-
Make r the subject of the formula
(Solved)
Make r the subject of the formula

Date posted:
November 15, 2019
.
Answers (1)
-
The length and breadth of a rectangular flower garden were measured and found to be 4.1m and 2.2m respectively. Find the percentage error in its...
(Solved)
The length and breadth of a rectangular flower garden were measured and found to be 4.1m and 2.2m respectively. Find the percentage error in its area.
Date posted:
November 15, 2019
.
Answers (1)
-
Simplify
(Solved)
Simplify

Date posted:
November 15, 2019
.
Answers (1)
-
Find a quadratic equation where roots are 1.5 + v2 and 1.5 - v2, expressing it in the form ax2 + bx + c =...
(Solved)
Find a quadratic equation where roots are 1.5 + √2 and 1.5 - √2, expressing it in the form ax2 + bx + c = 0, where a, b and c are integers.
Date posted:
November 15, 2019
.
Answers (1)
-
a) A straight line L1 whose equation is 3y – 2x = -2 meets the x –axis at R. Determine the coordinates of R
b)...
(Solved)
a) A straight line L1 whose equation is 3y – 2x = -2 meets the x –axis at R. Determine the coordinates of R
b) A second line L2 is perpendicular to L1 at R. Find the equation of L2 in the form y = mx + c, where m and c are constants
c) A third line L3 passes through (-4, 1) and is parallel to L1, find
i) The equation of L3 in the form y=mx+c, where m and c are constants
iii) The coordinates of point S at which L3 intersects L2
Date posted:
November 15, 2019
.
Answers (1)
-
Complete the table below for the function Y = 2x3 + 5x2 – x– 6.
(Solved)
Complete the table below for the function Y = 2x3 + 5x2 – x– 6.

Date posted:
November 15, 2019
.
Answers (1)
-
The frequency table below shows the daily wages paid to casual workers by a certain company.
a) Draw a histogram to represent the above information above...
(Solved)
The frequency table below shows the daily wages paid to casual workers by a certain company.

a) Draw a histogram to represent the above information above
b) i) State the class in which the median wage lies
ii) Draw a vertical line in the diagram showing where the median wage lies
c) Using the histogram, determine the number of workers who earn sh. 450 or less per day.
Date posted:
November 15, 2019
.
Answers (1)
-
In the triangle ABC below AB = 3b and AC = 2c. BX = 4/13c - 30/13b. Point M divides BC in the ratio 2:3....
(Solved)
In the triangle ABC below AB = 3b and AC = 2c. BX = 4/13c - 30/13b. Point M divides BC in the ratio 2:3. Lines BX has been protected to meet AC at point N,

a)Find the following vector in terms of b and c
i) AX (
ii) AM
b) Prove that points A, X and M are collinear and state the ratio in which X divides AM
c) Given that BX:XN = 10:3, find the ratio in which N divides AC
Date posted:
November 15, 2019
.
Answers (1)
-
In a triangle ABC, BC=8cm, AC=12cm and angle ABC=120°
a) Calculate the length of AB, correct to one decimal place
b) If BC is the base...
(Solved)
In a triangle ABC, BC=8cm, AC=12cm and angle ABC=120°
a) Calculate the length of AB, correct to one decimal place
b) If BC is the base of the triangle, calculate correct to one decimal place
i. The perpendicular height of the triangle
ii. The area of the triangle
iii. The size of angle ACB
Date posted:
November 15, 2019
.
Answers (1)
-
Solve the following simultaneous equations
X2 + y2 = 16
Y – 2X = 1
(Solved)
Solve the following simultaneous equations
X2 + y2 = 16
Y – 2X = 1
Date posted:
November 15, 2019
.
Answers (1)
-
A straight line passes through the point (-3, -4) and is perpendicular to the line where equation is 3x + 2y = 11 and intersects...
(Solved)
A straight line passes through the point (-3, -4) and is perpendicular to the line where equation is 3x + 2y = 11 and intersects the x-axis and y-axis at points A and B respectively. Find the length AB.
Date posted:
November 15, 2019
.
Answers (1)
-
Expand and simplify the expression (2x2 – 3y3)2 + 12x2y3.
(Solved)
Expand and simplify the expression (2x2 – 3y3)2 + 12x2y3.
Date posted:
November 15, 2019
.
Answers (1)
-
Given that Cos(x -20)° = Sin(2x + 32)° and x is an acute angle, find Tan (x – 4)°.
(Solved)
Given that Cos(x -20)° = Sin(2x + 32)° and x is an acute angle, find Tan (x – 4)°.
Date posted:
November 15, 2019
.
Answers (1)
-
Write down four inequalities which fully describe the un-shaded region R in the figure S below.
(Solved)
Write down four inequalities which fully describe the un-shaded region R in the figure S below.

Date posted:
November 15, 2019
.
Answers (1)
-
Given that Log a = 0.30 and Log b = 0.48: find the value of Log b2/a.
(Solved)
Given that Log a = 0.30 and Log b = 0.48: find the value of Log b2/a.
Date posted:
November 15, 2019
.
Answers (1)
-
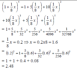
Evaluate using square, cubes and reciprocal tables.
(Solved)
Evaluate using square, cubes and reciprocal tables.

Date posted:
November 15, 2019
.
Answers (1)
-
Given that and that x is an integer, find the sum of the smallest and the largest values of x.
(Solved)
Given that
and that x is an integer, find the sum of the smallest and the largest values of x.
Date posted:
November 15, 2019
.
Answers (1)
-
Simplify
(Solved)
Simplify 
Date posted:
November 15, 2019
.
Answers (1)
-
Without using a calculator, evaluate.
(Solved)
Without using a calculator, evaluate.

Date posted:
November 15, 2019
.
Answers (1)
-
The acceleration of a body moving along a straight line is (2t – 1)m/s2 and its velocity is vm/s after t seconds.
(i) If the initial...
(Solved)
The acceleration of a body moving along a straight line is (2t – 1)m/s2 and its velocity is vm/s after t seconds.
(i) If the initial velocity of the body is 4m/s , express v in terms of t .
(ii) Find the velocity of the body after 4 seconds
(iii) Calculate the time taken to attain the maximum velocity.
(iv) The distance covered by the body to attain maximum velocity.
Date posted:
November 15, 2019
.
Answers (1)