-
In the figure below, TA is a tangent to the circle ABCD with centre O. TAD = 480 and
BOD = 1160
Giving reasons calculate:
a) ACD
b)...
(Solved)
In the figure below, TA is a tangent to the circle ABCD with centre O. TAD = 480 and
BOD = 1160

Giving reasons calculate:
a) ACD
b) ABO
c) ADO
d) ACB
e) ATB
Date posted:
June 18, 2019
.
Answers (1)
-
In the figure below PQR and S are points on the circumference of a circle centre O. The point TSO
and Q lie on a straight...
(Solved)
In the figure below PQR and S are points on the circumference of a circle centre O. The point TSO
and Q lie on a straight line MPT is a tangent to the circle at P.

Find the values of the following angles stating reasons in each case.
(a) SRP
(b) ORP
(c) RPT
(d) STP
(e) QPM
Date posted:
June 18, 2019
.
Answers (1)
-
The angles of elevation from two points A and B to the top of a storey building are 480 and 570 respectively. If AB =...
(Solved)
The angles of elevation from two points A and B to the top of a storey building are 480 and 570 respectively. If AB = 50m and the point A and B are opposite each other; Calculate;
a) the distance of point A to the building
b) the height of the building
Date posted:
June 18, 2019
.
Answers (1)
-
The angle of depression of a point A on the ground from the top of a post is 180 and that of another point B...
(Solved)
The angle of depression of a point A on the ground from the top of a post is 180 and that of another point B on the same line as A nearer to the foot of the post is 250. If A and B are 70m apart,
(a) Draw a sketch to represent positions of A and B.
(b) Using your sketch calculate
(i) The height of the post from the ground level (Ans 1 d.p)
(ii) The distance of point A from the foot of the post.
Date posted:
June 18, 2019
.
Answers (1)
-
A regular polygon has its exterior angle 180, and one of its sides 16cm. Calculate its area.
(to 2 d.p)
(Solved)
A regular polygon has its exterior angle 180, and one of its sides 16cm. Calculate its area.
(to 2 d.p)
Date posted:
June 18, 2019
.
Answers (1)
-
From a point 20m away on a level ground the angle of elevation to the lower window line is 270 and the angle of elevation...
(Solved)
From a point 20m away on a level ground the angle of elevation to the lower window line is 270 and the angle of elevation to the top line of the window is 320. Calculate the height of the window.
Date posted:
June 18, 2019
.
Answers (1)
-
The sides of a parallelogram are 4cm by 5cm and its area is 12cm2. Calculate its angles.
(Solved)
The sides of a parallelogram are 4cm by 5cm and its area is 12cm2. Calculate its angles.
Date posted:
June 18, 2019
.
Answers (1)
-
The exterior angle of a regular polygon is an eighth of the interior angle. How many sides does the regular polygon have?
(Solved)
The exterior angle of a regular polygon is an eighth of the interior angle. How many sides does the regular polygon have?
Date posted:
June 18, 2019
.
Answers (1)
-
In the figure below, lines AB and LM are parallel.
Find the values of the angles marked x, y and z
(Solved)
In the figure below, lines AB and LM are parallel.

Find the values of the angles marked x, y and z
Date posted:
June 18, 2019
.
Answers (1)
-
The exterior angle of a regular polygon is equal to one-third of the interior angle.
Calculate the number of sides of the polygon and give its...
(Solved)
The exterior angle of a regular polygon is equal to one-third of the interior angle.
Calculate the number of sides of the polygon and give its name.
Date posted:
June 18, 2019
.
Answers (1)
-
In the triangle XYZ below, find the angle ZXY.
(Solved)
In the triangle XYZ below, find the angle ZXY.

Date posted:
June 18, 2019
.
Answers (1)
-
Wanjiku is standing at a point P, 160m south of a hill H on a level ground. From point P she observes
the angle of elevation...
(Solved)
Wanjiku is standing at a point P, 160m south of a hill H on a level ground. From point P she observes
the angle of elevation of the top of the hill to be 670
(a) Calculate the height of the hill
(b) After walking 420m due east to the point Q, Wanjiku proceeds to point R due east of Q, where the
angle of elevation of the top of the hill is 350. Calculate the angle of elevation of the top of the hill
from Q
(c) Calculate the distance from P to R
Date posted:
June 18, 2019
.
Answers (1)
-
The sum of angles of a triangle is given by the expression (2a+b)0 while that of a quadrilateral is
given by (13a - b)0 . Calculate...
(Solved)
The sum of angles of a triangle is given by the expression (2a+b)0 while that of a quadrilateral is
given by (13a - b)0 . Calculate the values of a and b
Date posted:
June 18, 2019
.
Answers (1)
-
Simplify the expression:-
(Solved)
Simplify the expression:-

Date posted:
June 18, 2019
.
Answers (1)
-
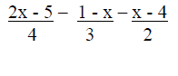
Simplify the following expressions by reducing it to a single fraction
(Solved)
Simplify the following expressions by reducing it to a single fraction

Date posted:
June 18, 2019
.
Answers (1)
-
The sum of two numbers is 15. The difference between five times the first number and
three times the second number is 19. Find the two...
(Solved)
The sum of two numbers is 15. The difference between five times the first number and
three times the second number is 19. Find the two numbers
Date posted:
June 18, 2019
.
Answers (1)
-
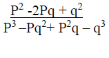
Simplify the given expression
(Solved)
Simplify 
Date posted:
June 18, 2019
.
Answers (1)
-
Simplify the expression.:
(Solved)
Simplify the expression.:

Date posted:
June 18, 2019
.
Answers (1)
-
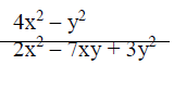
Simplify completely
(Solved)
Simplify completely

Date posted:
June 18, 2019
.
Answers (1)
-
Given that (x-3) (Ax²+bx+c) = x³-7x-6, find the value of A, B and C
(Solved)
Given that (x-3) (Ax²+bx+c) = x³-7x-6, find the value of A, B and C
Date posted:
June 18, 2019
.
Answers (1)