-
The first four terms of a GP are 81, m, n, 3. Find the values of m and n.
(Solved)
The first four terms of a GP are 81, m, n, 3. Find the values of m and n.
Date posted:
October 16, 2019
.
Answers (1)
-
Find the standard deviation of the given data.
(Solved)
Find the standard deviation of the given data.

Date posted:
October 16, 2019
.
Answers (1)
-
Evaluate
(Solved)
Evaluate 
Date posted:
October 16, 2019
.
Answers (1)
-
If a = 3 i + 2j + 5k and b = i – j – k find |2a - 3b|
(Solved)
If a = 3 i + 2j + 5k and b = i – j – k find |2a - 3b|
Date posted:
October 16, 2019
.
Answers (1)
-
Change the subject of f= to L
(Solved)
Change the subject of f=
to L
Date posted:
October 16, 2019
.
Answers (1)
-
Find the equation of a normal to the curve y = 2x2 – 4x + 2 at point (3, 1)
(Solved)
Find the equation of a normal to the curve y = 2x2 – 4x + 2 at point (3, 1)
Date posted:
October 16, 2019
.
Answers (1)
-
Find the value of x in log10 (2x - 1) + log10 3 – log10 (8x - 1)
(Solved)
Find the value of x in log10 (2x - 1) + log10 3 – log10 (8x - 1)
Date posted:
October 16, 2019
.
Answers (1)
-
Two fruit juices A and B are mixed together. Juice A costs sh. 50 per litre and Juice B cost sh. 80 per litre. Find...
(Solved)
Two fruit juices A and B are mixed together. Juice A costs sh. 50 per litre and Juice B cost sh. 80 per litre. Find the ratio of A and B in the mixture if the mixture costs sh. 59 per litre.
Date posted:
October 16, 2019
.
Answers (1)
-
Write the expression below in surd form and rationalize the denominator.
(Solved)
Write the expression below in surd form and rationalize the denominator.

Date posted:
October 16, 2019
.
Answers (1)
-
The displacement, S metres of a moving particle from point O, after t seconds is given by:
S = t3 – 5t2 + 3t + 10
a)Find...
(Solved)
The displacement, S metres of a moving particle from point O, after t seconds is given by:
S = t3 – 5t2 + 3t + 10
a)Find S when t = 2
b)Determine:
i)The velocity of the particle when t = 5sec
ii)The value of t when the particles is momentarily at rest
c)Find the time, when the velocity of the particle is maximum.
Date posted:
October 16, 2019
.
Answers (1)
-
A trader bought 2 cows and 9 goats for a total of ksh. 98,200. If she had bought 3 cows and 4 goats,
she would...
(Solved)
A trader bought 2 cows and 9 goats for a total of ksh. 98,200. If she had bought 3 cows and 4 goats,
she would have spent ksh. 2200 less
a)Form two equations to represent the above information.
b)Use matrix method to determine the cost of a cow and that of a goat.
c)The trader later sold the animals she had bought making a profit of 30% per cow and 40% per goat.
i)Calculate the total amount of money she received.
ii)Determine, correct to 4 significant figures the percentage profit the trader made from the sale of the animals.
Date posted:
October 16, 2019
.
Answers (1)
-
A motorist left Embu for Nairobi, a distance of 240km, at 8.00a.m and travelled at an average speed of 90km/h. Another motorist left Nairobi for...
(Solved)
A motorist left Embu for Nairobi, a distance of 240km, at 8.00a.m and travelled at an average speed of 90km/h. Another motorist left Nairobi for Embu at 8.30a.m and travelled at 100km/h. Find:
a)The time they met.
b)How far they met from Nairobi.
Date posted:
October 16, 2019
.
Answers (1)
-
The figure below represents a cone of height 12cm and base radius of 9cm from which a similar smaller cone is removed, leaving a conical...
(Solved)
The figure below represents a cone of height 12cm and base radius of 9cm from which a similar smaller cone is removed, leaving a conical hole of height 4cm.

a)Calculate:
i) The base radius of conical hole.
ii)The volume, in terms of π of the smaller cone that was removed.
b)i) Determine, slant height of the original cone
ii)Calculate, in terms of π the surface area of the remaining solid after the smaller cone is removed.
Date posted:
October 16, 2019
.
Answers (1)
-
Without using a calculator, evaluate, giving your answer as a fraction in its simplest form
(Solved)
Without using a calculator, evaluate, giving your answer as a fraction in its simplest form

Date posted:
October 16, 2019
.
Answers (1)
-
In the figure below, the tangent ST meets chord VU produced at T. Chord SW passes through the centre O, of the circle and intersects...
(Solved)
In the figure below, the tangent ST meets chord VU produced at T. Chord SW passes through the centre O, of the circle and intersects chord VU at X. Line ST = 12cm and UT = 8cm.

a)Calculate the length of chord VU.
b)If WX = 3cm and VX : XU = 2 : 3, find SX.
Date posted:
October 16, 2019
.
Answers (1)
-
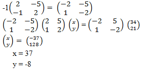
Triangle A1B1C1 is the image of triangle ABC under the transformation represented by the matrix If the area of triangle A1B1C1 is 140cm2, find...
(Solved)
Triangle A1B1C1 is the image of triangle ABC under the transformation represented by the matrix
If the area of triangle A1B1C1 is 140cm2, find the area of triangle ABC.
Date posted:
October 16, 2019
.
Answers (1)
-
Simplify the expression:
(Solved)
Simplify the expression:

Date posted:
October 16, 2019
.
Answers (1)
-
Use logarithms, correct to 4 decimal places to evaluate.
(Solved)
Use logarithms, correct to 4 decimal places to evaluate.

Date posted:
October 16, 2019
.
Answers (1)
-
A spherical ball is 15cm in diameter. What is its surface area?
(Solved)
A spherical ball is 15cm in diameter. What is its surface area?
Date posted:
October 16, 2019
.
Answers (1)
-
Evaluate without using tables or a calculator;
(Solved)
Evaluate without using tables or a calculator;

Date posted:
October 16, 2019
.
Answers (1)