¼ of the remaining amount. How much would each member contribute after
he bank loan.
(c) Twenty new members joined the group just before the business started. As a result the old
Members were to be refunded some money. How much was the refund?
Date posted:
September 30, 2019
.
Answers (1)
-
Complete the table below for y=2x2-x-3
(Solved)
Complete the table below for y=2x2-x-3

Date posted:
September 30, 2019
.
Answers (1)
-
Hellen’s earnings are as follows:
Basic salary sh. 38000 per month
House allowance sh. 14000 per months
Travelling allowance sh.8500 per month and
Medical allowance Ksh.3300 per month.
She is...
(Solved)
Hellen’s earnings are as follows:
Basic salary sh. 38000 per month
House allowance sh. 14000 per months
Travelling allowance sh.8500 per month and
Medical allowance Ksh.3300 per month.
She is given a personal relief of Ksh. 12672
The table for payable tax is shown below
Income in K£ p.a Payable tax rate in Kshs per K£
0-6000 2
6001-12000 3
12001-18000 4
18001 -24000 5
24001-30000 6
30001-36000 7
36001-42000 8
42001-48000 9
Over 48000 10
Calculate
(a) (i) Hellen’s taxable income in K£ p.a
(ii) Her P.A.Y.E
(b) Hellen is deducted the following items per month
NHIF Ksh.320
Cooperative shares Ksh.2000
Loan repayment Ksh5000
Determine her net salary per month
Date posted:
September 30, 2019
.
Answers (1)
-
Use logarithms only to evaluate
(Solved)
Use logarithms only to evaluate

Date posted:
September 30, 2019
.
Answers (1)
-
Without using mathematical tables or a calculator evaluate;
(Solved)
Without using mathematical tables or a calculator evaluate;

Date posted:
September 30, 2019
.
Answers (1)
-
Position vectors A and B are 3i+2j+k and –i+3j+4k respectively. Determine the magnitude of AB.
(Solved)
Position vectors A and B are 3i+2j+k and –i+3j+4k respectively. Determine the magnitude of AB.
Date posted:
September 30, 2019
.
Answers (1)
-
From a point A the angle of elevation of the top of a tree is 250. From another point B which is 10m from the...
(Solved)
From a point A the angle of elevation of the top of a tree is 250. From another point B which is 10m from the base of the tree, the angle of elevation of the top of the tree is 36.5. Giving your answer to 1 decimal place
(a) Determine the height of the tree.
(b) Calculate the distance between A and B.
Date posted:
September 30, 2019
.
Answers (1)
-
The first term of a geometric sequence is 16 and the fifth term is 81 find the sum of the first 10 terms giving your...
(Solved)
The first term of a geometric sequence is 16 and the fifth term is 81 find the sum of the first 10 terms giving your answer correct to 2 decimal places.
Date posted:
September 30, 2019
.
Answers (1)
-
Jane invested sh. P at 7.5% p.a compound interest in a bank. After 8 years she was given sh. 30,000. Calculate to the nearest shilling...
(Solved)
Jane invested sh. P at 7.5% p.a compound interest in a bank. After 8 years she was given sh. 30,000. Calculate to the nearest shilling the value of P.
Date posted:
September 30, 2019
.
Answers (1)
-
State all the intergral values of x that satisfy the following inequality.
2x-3=3x+5=7x+6
(Solved)
State all the intergral values of x that satisfy the following inequality.
2x-3≤3x+5≥7x+6
Date posted:
September 30, 2019
.
Answers (1)
-
The cost of water is partly constant and partly varies as the number of units consumed. A family that use 10 units pays sh. 320...
(Solved)
The cost of water is partly constant and partly varies as the number of units consumed. A family that use 10 units pays sh. 320 and a family that uses 12 units uses sh. 370 for water. Calculate the amount paid by a family that uses 20 units of water in a month.
Date posted:
September 30, 2019
.
Answers (1)