-
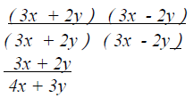
Simplify the expression given below
(Solved)
Simplify 
Date posted:
June 18, 2019
.
Answers (1)
-
Every time an insect jumps forward the distance covered is half of the previous jump.
If the insect initially jumped 8.4cm, calculate
(i) To the nearest two...
(Solved)
Every time an insect jumps forward the distance covered is half of the previous jump.
If the insect initially jumped 8.4cm, calculate
(i) To the nearest two decimal places distance of the sixth jump
(ii) The total distance covered after the sixth jump
Date posted:
June 18, 2019
.
Answers (1)
-
Factorize completely the expression
75x2 – 27y2
(Solved)
Factorize completely the expression
75x2 – 27y2
Date posted:
June 18, 2019
.
Answers (1)
-
A rectangular field measures 63.9m by 104.6metres find the minimum number of poles to be
erected for fencing if they are to be at most 2.4meters...
(Solved)
A rectangular field measures 63.9m by 104.6metres find the minimum number of poles to be
erected for fencing if they are to be at most 2.4meters apart.
Date posted:
June 18, 2019
.
Answers (1)
-
Simplify the following expression
(Solved)
Simplify:

Date posted:
June 18, 2019
.
Answers (1)
-
By calculation, find the coordinates of the intersection of the graphs y = x2 + 2x -5
and y = 3x +1
(Solved)
By calculation, find the coordinates of the intersection of the graphs y = x2 + 2x -5
and y = 3x +1
Date posted:
June 18, 2019
.
Answers (1)
-
Simplify as far as possible.
(Solved)
Simplify as far as possible.

Date posted:
June 18, 2019
.
Answers (1)
-
Simplify by factorizing completely:
(Solved)
Simplify by factorizing completely:

Date posted:
June 18, 2019
.
Answers (1)
-
Simplify the expression 2/3 (3x -2) – ¾ (2x -2)
(Solved)
Simplify the expression 2/3 (3x -2) – ¾ (2x -2)
Date posted:
June 18, 2019
.
Answers (1)
-
Simplify the expression.
(Solved)
Simplify the expression.

Date posted:
June 18, 2019
.
Answers (1)
-
Given that x + y = 8 and x2 + y2 = 24
Find;
(a) the value of x2 + 2xy + y2
(b) Find the value of...
(Solved)
Given that x + y = 8 and x2 + y2 = 24
Find;
(a) the value of x2 + 2xy + y2
(b) Find the value of ; 2xy
(c) x2 – 2xy + y2
(d) x – y
(e) Value of x and y
Date posted:
June 18, 2019
.
Answers (1)
-
Simplify
(Solved)
Simplify 
Date posted:
June 18, 2019
.
Answers (1)
-
Simplify the following
(Solved)
Simplify;

Date posted:
June 18, 2019
.
Answers (1)
-
Mutua bought 160 trays of 8 eggs each at shs.150 per tray. On transportation 12 eggs
broke. He later discovered that 20 eggs were rotten. If...
(Solved)
Mutua bought 160 trays of 8 eggs each at shs.150 per tray. On transportation 12 eggs
broke. He later discovered that 20 eggs were rotten. If he sold the rest at shs.180 per
tray, how much profit did he make?
Date posted:
June 18, 2019
.
Answers (1)
-
Five year ago, a mother’s age was four times that of her daughter. In four years to come,
she will be 2 ½ times the age...
(Solved)
Five year ago, a mother’s age was four times that of her daughter. In four years to come,
she will be 2 ½ times the age of her daughter. Calculate the sum of their present ages
Date posted:
June 18, 2019
.
Answers (1)
-
Simplify
(Solved)
Simplify 
Date posted:
June 18, 2019
.
Answers (1)
-
John bought a TV set ksh 12000,he later sold it making a profit of twenty percent.How much did he sell it? (A) ksh10,000...
(Solved)
John bought a TV set ksh 12000,he later sold it making a profit of twenty percent.How much did he sell it? (A) ksh10,000 (B)ksh 12,000 (C)ksh 14,400 (D)ksh9600
Date posted:
June 4, 2019
.
Answers (1)
-
In the figure below, circle ABDF has centre O. CE is a tangent to the circle at D and AF =12cm is the diameter, AB...
(Solved)
In the figure below, circle ABDF has centre O. CE is a tangent to the circle at D and AF =12cm is the diameter, AB = BD and angle DAF = 27º.

(a) Find the size of
(i) Angle ADE.
(ii) Angle ADB.
(b) Find the length of
(i) AD.
(ii) BD.
Date posted:
May 23, 2019
.
Answers (1)
-
Two straight lines L1 and L2 intersect at a point P.Q and R are on the lines L1 and L2 respectively such that PQ=5cm, PR=7cm...
(Solved)
Two straight lines L1 and L2 intersect at a point P.Q and R are on the lines L1 and L2 respectively such that PQ=5cm, PR=7cm and 0
(a) Draw the two lines.
(b) Using a ruler and pair of compasses only, draw a circle which is a tangent to line PR at R and
passes through Q.
(c) The line 𝑙1 cuts the circle again at point S. Mark the point S and measure QS.
(d) Locate a point T on the minor arc such that QT
Date posted:
May 23, 2019
.
Answers (1)
-
Draw a cumulative frequency curve for the following data which shows the marks obtained by 80 form four students in a school.
a) The lower quartileQ1),...
(Solved)
Draw a cumulative frequency curve for the following data which shows the marks obtained by 80 form four students in a school.

Use your graph to find:
a) The lower quartileQ1), median(Q2) and upper quartile(Q3).
b) The pass mark if 85% of these student are to pass.
Date posted:
May 23, 2019
.
Answers (1)