-
A house is to be sold either on a cash basis or through a loan. The cash price is Kshs. 750,000. The loan conditions are...
(Solved)
A house is to be sold either on a cash basis or through a loan. The cash price is Kshs. 750,000. The loan conditions are as follows: there is to be a down payment of 10% of the cash price and the rest of the money to be paid through a loan of 10% per annum compound interest.
A customer decided to buy the house through a loan.
a) i) Calculate the amount of money loaned to the customer.
ii) The customer paid the loan in 3 years.
Calculate the total amount paid for the house.
b) Find how long the customer would have taken to fully pay for the house if she paid a total of Kshs 891,750.
Date posted:
November 5, 2019
.
Answers (1)
-
A cylindrical water tank is of diameter 7 metres and height 2.8 metres.
a) Find the capacity of the water tank in litres.
b) Six members...
(Solved)
A cylindrical water tank is of diameter 7 metres and height 2.8 metres.
a) Find the capacity of the water tank in litres.
b) Six members of a family use 15 litres each per day. Each day 80 litres are used for cooking and washing and a further 60 litres are wasted.
Find the number of complete days a full tank of water would last the family.
c) members of the family were absent for 90 days. During the 90 days, wastage was reduced by 20% but cooking and washing remained the same. Calculate the number of days a full tank would now last the family.
Date posted:
November 5, 2019
.
Answers (1)
-
Divide line AB such that AP = 2/5 AB
(Solved)
Divide line AB such that AP = 2/5 AB

Date posted:
November 5, 2019
.
Answers (1)
-
Use the matrix method to find the co-ordinates of the points of intersection of the line
3x - 4y = 1 and y + 7x =...
(Solved)
Use the matrix method to find the co-ordinates of the points of intersection of the line
3x - 4y = 1 and y + 7x = 23
Date posted:
November 5, 2019
.
Answers (1)
-
In the figure below the lines AB and CD are parallel. AD and CB intersect at X. AB = 6cm, CD = 9cm and DX...
(Solved)
In the figure below the lines AB and CD are parallel. AD and CB intersect at X. AB = 6cm, CD = 9cm and DX = 3 cm.

a) Calculate the length of AX.
b) The area of ΔABX is 6cm2. Calculate the area of ΔCXD.
Date posted:
November 5, 2019
.
Answers (1)
-
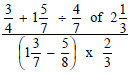
Without using a calculator evaluate
(Solved)
Without using a calculator evaluate

Date posted:
November 5, 2019
.
Answers (1)
-
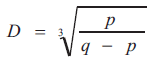
Find the value of
(Solved)
Find the value of

Date posted:
November 5, 2019
.
Answers (1)
-
Simplify the expression
(Solved)
Simplify the expression

Date posted:
November 5, 2019
.
Answers (1)
-
Given Sin (90 – a) = 1/2 , find without using tables or calculators the value of Cos a.
(Solved)
Given Sin (90 – a) = 1/2 , find without using tables or calculators the value of Cos a.
Date posted:
November 5, 2019
.
Answers (1)
-
Solve the equation below.
(Solved)
Solve the equation below.

Date posted:
November 5, 2019
.
Answers (1)
-
Use logarithms to evaluate
(Solved)
Use logarithms to evaluate

Date posted:
November 5, 2019
.
Answers (1)
-
The sketch below represents the curve y=x2+5 and a straight line PQ which meets the x-axis andy-axis at the points (-4, 0) and (0, 8)...
(Solved)
The sketch below represents the curve y=x2+5 and a straight line PQ which meets the x-axis and
y-axis at the points (-4, 0) and (0, 8) respectively. The line intersects the curve at point P and Q as
shown.

a) Find the equation of the line in the form y = mx + c
b) Determine the co-ordinates of P and Q
c) Calculate the area of the shaded region
Date posted:
November 2, 2019
.
Answers (1)
-
A quantity A varies jointly as the cube of y and inversely as the square root of x. If A = 7 when
y=2 and x=25,
(a)...
(Solved)
A quantity A varies jointly as the cube of y and inversely as the square root of x. If A = 7 when
y=2 and x=25,
(a) Write an equation convecting A, x and y
(b) Find the value of y to three significant figures, when A=12 and x=36
(c) Find the percentage change in A when y is decreased by 11% and x is increased by 21%.
Date posted:
November 2, 2019
.
Answers (1)
-
The first three terms of a G.P. are the first, fourth and tenth terms of an A.P. Given that the first
term is 6 and that...
(Solved)
The first three terms of a G.P. are the first, fourth and tenth terms of an A.P. Given that the first
term is 6 and that all the terms of the G.P. are different, find the common ratio.
Date posted:
November 2, 2019
.
Answers (1)
-
Solve for x given logx3 + log3X = 2.
(Solved)
Solve for x given logx3 + log3X = 2.
Date posted:
November 2, 2019
.
Answers (1)
-
y varies partly as the square root of x and partly varies inversely as the cube of x.
When y=2, x=4 and when y=3, x=1. Express...
(Solved)
y varies partly as the square root of x and partly varies inversely as the cube of x.
When y=2, x=4 and when y=3, x=1. Express y in terms of x.
Date posted:
November 2, 2019
.
Answers (1)
-
A point T divides line AB externally in the ratio 8:2. Given that the position vectors of A and B are 3i - 4l +...
(Solved)
A point T divides line AB externally in the ratio 8:2. Given that the position vectors of A and B are 3i - 4l + k and -1 +j -3k respectively. Find the position vector of T in unit vector form.
Date posted:
November 2, 2019
.
Answers (1)
-
Solve for x given that 2 sin x = tax x for 00 = x = 3600
(Solved)
Solve for x given that 2 sin x = tax x for 00 ≤ x ≤ 3600
Date posted:
November 2, 2019
.
Answers (1)
-
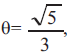
Given sin find cos (90 - theta) without using mathematical tables or calculators.
(Solved)
Given sin
find cos (90 - theta) without using mathematical tables or calculators.
Date posted:
November 2, 2019
.
Answers (1)
-
Make P the subject of the formula
(Solved)
Make P the subject of the formula

Date posted:
November 2, 2019
.
Answers (1)