-
What fraction of the attendance were children?
(Solved)
In a harambee
of the attendance were women,
of the remainder were men and the rest were children. What fraction of the attendance were children?

Date posted:
July 29, 2019
.
Answers (1)
-
The diagram below represents a piece of Working Space land in the shape of a trapezium and a semi-circle. What is the area of the...
(Solved)
The diagram below represents a piece of Working Space land in the shape of a trapezium and a semi-circle. What is the area of the piece of land in acres?
A. 4242
B. 70.14
C. 42.42
D. 32.34
Date posted:
July 29, 2019
.
Answers (1)
-
Construct a parallelogram EFGH such that lines GH = 7cm, HE = 5 cm and angle GHE = 45°.
What is the length of a half...
(Solved)
Construct a parallelogram EFGH such that lines GH = 7cm, HE = 5 cm and angle GHE = 45°.
What is the length of a half the diagonal HF?
A. 2.50m
B. 5.0cm
C. 5.5cm
D. 11.0cm
Date posted:
July 29, 2019
.
Answers (1)
-
A matatu carries 14 passengers per trip. In one day, the matatu makes 3 trips. How much money does the matatu make in the month...
(Solved)
A matatu carries 14 passengers per trip. In one day, the matatu makes 3 trips. How much money does the matatu make in the month of April, if each passenger pays sh 70 per trip?
A. 88200
B. 29400
C. 2940
D. 980
Date posted:
July 29, 2019
.
Answers (1)
-
The figure below represents a piece of land
(Solved)
The figure below represents a piece of land
What distance would be covered if one was to walk two and a half times around it?
A. 1600m
B. l050m
C. 775m
D. 420m
Date posted:
July 29, 2019
.
Answers (1)
-
What is the value of 816 ÷ 4 + 6(12-5)?
(Solved)
What is the value of 816 ÷ 4 + 6(12-5)?
A. 11.7
B. 246
C. 271
D. 3306
Date posted:
July 29, 2019
.
Answers (1)
-
A piece of land, 7.25ha, is to be divided into 0.125ha plots. If two houses were to be built in each plot, how many houses...
(Solved)
A piece of land, 7.25ha, is to be divided into 0.125ha plots. If two houses were to be built in each plot, how many houses would be built?
A. 11.6
B. 29
C. 58
D. 116
Date posted:
July 29, 2019
.
Answers (1)
-
The pie-chart below shows how Atieno spent her salary.
(Solved)
The pie-chart below shows how Atieno spent her salary.
If her salary was sh 18000, how much more did she spend on education than on transport?
A. sh.11500
B. sh.8000
C. sh.4500
D. sh.3500
Date posted:
July 29, 2019
.
Answers (1)
-
Which one of the following is true about a quadrilateral?
(Solved)
Which one of the following is true about a quadrilateral?
A. Has four sides
B. All sides are equal
C. All angles are equal
D. Opposite sides are parallel
Date posted:
July 29, 2019
.
Answers (1)
-
At the beginning of the year 2015, there were 1010 boys and 1224 girls in a certain school.
(Solved)
At the beginning of the year 2015, there were 1010 boys and 1224 girls in a certain school. At the end of the year, 125 boys and l4l girls left the school. In the year 2016, 115 boys and 84 girls were transferred from the school. What was the population of the school by the end of year 2016?
A. 1968
B. 2100
C. 1769
D. 2234
Date posted:
July 29, 2019
.
Answers (1)
-
A cylindrical container has a radius of 7m and a height of 20m.
(Solved)
A cylindrical container has a radius of 7m and a height of 20m. How many litres of oil can it hold when full?
A. 3080
B. 30800
C. 308000
D. 3080000
Date posted:
July 29, 2019
.
Answers (1)
-
What is the value of?
(Solved)
What is the value of 
A.
B.
C.
D.
Date posted:
July 29, 2019
.
Answers (1)
-
Two men can complete work on a piece of land in 10 days. How many less days will 5 such men require to complete the...
(Solved)
Two men can complete work on a piece of land in 10 days. How many less days will 5 such men require to complete the work on the piece of land?
A. 4
B. 6
C. 14
D. 15
Date posted:
July 29, 2019
.
Answers (1)
-
Closed cylindrical tank was made using metal sheets.
(Solved)
Closed cylindrical tank was made using metal sheets. The diameter of the tank was l.4m and its height was 2 m. How many square metres of the metal sheets was used to make the tank? 
A. 3.08
B. 8.8
C. 10.4
D. 11.88
Date posted:
July 29, 2019
.
Answers (1)
-
A farmer harvested 10 tonnes of maize. He used 3500 kg on food and gave 2000 kg to neighbours. How many tonnes of maize did...
(Solved)
A farmer harvested 10 tonnes of maize. He used 3500 kg on food and gave 2000 kg to neighbours. How many tonnes of maize did he sell?
A. 15.5
B. 8.5
C. 5.5
D. 4.5
Date posted:
July 29, 2019
.
Answers (1)
-
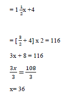
Solve the question below
(Solved)
What is
arranged in ascending order?

Date posted:
July 29, 2019
.
Answers (1)
-
What is 99909909 Written in words?
(Solved)
What is 99909909 Written in words?
A. Nine million nine hundred and nine thousand nine hundred and nine
B. Ninety nine million nine hundred and nine thousand nine hundred and nine
C. Ninety nine million nine hundred and ninety thousand nine hundred and nine
D. Ninety nine million ninety thousand and ninety nine
Date posted:
July 29, 2019
.
Answers (1)
-
A man shared his profit of sh 87 000 among his three children Kawira, Kioko and Zila.
(Solved)
A man shared his profit of sh 87 000 among his three children Kawira, Kioko and Zila. Kawira received
of the money, Kioko received
of what Kawira received while Zila received
of the remainder. How much of the profit was left?
A. sh 43 500
B. sh 32 625
C. sh 10 875
D. sh 4 350
Date posted:
July 29, 2019
.
Answers (1)
-
A hawker bought sufurias, cups and plates for sh 12 000. A few cups and plates broke during transportation.
(Solved)
A hawker bought sufurias, cups and plates for sh 12 000. A few cups and plates broke during transportation. He sold the remaining items as follows:
1. 40 sufurias at sh 180 each
2. 120 cups at sh 160 per dozen
3. 60 plates at sh 140 per set of six
How much percentage loss did she incur on selling the items?
A. 15%
B. 17%
C. 37.5%
D. 85%
Date posted:
July 29, 2019
.
Answers (1)
-
In the figure below EFGH is a rhombus and FGJ is a triangle. Angle GFJ = 56° and JGH is a straight line. Line JG...
(Solved)
In the figure below EFGH is a rhombus and FGJ is a triangle. Angle GFJ = 56° and JGH is a straight line. Line JG = line GH.
What is the size of angle HEF?
A. 68°
B. 90°
C. 112°
D. 124°
Date posted:
July 29, 2019
.
Answers (1)