-
In the year 2001, the price of a sofa set in a shop was Kshs. 12000
(Solved)
In the year 2001, the price of a sofa set in a shop was Kshs. 12000,
(a) Calculate the amount of money received from the sale of 240 sofa sets that year
(b) (i) In the year 2002, the price of each sofa set increased by 25% while the number of sets sold decreased by 10%. Calculate the percentage increase in the amount received from the sales
(ii) If at the end of year 2002 the price of each sofa set changed in the ratio 16:15. Calculate the price of each sofa set in the year 2003
(c) The number of sofa sets sold in the year 2003 was P% less than the number of sofa sets sold in the year 2001. Calculate the value of P given that the amount received from sale in the two years were equal
Date posted:
August 8, 2019
.
Answers (1)
-
The interior angles of a hexagon are 2x + 5, 4x - 5, 4x + 5, 3x, 4x - 20 and 2x. Find the value...
(Solved)
The interior angles of a hexagon are 2x + 5, 4x - 5, 4x + 5, 3x, 4x - 20 and 2x. Find the value of x.
Date posted:
August 8, 2019
.
Answers (1)
-
A chord PQ of length 15cm subtends an angle of 65º at the circumference centre O. Find the radius of the circle.
(Solved)
A chord PQ of length 15cm subtends an angle of 65º at the circumference centre O. Find the radius of the circle.
Date posted:
August 8, 2019
.
Answers (1)
-
Patients who attended a clinic in one week were grouped by age as in the table
(Solved)
Patients who attended a clinic in one week were grouped by age as in the table

(a) Estimate the mean age
(b) Draw a histogram to represent the distribution.
Date posted:
August 8, 2019
.
Answers (1)
-
Agnes paid rent which was
of her net salary. She used ½ of the...
(Solved)
Agnes paid rent which was
of her net salary. She used ½ of the remaining amount to make a down payment for a plot. She gave her mother Kshs. 2,500 and did shopping worth Kshs. 7,500 for herself. She saved the remainder which was Ksh. 12,500. How much was the down payment that she made.
Date posted:
August 8, 2019
.
Answers (1)
-
A tangent from an external point A(7, 5) meets a circle centre O whose equation is
(Solved)
A tangent from an external point A(7, 5) meets a circle centre O whose equation is x2 + 4x + y2 – 5 = 0 at point T, find the length of the tangent AT
Date posted:
August 8, 2019
.
Answers (1)
-
Solve the following simultaneous equations, give the exact values of a and b.
(Solved)
Solve the following simultaneous equations, give the exact values of a and b.
log (a – b + 1) = 0 and log (ab) + 1 = 0
Date posted:
August 8, 2019
.
Answers (1)
-
The figure drawn below is a square ABCD of sides 36.75cm.
(Solved)
The figure drawn below is a square ABCD of sides 36.75cm. The shaded area is formed out of
two segments. DCB and DKB. Find the area of the shaded region.

Date posted:
August 8, 2019
.
Answers (1)
-
Find all the integral values of x which satisfy the inequalities.
x + 8 > 4x - 6 = 3(4 - x)
(Solved)
Find all the integral values of x which satisfy the inequalities.
x + 8 > 4x - 6 ≥ 3(4 - x)
Date posted:
August 8, 2019
.
Answers (1)
-
A Kenyan bank buys and sells foreign currencies at the exchange rates shown below
(Solved)
A Kenyan bank buys and sells foreign currencies at the exchange rates shown below

An American arrived in Kenya with 20,000 Euros. He converted all the Euros to Kenya shillings at the bank. He spent Ksh 2510200 while in Kenya and converted the remaining Kenya shillings into US dollars at the bank. Find the amount in Dollars that he received.
Date posted:
August 8, 2019
.
Answers (1)
-
If the points x, y and z are collinear, find the value of t
(Solved)
The position vectors of points x, y and z are
respectively. If the points x, y and z are collinear, find the value of t
Date posted:
August 8, 2019
.
Answers (1)
-
Triangle ABC has vertices A at (1, 4) and B at (0, 1) and the line y = x + 1 and its axis of
symmetry....
(Solved)
Triangle ABC has vertices A at (1, 4) and B at (0, 1) and the line y = x + 1 and its axis of
symmetry. Find the co-ordinates of C.
Date posted:
August 8, 2019
.
Answers (1)
-
Find by calculation the sum of all the interior angles in the figure ABCDEFGHI below
(Solved)
Find by calculation the sum of all the interior angles in the figure ABCDEFGHI below

Date posted:
August 8, 2019
.
Answers (1)
-
The table below shows the number of goals scored in 40 soccer matches during a certain season.
(Solved)
The table below shows the number of goals scored in 40 soccer matches during a certain season.

Calculate the mean number of goals scored per match.
Date posted:
August 8, 2019
.
Answers (1)
-
Use mathematical tables to evaluate to 4 decimal places.
(Solved)
Use mathematical tables to evaluate to 4 decimal places.

Date posted:
August 8, 2019
.
Answers (1)
-
Given that position vectors of points A and B are as given below and C is a point on AB such that AC : CB...
(Solved)
Given that position vectors of points A and B are as given below and C is a point on AB such that AC : CB = 1 : 2. Find the coordinates of the point C.

Date posted:
August 8, 2019
.
Answers (1)
-
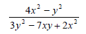
Simplify the expression
(Solved)
Simplify the expression 
Date posted:
August 8, 2019
.
Answers (1)
-
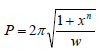
Make x the subject of the formula
(Solved)
Make x the subject of the formula 
Date posted:
August 8, 2019
.
Answers (1)
-
Solve the simultaneous equations
xy = 4
x + y = 5
(Solved)
Solve the simultaneous equations
xy = 4
x + y = 5
Date posted:
August 8, 2019
.
Answers (1)
-
Find t
(Solved)

Date posted:
August 8, 2019
.
Answers (1)