-
Form 3 Physics: Linear Motion Topical Questions and Answers
Form 3 Physics
Topic 1
Linear Motion Topical Questions and Answers
SUBJECT: PHYSICS.
TOPICAL QUESTIONS AND ANSWERS.
CLASS: FORM 3
TOPIC 1: LINEAR MOTION.
1. Sketch a graph of velocity (V)...
Price: KES : 50
-
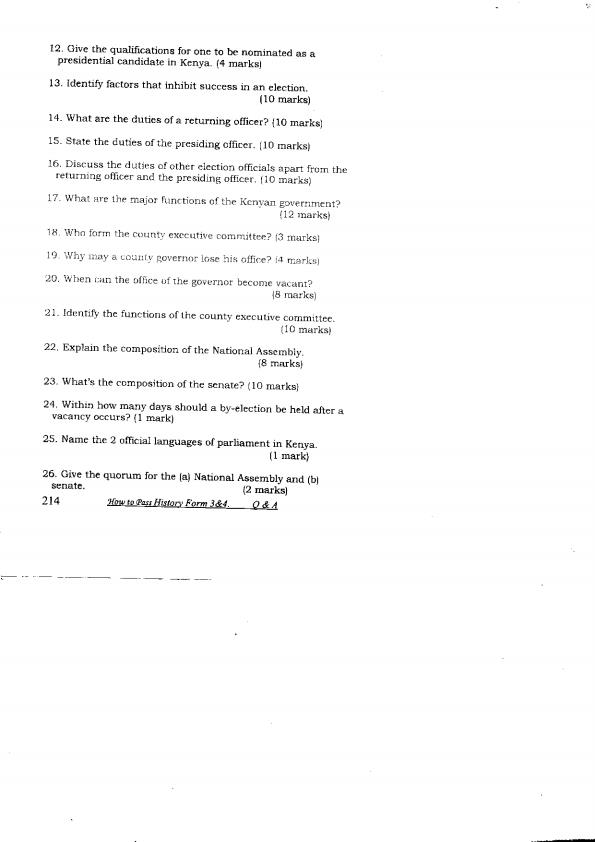
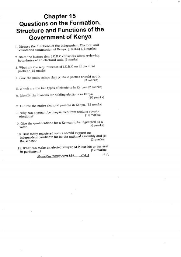
Form 3 formation, structure and functions of the government of Kenya topical questions and answers
Form 3 formation, structure and functions of the government of Kenya topical questions and answers.
Price: KES : 50
-
Action of Rivers Topical Questions and Answers: Form 3 Geography
Revise Form 3 Geograohy wih Action of Rivers topical questions and answers. The document is accessible instantly after purchase.
1. (a) Name two types of the coastal deltas
- Birds foot delta.
-...
Price: KES : 40
-
Action of Wind and Water on Arid Areas Topical Questions and Answers: Form 3 Geography
Explore how wind and water impact arid areas with these comprehensive Form 3 Geography topical questions and answers.
2. a) (i) Two process through which wind erodes the...
Price: KES : 30
-
Agriculture Topical Questions and Answers : Crop Farming and Livestock - Form 3 Geography
Get comprehensive answers to top questions on crop farming and livestock in agriculture written specifically for Form 3 Geography students.
1. a) State two climatic conditions that favour the...
Price: KES : 40
-
Form 3 Geography Topical Questions and Answers on Glaciation
Looking for Form 3 Geography Glaciation Topical Questions and Answers? Get instant access upon purchase via WhatsApp, email, or direct download.
1. (a) What is an ice sheet?
Is large continuous mass...
Price: KES : 40
-
Form 3 Geography Topical Questions and Answers on Lakes
Get instant access to Form 3 Geography Topical Questions and Answers focused on Lakes.
1. Give three processes that lead to formation of lakes.
- Erosion
- Volcanic
- Tectonic movement
-...
Price: KES : 0
-
Form 3 Geography Topical Questions and Answers on Soil
Get Form 3 Geography Soil Topical Questions and Answers. Instant delivery via WhatsApp, email, or direct download. Perfect for students studying Geography.
FORM 3 GEOGRAPHY TOPICAL QUESTIONS AND...
Price: KES : 30
-
The Hydrological Cycle Topical Questions and Answers: Form 3 Geography
Learn about the hydrological cycle with this comprehensive set of topical questions and answers for Form 3 Geography.
Price: KES : 30
-
Underground Water Topical Questions and Answers: Form 3 Geography
Get your Form 3 Geography Underground Water Topical Questions and Answers instantly upon purchase. Receive via WhatsApp, email, or direct download.
1. The diagram below show some features of a...
Price: KES : 30
-
African Response to European Colonization Topical Questions and Answers: Form 3
Explore on answers on African Response to European Colonization Topical Questions for Form 3 students.
1. State six causes of the Maji Maji uprising.
i) The use of Arabs and Waswahili as Jumbes...
Price: KES : 50
-
Colonial Administration Topical Questions and Answers: Form 3 History and Government
Get instant access to Colonial Administration Topical Questions and Answers for Form 3 History and Government. Ideal doe students and teachers.
1. a) Give 5 reasons why Britain used indirect rule...
Price: KES : 50
-
Establishment of Colonial Rule in Kenya Topical Questions and Answers: Form 3 History and Government
Learn about the establishment of colonial rule in Kenya with detailed topical questions and answers specifically designed for Form 3 History and Government students.
1. (a) Give three reasons why...
Price: KES : 50
-
Nationalism of Africa Topical Questions and Answers: Form 3 History and Government
Explore the topical questions and answers on African nationalism in Form 3 History and Government.
Price: KES : 0
-
Scramble and Partition of Africa Topical Questions and Answers: Form 3 History and Government
Explore the top questions and answers on the Scramble and Partition of Africa for Form 3 History and Government.
1. Give three reasons why the British were able to suppress the Ndembrlr uprising in...
Price: KES : 40
-
Form 3 History and Government: Use of Metals and Industrial Revolution Topical Questions and Answers
Enhance your understanding of Form 3 History and Government with topical questions and answers on the Use of Metals and Industrial Revolution.
1. a) State five uses of copper in pre - colonial...
Price: KES : 50
-
Data Processing Topical Questions and Answers: Form 3 Computer Studies
Get answers to Form 3 Computer Studies Data Processing questions instantly. Purchase now for instant delivery via WhatsApp, email, or direct download. Perfect for teachers and students alike.
2....
Price: KES : 40
-
Form 3 Computer Studies Topical Questions and Answers on Programming
Ace your Form 3 Computer Studies with our Topical Questions and Answers on Programming. Instant delivery via WhatsApp, email, or direct download. Ideal for students preparing for Form 3 exams.
Price: KES : 50
-
System Development Topical Questions and Answers: Form 3 Computer Studies
Find answers to topical questions on System Development for Form 3 Computer Studies. Get instant access via WhatsApp, email, or direct download.
1. What do you mean by a system? (2mks)
A system is...
Price: KES : 40
-
The Gifts of The Holy Spirit Topical Questions and Answers: Form 3 CRE
Discover answers to topical questions about the Gifts of The Holy Spirit in this Form 3 CRE resource. Instantly receive the document via WhatsApp, email, or direct download.
1. Write down five...
Price: KES : 40
-
Unity of Believers Topical Questions and Answers: Form 3 CRE
Explore comprehensive Topical Questions and Answers for Form 3 CRE on Unity of Believers. Instant delivery through WhatsApp, email, or direct download upon purchase.
1. (a) Identify activities...
Price: KES : 40