-
The mean of the numbers m, 8m + 1, 17 and 20 is 14. Calculate the value of m.
(Solved)
The mean of the numbers m, 8m + 1, 17 and 20 is 14. Calculate the value of m.
Date posted:
November 18, 2019
.
Answers (1)
-
Given that 35x -2y=243 and 32x-y=3, calculate the values of x and y.
(Solved)
Given that 35x −2y=243 and 32x−y=3, calculate the values of x and y.
Date posted:
November 18, 2019
.
Answers (1)
-
Three automatic electric bells A B and C ring at intervals of 20 minutes, 30 minutes and 50 minutes respectively. If the bells ring together...
(Solved)
Three automatic electric bells A B and C ring at intervals of 20 minutes, 30 minutes and 50 minutes respectively. If the bells ring together at 8.20 am, at what time will they ring simultaneously again for the first time .
Date posted:
November 18, 2019
.
Answers (1)
-
Use logarithm table to evaluate
(Solved)
Use logarithm table to evaluate

Date posted:
November 18, 2019
.
Answers (1)
-
The table below shows the marks scored by forty form 4 students in a mathematics class
a) Using an assumed mean score of 55, calculate the...
(Solved)
The table below shows the marks scored by forty form 4 students in a mathematics class

a) Using an assumed mean score of 55, calculate the mean of the data
b) Calculate the lower quartile
c) On the grid provided, draw the cumulative frequency curve to represent the above distribution
d) From the graph estimate
i) The 5th decile
ii) Range of marks of the middle 80% of the students
Date posted:
November 15, 2019
.
Answers (1)
-
The figure below is a cuboid in which PQ = 8cm, QR =12cm and CR = 4cm. M and N are midpoints of QR and...
(Solved)
The figure below is a cuboid in which PQ = 8cm, QR =12cm and CR = 4cm. M and N are midpoints of QR and AD respectively

a) Find the length of
i) SM
ii) CM
b) Calculate the angle the line:
i) DM makes with the plane PQRS
ii) DM makes with the plane BQRC
iii) Angle ABM
Date posted:
November 15, 2019
.
Answers (1)
-
The income tax rates in a certain year are as shown below.
Omar pays sh. 4000 as PAYE per month. He has a monthly house allowance...
(Solved)
The income tax rates in a certain year are as shown below.

Omar pays sh. 4000 as PAYE per month. He has a monthly house allowance of Ksh. 10800 and is entitled to a personal relief of Ksh. 1200 per month. Determine
i) His gross tax per annum in Ksh.
ii) His taxable income in K£ per annum
iii) His basic salary in Ksh. Per month
iv) His net salary per month
Date posted:
November 15, 2019
.
Answers (1)
-
Draw a line AB=4cm, P is a variable point in the plane of the paper, above AB, such that angle APB=60° and the area of...
(Solved)
Draw a line AB=4cm, P is a variable point in the plane of the paper, above AB, such that angle APB=60° and the area of triangle APB = 6cm2. Using a ruler and a pair of compasses only find the locus of P.
Date posted:
November 15, 2019
.
Answers (1)
-
Solve for x in the equation
2Sin2x-1= Cos2x+ Sin x where 00= x = 3600.
(Solved)
Solve for x in the equation
2Sin2x-1= Cos2x+ Sin x where 00≤ x ≤ 3600.
Date posted:
November 15, 2019
.
Answers (1)
-
The coordinate of the end point of the diameter of a circle are A(3, -2) and B(5, 1). Find the equation of a circle in...
(Solved)
The coordinate of the end point of the diameter of a circle are A(3, -2) and B(5, 1). Find the equation of a circle in the form ax2 + by2+ cx + dy + e = 0
Date posted:
November 15, 2019
.
Answers (1)
-
Solve for x
(Log3x)2- 1/2Log3x=3/2.
(Solved)
Solve for x
(Log3x)2- 1/2Log3x=3/2.
Date posted:
November 15, 2019
.
Answers (1)
-
Two places R and T are on the same circle of latitude North of the equator. The longitude of R is 118°W and longitude of...
(Solved)
Two places R and T are on the same circle of latitude North of the equator. The longitude of R is 118°W and longitude of T is 133°E. The shortest distance between R and T measured along the circle of latitude is 5422 nautical miles. Find to the nearest degree the latitude on which R and T lie.
Date posted:
November 15, 2019
.
Answers (1)
-
The length and breadth of a rectangular flower garden were measured and found to be 4.1m and 2.2m respectively. Find the percentage error in its...
(Solved)
The length and breadth of a rectangular flower garden were measured and found to be 4.1m and 2.2m respectively. Find the percentage error in its area.
Date posted:
November 15, 2019
.
Answers (1)
-
Find a quadratic equation where roots are 1.5 + v2 and 1.5 - v2, expressing it in the form ax2 + bx + c =...
(Solved)
Find a quadratic equation where roots are 1.5 + √2 and 1.5 - √2, expressing it in the form ax2 + bx + c = 0, where a, b and c are integers.
Date posted:
November 15, 2019
.
Answers (1)
-
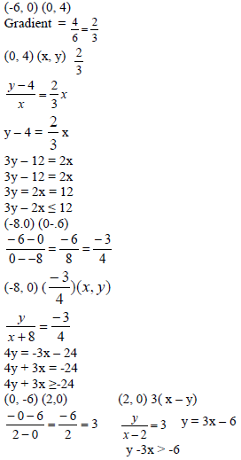
a) A straight line L1 whose equation is 3y – 2x = -2 meets the x –axis at R. Determine the coordinates of R
b)...
(Solved)
a) A straight line L1 whose equation is 3y – 2x = -2 meets the x –axis at R. Determine the coordinates of R
b) A second line L2 is perpendicular to L1 at R. Find the equation of L2 in the form y = mx + c, where m and c are constants
c) A third line L3 passes through (-4, 1) and is parallel to L1, find
i) The equation of L3 in the form y=mx+c, where m and c are constants
iii) The coordinates of point S at which L3 intersects L2
Date posted:
November 15, 2019
.
Answers (1)
-
Complete the table below for the function Y = 2x3 + 5x2 – x– 6.
(Solved)
Complete the table below for the function Y = 2x3 + 5x2 – x– 6.

Date posted:
November 15, 2019
.
Answers (1)
-
The frequency table below shows the daily wages paid to casual workers by a certain company.
a) Draw a histogram to represent the above information above...
(Solved)
The frequency table below shows the daily wages paid to casual workers by a certain company.

a) Draw a histogram to represent the above information above
b) i) State the class in which the median wage lies
ii) Draw a vertical line in the diagram showing where the median wage lies
c) Using the histogram, determine the number of workers who earn sh. 450 or less per day.
Date posted:
November 15, 2019
.
Answers (1)
-
In a triangle ABC, BC=8cm, AC=12cm and angle ABC=120°
a) Calculate the length of AB, correct to one decimal place
b) If BC is the base...
(Solved)
In a triangle ABC, BC=8cm, AC=12cm and angle ABC=120°
a) Calculate the length of AB, correct to one decimal place
b) If BC is the base of the triangle, calculate correct to one decimal place
i. The perpendicular height of the triangle
ii. The area of the triangle
iii. The size of angle ACB
Date posted:
November 15, 2019
.
Answers (1)
-
A straight line passes through the point (-3, -4) and is perpendicular to the line where equation is 3x + 2y = 11 and intersects...
(Solved)
A straight line passes through the point (-3, -4) and is perpendicular to the line where equation is 3x + 2y = 11 and intersects the x-axis and y-axis at points A and B respectively. Find the length AB.
Date posted:
November 15, 2019
.
Answers (1)
-
Expand and simplify the expression (2x2 – 3y3)2 + 12x2y3.
(Solved)
Expand and simplify the expression (2x2 – 3y3)2 + 12x2y3.
Date posted:
November 15, 2019
.
Answers (1)