-
Given that A is the point (-8, 4) and B is the point (-12, -12),
(Solved)
Given that A is the point (-8, 4) and B is the point (-12, -12), find the coordinates of a point K on AB such that :
a) AK:KB = 2:3
b) AK:KB = 5: -1
Date posted:
October 8, 2019
.
Answers (1)
-
Solve for theta in the trigonometric equation given by 4 – 6 Cos2 theta = Sin theta
(Solved)
Solve for theta in the trigonometric equation given by 4 – 6 Cos2 theta = Sin theta for 00<= theta <= 3600
Date posted:
October 8, 2019
.
Answers (1)
-
Given the equation 4/9x - 1/3y=1,find the equation of the perpendicular to the line at its y-intercept.
(Solved)
Given the equation 4/9x − 1/3y=1,find the equation of the perpendicular to the line at its y-intercept.
Leave your answer in the form y = mx + c.
Date posted:
October 8, 2019
.
Answers (1)
-
Solve the equation 9x + 32x = 486.
(Solved)
Solve the equation 9x + 32x = 486.
Date posted:
October 8, 2019
.
Answers (1)
-
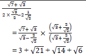
Without using mathematical tables or a calculator, evaluate
(Solved)
Without using mathematical tables or a calculator, evaluate

Date posted:
October 8, 2019
.
Answers (1)
-
A youth group decided to raise Kshs. 480,000 to buy a piece of land costing Kshs. 80,000 per hectare. Before the actual payment was made,...
(Solved)
A youth group decided to raise Kshs. 480,000 to buy a piece of land costing Kshs. 80,000 per hectare. Before the actual payment was made, four of the members pulled out and each of those remaining had to pay an additional Kshs. 20,000.
a)If the original number of the group members was x write down
i)An expression of how much each was to contribute originally
ii)An expression of how much the remaining members were to contribute after four pulled out.
b)Determine the number of members who actually contributed towards the purchase of the land
c)Calculate the ratio of the supposed original contribution to the new contribution
d)If the land was sub-divided equally , find the size of land each member got
Date posted:
October 7, 2019
.
Answers (1)
-
Samatha and Meshi entered into a business partnership in which they contributed Kshs. 120,000 and Kshs. 150,000 every year respectively. After one year Fuki ...
(Solved)
Samatha and Meshi entered into a business partnership in which they contributed Kshs. 120,000 and Kshs. 150,000 every year respectively. After one year Fuki joined the business and contributed Kshs. 90,000
a)Calculate the ratio of their investment after 3 years of business
b)It was agreed that 30% of the profits after 3 years be used to cater for the cost of running the business, while the remaining would be shared proportionally. Calculate each persons share if the profit made after three years was Kshs, 187,000.
c)If each of them invested their shares in the business, find their new individual investments at the beginning of the fourth year.
Date posted:
October 7, 2019
.
Answers (1)
-
Simplify the expression
(Solved)
Simplify the expression

Date posted:
October 7, 2019
.
Answers (1)
-
Mrs. Wekesa paid Kshs. 12500 for a wrist watch after the shopkeeper gave her a discount of 2%. If the shopkeeper made a profit of...
(Solved)
Mrs. Wekesa paid Kshs. 12500 for a wrist watch after the shopkeeper gave her a discount of 2%. If the shopkeeper made a profit of 20% calculate the price the shopkeeper bought from the manufacturer.
Date posted:
October 7, 2019
.
Answers (1)
-
Solve for x in
(4/9)x x (8)1-x = 486
(Solved)
Solve for x in
(4/9)x x (8)1-x = 486
Date posted:
October 7, 2019
.
Answers (1)
-
Use tables of reciprocals, squares and cube roots to evaluate the following
(Solved)
Use tables of reciprocals, squares and cube roots to evaluate the following

Date posted:
October 7, 2019
.
Answers (1)
-
Use the exchange rates below to answer this question
Buying selling
...
(Solved)
Use the exchange rates below to answer this question
Buying selling
1 US dollar 63.00 63.20
1 UK£ 125.30 125.95
A tourist arriving in Kenya from Britain had 9600 UK sterling pounds (£). He converted the pounds to Kenya shillings at a commission of 5%. While in Kenya he spent ¾ of this money. He changed the balance to US dollars after his stay. If he was not charged any commission for this last transaction, calculate to the nearest US dollars the amount he received.
Date posted:
October 7, 2019
.
Answers (1)
-
The scale of a map is given as 1:50,000
Find the actual area in hectares of a region represented by a triangle of sides 6cm by...
(Solved)
The scale of a map is given as 1:50,000
Find the actual area in hectares of a region represented by a triangle of sides 6cm by 7cm by 8cm (give your answer to the nearest whole number).
Date posted:
October 7, 2019
.
Answers (1)
-
3 pens and 5 exercise books cost Shs. 111. 4 pens and 3 exercise books cost Kshs 18 less.
Determine the cost of each item
(Solved)
3 pens and 5 exercise books cost Shs. 111. 4 pens and 3 exercise books cost Kshs 18 less.
Determine the cost of each item
Date posted:
October 7, 2019
.
Answers (1)
-
The interior angles of hexagon are (4x -5 )0, (4x + 5)0, 3x0, (4x +26)0, 2x0 and (2x + 5)0
Find the value of x
(Solved)
The interior angles of hexagon are (4x -5 )0, (4x + 5)0, 3x0, (4x +26)0, 2x0 and (2x + 5)0
Find the value of x
Date posted:
October 7, 2019
.
Answers (1)
-
Evaluate 5 ½ -1 1/7 (1 1/5 + 9/10 ) + 1/3 of(2/3 ÷5/6)
(Solved)
Evaluate 5 ½ -1 1/7 (1 1/5 + 9/10 ) + 1/3 of(2/3 ÷5/6)
Date posted:
October 7, 2019
.
Answers (1)
-
Simplify completely
(Solved)
Simplify completely

Date posted:
October 4, 2019
.
Answers (1)
-
Without using Logarithms tables or a calculator evaluate.
(Solved)
Without using Logarithms tables or a calculator evaluate.

Date posted:
October 4, 2019
.
Answers (1)
-
A frustrum whose vertical height is 4cm is formed by cutting the top of a cone parallel to the base if the two radii of...
(Solved)
A frustrum whose vertical height is 4cm is formed by cutting the top of a cone parallel to the base if the two radii of the frustrum are 6cm and 8cm respectively, determine the height of the original cone.
Date posted:
October 1, 2019
.
Answers (1)
-
In the figure below (not drawn to scale) has points P, Q, R and S on the circumference of the circle
centre O, such that PQ...
(Solved)
In the figure below (not drawn to scale) has points P, Q, R and S on the circumference of the circle
centre O, such that PQ is parallel to SR and angle SRQ = 125o

Determine the size of angle:-
a) QOS obtuse
b) QPS
c) SQR
Date posted:
October 1, 2019
.
Answers (1)