-
In the diagram below, the position vector of points A and B with respect to point O are respectively.
Given that B is a point...
(Solved)
In the diagram below, the position vector of points A and B with respect to point O are
respectively.

Given that B is a point on AC such that AB = ½ BC. Use vector method to determine the coordinates of C.
Date posted:
November 13, 2019
.
Answers (1)
-
Wanyama on arrival in Kenya to play for Harambee Stars against Uganda Cranes converted 6000 Euros into Kenyan Shillings. During his stay in Kenya he...
(Solved)
Wanyama on arrival in Kenya to play for Harambee Stars against Uganda Cranes converted 6000 Euros into Kenyan Shillings. During his stay in Kenya he spent Kshs. 260,000 and converted the remaining amount into US Dollars before travelling back to England. Using the exchange rates below, find how many US Dollars he got?
Currency Buying Selling
(Kshs.) (Kshs.)
1 US Dollar 96.20 96.90
1 Euro 112.32 112.83
Date posted:
November 13, 2019
.
Answers (1)
-
The sum of four consecutive odd integers is greater than 24. Determine the first four such integers.
(Solved)
The sum of four consecutive odd integers is greater than 24. Determine the first four such integers.
Date posted:
November 13, 2019
.
Answers (1)
-
Wafula uses 1/6 of his land for planting maize, 1/12 for beans and 4/9 of the remainder for grazing.
He still has 10 hectares of unused...
(Solved)
Wafula uses 1/6 of his land for planting maize, 1/12 for beans and 4/9 of the remainder for grazing.
He still has 10 hectares of unused land. Find the size of Wafula’s land.
Date posted:
November 13, 2019
.
Answers (1)
-
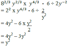
Without using a calculator evaluate:-
(Solved)
Without using a calculator evaluate:-

Date posted:
November 13, 2019
.
Answers (1)
-
A Japanese tourist visiting Kenya changed 1,305,000 Yen into Kenya shillings. While in Kenya he spent Ksh. 460,000 and converted the rest to sterling pounds...
(Solved)
A Japanese tourist visiting Kenya changed 1,305,000 Yen into Kenya shillings. While in Kenya he spent Ksh. 460,000 and converted the rest to sterling pounds as he headed back to the U.K. Calculate the amount he got to the nearest pound if the bank buys and sells currency as shown below.
Buying (Ksh) Selling (Ksh)
100 Yen 65 66
1 sterling pound 126 127
Date posted:
November 13, 2019
.
Answers (1)
-
A solid is made up of a hemisphere mounted on a cone. The radius of the cone and the radius of the hemisphere are each...
(Solved)
A solid is made up of a hemisphere mounted on a cone. The radius of the cone and the radius of the hemisphere are each 7cm and the vertical height of the cone is 13cm. Calculate the total surface area of the solid correct to two decimal places.
Date posted:
November 13, 2019
.
Answers (1)
-
Find the value of x in the equation
36x+1 + 62x = 222
(Solved)
Find the value of x in the equation
36x+1 + 62x = 222
Date posted:
November 13, 2019
.
Answers (1)
-
The first three terms of a sequence are given a 10, 14 and 18. Find the sum of the first 18 terms of the sequence.
(Solved)
The first three terms of a sequence are given a 10, 14 and 18. Find the sum of the first 18 terms of the sequence.
Date posted:
November 13, 2019
.
Answers (1)
-
Without using a calculator evaluate.
(Solved)
Without using a calculator evaluate.

Date posted:
November 13, 2019
.
Answers (1)
-
The table below shows the income tax ratesJuma is a salaried employee who is given an automatic house allowance of sh. 8000 monthly. He also gets...
(Solved)
The table below shows the income tax rates

Juma is a salaried employee who is given an automatic house allowance of sh. 8000 monthly. He also gets a single relief of Ksh1320. If his P.A.Y.E is Ksh 5420 a month,
(a) Find his total tax in shillings per annum
(b) How much does he earn per month?
Date posted:
November 12, 2019
.
Answers (1)
-
The table below gives the marks obtained in a mathematics test by 47 students.
(a) State the modal class
(b) Draw a cumulative frequency curve to...
(Solved)
The table below gives the marks obtained in a mathematics test by 47 students.

(a) State the modal class
(b) Draw a cumulative frequency curve to represent the above data.
(c) Use your graph to estimate
(i) Median
(ii) Lower quartile
(iii) Upper quartile
(d) Calculate the quartile deviation
Date posted:
November 12, 2019
.
Answers (1)
-
(a) Using trapezoidal rule estimate the area bounded by the curve y=3x2 - 2 and the lines x=-4 ,x=4 and x-axis.
(b) find the actual area...
(Solved)
(a) Using trapezoidal rule estimate the area bounded by the curve y=3x2 − 2 and the lines x=−4 ,x=4 and x−axis.
(b) find the actual area bounded by the curve y=3x2 − 2 and the lines x=−4 ,x=4 and x−axis.
(c) Calculate the percentage error when trapezoidal rule is used.
Date posted:
November 12, 2019
.
Answers (1)
-
The probability that a boy goes to school by bus is 1/3 and by matatu is ½. If he uses a bus the probability that...
(Solved)
The probability that a boy goes to school by bus is 1/3 and by matatu is ½. If he uses a bus the probability that he is late to school is 1/5 and if he uses a matatu the probability of being late is 3/10. If he uses other means of transport, the probability of being late is 1/20. What is he probability that;
(a) He will be late to school
(b) He will not be late to school
(c) He will be late to school if he does not use a matatu
(d) He neither uses a bus nor matatu but arrives to school early.
Date posted:
November 12, 2019
.
Answers (1)
-
The first term of A.P is 3.5, the common difference is d if the difference of 20th and 6th terms is 40.
(a) (i)find the common...
(Solved)
The first term of A.P is 3.5, the common difference is d if the difference of 20th and 6th terms is 40.
(a) (i)find the common difference, d
(ii) calculate the sum of the first 40 terms of the AP
(b) The progression is such that the 2nd , 14th and 85th terms of the AP forms the first 3 terms of a G.P. If the common difference of A.P is 2.5
Find
(i) 2nd term of the G.P
(ii) Sum of the two 10 terms of G.P
Date posted:
November 12, 2019
.
Answers (1)
-
An aeroplane that moves at a constant speed of 600 knots flies from town A (140N, 300W) southwards to town B (X0S, 300W) taking 3...
(Solved)
An aeroplane that moves at a constant speed of 600 knots flies from town A (140N, 300W) southwards to town B (X0S, 300W) taking 3 1/2 hrs. It then changes direction and flies along latitude to town C (X0S, 600E). Given π = 3.142 and radius of the earth R= 6370 km
(a) Calculate
(i) The value of X
(ii) The distance between town B and town C along the parallel of latitude in km.
(b) D is an airport situated at (50N, 1200W), calculate
(i) The time the aeroplane would take to fly from C to D following a great circle through the South Pole.
(ii) The local time at D when the local time at A is 12.20 pm
Date posted:
November 12, 2019
.
Answers (1)
-
The figure below shows a frustum of a square based pyramid (not drawn to scale). The base ABCD is a square of sides 10cm. The...
(Solved)
The figure below shows a frustum of a square based pyramid (not drawn to scale). The base ABCD is a square of sides 10cm. The top A’B’C’D’ is a square of side 4 cm and each slant edges of the frustum is 5cm long. Calculate the angle between AC’ and the line AC.

Date posted:
November 12, 2019
.
Answers (1)
-
Draw a line DF = 4.6cm.Construct the locus of point K above DF such that angle DKF = 700.
(Solved)
Draw a line DF = 4.6cm.Construct the locus of point K above DF such that angle DKF = 700.
Date posted:
November 12, 2019
.
Answers (1)
-
Triangle ABC has vertices A(1,0), B(4,0) and C(1,4) is mapped onto A’B’C’ under a shear matrix, x axis invariant and C(1,4) is mapped onto C’(7,4)....
(Solved)
Triangle ABC has vertices A(1,0), B(4,0) and C(1,4) is mapped onto A’B’C’ under a shear matrix, x axis invariant and C(1,4) is mapped onto C’(7,4). Find the shear matrix hence find the coordinates of the image of P(2,-3) and Q(-2,-3).
Date posted:
November 12, 2019
.
Answers (1)
-
Calculate all the values of x between -180° and +180° which satisfy the equation 6 cos (x - 30)° = -3.
(Solved)
Calculate all the values of x between -180° and +180° which satisfy the equation 6 cos (x − 30)° = −3.
Date posted:
November 12, 2019
.
Answers (1)