Edit Title
Institution: Secondary
Course: Computer Studies
Content Category: Form 3 Holiday Assignments
Posted By: kpl2024
Document Type: PDF
Number of Pages: 7
Price: KES 30
You’re viewing a preview. Buy now to unlock the full document and download instantly after M-PESA payment.
This is the end of this document preview. Buy to download the complete document.
Download Form 3 Agriculture December Holiday Assignment 2022.
Price: KES : 50
Download Form 3 Biology December Holiday Assignment 2022.
Download Form 3 Business Studies December Holiday Assignment 2022.
Download Form 3 Chemistry December Holiday Assignment 2022.
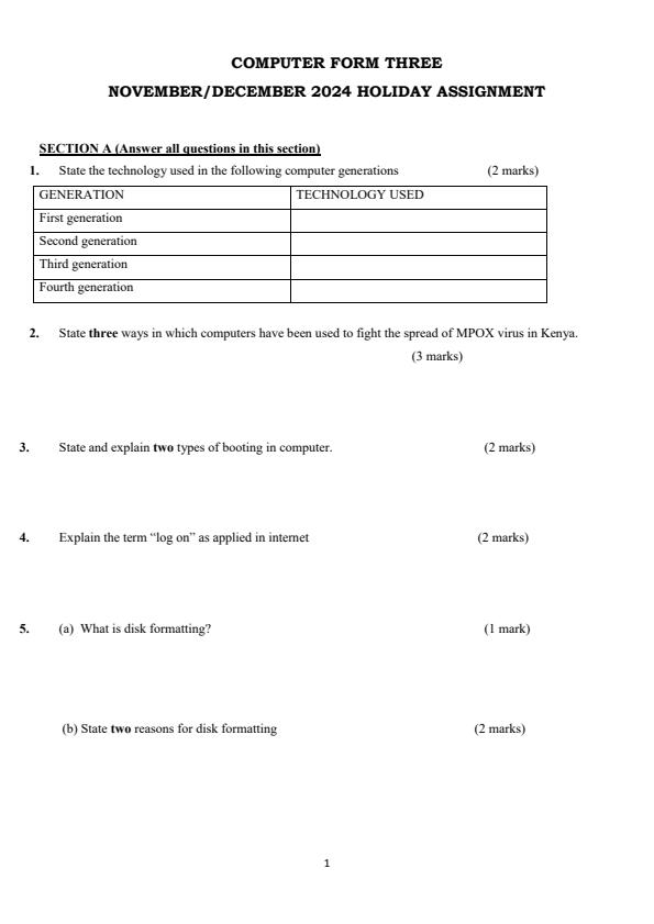
Download Form 3 Computer Studies December Holiday Assignment 2022.
Download Form 3 CRE December Holiday Assignment 2022.
Download Form 3 English December Holiday Assignment 2022.
Download Form 3 Geography December Holiday Assignment 2022
Download Form 3 History and Government December Holiday Assignment 2022
Download Form 3 Kiswahili December Holiday Assignment 2022.
Download Form 3 Mathematics December Holiday Assignment 2022.
Download Form 3 Physics December Holiday Assignment 2022.
Get ready for the Form 3 Agriculture December 2024 Holiday Assignment packed with engaging activities and challenges for students. Unlock a fun and educational experience to enhance your agricultural...
Price: KES : 30
Prepare for your Form 3 Biology December 2024 holiday assignment with our comprehensive resources. Enhance your understanding and excel in biology.
Get prepared for the Form 3 Business Studies December 2024 Holiday Assignment with valuable resources for students. Ensure success in your studies with our helpful guidance.
Prepare for the Form 3 Chemistry December 2024 Holiday Assignment with comprehensive materials. Ideal for students seeking guidance on the upcoming tasks.
Prepare for the Form 3 Computer Studies December 2024 Holiday Assignment. Access valuable resources for students. Get a head start on your studies today!
Get ready for the Form 3 CRE December 2024 Holiday Assignment with exclusive activities and resources catered to students during the break. Enhance your CRE skills and knowledge for the upcoming...
Prepare for the Form 3 English holiday assignment in December 2024, designed for students. Get ready to excel in your English studies with this engaging assignment.
Get ready for Form 3 Geography December 2024 Holiday Assignment. Laid out for students, this assignment promises a fun and engaging way to explore geographical concepts outside the classroom.
Prepare for your Form 3 History and Government December 2024 holiday assignment with helpful resources. Get ready to excel with comprehensive study materials tailored to enhance your learning...
Find your Form 3 Kiswahili December 2024 Holiday Assignment here! Get ready to excel in your Kiswahili studies during the holiday season with these engaging assignments tailored for students.
Get ready for the Form 3 Mathematics December 2024 Holiday Assignment with comprehensive resources and practice problems to help you excel in math this holiday season! Perfect for students looking to...
Get ahead with your Form 3 Physics December 2024 Holiday Assignment. Prepare for success with engaging physics exercises tailored for students. Elevate your physics skills this holiday season!
Prepare for your Form 3 Biology November/December 2025 Holiday Assignment with comprehensive resources and practice materials. Achieve success in your biology studies with expert guidance and...
Prepare for Form 3 Chemistry November/December 2025 holiday assignment with practical tips and guidance. Ideal for students seeking to excel in their Chemistry studies.
Get ready for the Form 3 Agriculture November/December 2025 Holiday Assignment. Enhance your agricultural knowledge during the break with this engaging assignment designed for students.
Get ready for the Form 3 Business Studies Holiday Assignment for November/December 2025. Engage students with this educational challenge that will test their knowledge and skills.
Get ready for the Form 3 Computer Studies November/December 2025 holiday assignment. Perfect for students looking to enhance their skills during the break.
Prepare for the Form 3 CRE November/December 2025 holiday assignment with this comprehensive guide. Get ready to excel in your CRE studies with valuable resources and practice materials.
Prepare for the Form 1 CRE December 2024 holiday assignment with engaging and practical content designed for students. Get ready for a productive holiday break!
Discover and download the Form 2 CRE December 2024 Holiday Assignment for students. Elevate your preparation with our comprehensive holiday resources.
Prepare for your Form 1 English December 2024 Holiday Assignment with ease. Access resources for students to excel in their English studies.
Get ready for the Form 2 English December 2024 Holiday Assignment focused on enhancing student skills. Perfect for students gearing up for a productive break.
Prepare for your Form 1 Geography December 2024 holiday assignment with our comprehensive resources. Gear up for a successful undertaking with our expert guidance tailored for students.
Get ready for the Form 2 Geography December 2024 holiday assignment! Prepare to dive into exciting geographical topics this holiday season. Perfect for students seeking educational enrichment during...
Get ready for the Form 1 History and Government December 2024 Holiday Assignment! Dive into an engaging educational journey tailored for students during the holiday break.
Get ready for the Form 2 History and Government December 2024 holiday assignment. Prepare for an engaging learning experience ahead with this insightful task.
Get ready for the Form 1 Kiswahili December 2024 Holiday Assignment. Access engaging tasks for students. Elevate your learning with these exciting activities.
Discover the Form 2 Kiswahili December 2024 Holiday Assignment for students. Get ready for a rewarding learning experience this holiday season.
Get ready for the Form 1 Mathematics December 2024 Holiday Assignment. Dive into engaging math activities for students to master key concepts and skills. Elevate your math skills this holiday season...
For students taking Form 2 Mathematics, here is the December 2024 Holiday Assignment to keep you engaged and challenged during the break. A great way to practice and enhance your math skills.
Prepare for your Form 1 Physics Holiday Assignment for December 2024 with this comprehensive guide. Get ready to excel in your upcoming tasks!
Get ready for the Form 2 Physics December 2024 Holiday Assignment. Engage with exciting physics concepts for students to excel during the holiday break.
Joseph
"Your work guys is good. I've recommended your website to many teachers so far."
Jared
"Thanks I will recommend you to parents for learning content."
Margaret
"Your schemes are very good and well planned am happy to be your customer."
Babyghurl
"Thanks so much for your kindness ...This is a great problem solving skill."
Jelva
"Thanks for great care. I shall remain to be member more to introduce my colleagues."
Njoroge
"You are doing a great job."
Happy Teacher
"Hello. We appreciate your effort in updating the website, it's very helpful to teachers."
Henry
"My issue has been solved and thanks for being honest, I will continue getting materials from your website, it has a lot more that I need. Be Blessed."
Robin
"Much appreciated.....your service is exemplary🙏🏽"
Milka
"Be blessed I will refer my friends. Good job."
Complete your purchase to download instantly after secure M-PESA payment. Delivered via Email/WhatsApp
Add more content to save time and check out once.