-
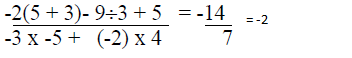
Evaluate without using a calculator
(Solved)
Evaluate without using a calculator

Date posted:
August 9, 2019
.
Answers (1)
-
Bag x contains 672 sweets, bag Y 504 sweets and bag Z 360 sweets, all of different types.
(Solved)
Bag x contains 672 sweets, bag Y 504 sweets and bag Z 360 sweets, all of different types. The sweets are to be shared out among a group of students in such a way that each student gets the same number of each type.
(a) (i) Find the largest possible number of students.
(ii) What is the total number of sweets received by each student
(b) A number A leaves a reminder of 5 when divided by 29 and also a remainder of 5 when divide by 23. Find the least value of A.
Date posted:
August 9, 2019
.
Answers (1)
-
A small field was surveyed and the measurements recorded in a surveyor’s field book as in the table below.(i) Using a scale of 1cm...
(Solved)
A small field was surveyed and the measurements recorded in a surveyor’s field book as in the table below.

(i) Using a scale of 1cm to 10cm make an accurate drawing of the map of the field.
(ii) Find the area of the field.
(iii) Assuming that the baseline in (a) runs in a northern direction give the position of D relative to A using bearing and distance.
Date posted:
August 9, 2019
.
Answers (1)
-
Two circles of radius 7cm each with centres x and y. The circles touch each other at point Q.
(Solved)
Two circles of radius 7cm each with centres x and y. The circles touch each other at point Q. Given that 0 and lines AB, XQY and DC are parallel. Calculate the area of

(a) Minor sector
(b) The trapezium (c) The shaded regions
Date posted:
August 9, 2019
.
Answers (1)
-
Four points B, C, Q and D lie on the same plane. Point B is 42km due southwest point Q. Point C is 50 km...
(Solved)
Four points B, C, Q and D lie on the same plane. Point B is 42km due southwest point Q. Point C is 50 km on a bearing of S60oE from Q. Point D is equidistant from B, Q and C.
(a) Using the scale: 1cm represents 10km, construct a diagram showing the positions of B, C, Q and D.
(b) Determine the
(i) Distance between B and C
(ii) Bearing of D from B
(c) Find the distance and bearing of D from C.
Date posted:
August 9, 2019
.
Answers (1)
-
Four towns P, Q, R and S are such that Q is 168km from P on a bearing of 630.
(Solved)
Four towns P, Q, R and S are such that Q is 168km from P on a bearing of 630. R is 288km on a bearing of S 300E from Q. S is due west of R on a bearing of 1610 from P using the scale of 1cm to represent 40km,
(a) Show the relative position of P, Q, R and S.
(b) From the diagram, find
(i) The bearing of S from Q
(ii) The bearing of P from R
(iii) The distance of PS and SR
Date posted:
August 9, 2019
.
Answers (1)
-
(a) The diagram represents a solid frustum with base radius of 35cm and top radius of 21cm.The frustum is 22.5cm high and is made of...
(Solved)
(a) The diagram represents a solid frustum with base radius of 35cm and top radius of 21cm.The frustum is 22.5cm high and is made of a metal whose density is 4g/cm³.
Taking pi = 22/7, calculate

(i) The volume of the metal that makes the frustum.
(ii) The mass of the frustum.
(b) The frustum is melted in down and recast into a solid cube in the process 20% of the metal is lost. Calculate to 2d.p the length of each side of the cube.
Date posted:
August 9, 2019
.
Answers (1)
-
A hemispherical bowl has internal and external radii 30cm and 32cm respectively
(Solved)
A hemispherical bowl has internal and external radii 30cm and 32cm respectively.
(a) Calculate the volume of the material used in making the bowl
(b) The bowl is made of copper of density 9g/cm3. Calculate the mass of the copper used to make the bowl.
(c) Find the total cost of making the bowl if copper cost shs 450 per kg
Date posted:
August 9, 2019
.
Answers (1)
-
A straight line L1 has a gradient ¯½ and passes through point P (-1, 3). Another line L2 passes through the points Q (1, -3)...
(Solved)
A straight line L1 has a gradient ˉ½ and passes through point P (-1, 3). Another line L2 passes through the points Q (1, -3) and R (4, 5). Find.
(a) The equation of L1.
(b) The gradient of L2.
(c) The equation of L2.
(d) The equation of a line passing through a point S (0, 5) and is perpendicular to L2.
(e) The equation of a line through R parallel to L1.
Date posted:
August 9, 2019
.
Answers (1)
-
The figure below is a cone whose base radius is 3.5cm and slant height 7cm. The net of the cone is a sector of a...
(Solved)
The figure below is a cone whose base radius is 3.5cm and slant height 7cm. The net of the cone is a sector of a circle.

(a) Find the angle subtended at the centre of the sector.
(b) Draw the net of the solid.
Date posted:
August 9, 2019
.
Answers (1)
-
A line passes through the point (-1, 2) and has gradient -½. Write down its equation in the form ax + by = c
(Solved)
A line passes through the point (-1, 2) and has gradient -½. Write down its equation in the form ax + by = c
Date posted:
August 8, 2019
.
Answers (1)
-
In the year 2001, the price of a sofa set in a shop was Kshs. 12000
(Solved)
In the year 2001, the price of a sofa set in a shop was Kshs. 12000,
(a) Calculate the amount of money received from the sale of 240 sofa sets that year
(b) (i) In the year 2002, the price of each sofa set increased by 25% while the number of sets sold decreased by 10%. Calculate the percentage increase in the amount received from the sales
(ii) If at the end of year 2002 the price of each sofa set changed in the ratio 16:15. Calculate the price of each sofa set in the year 2003
(c) The number of sofa sets sold in the year 2003 was P% less than the number of sofa sets sold in the year 2001. Calculate the value of P given that the amount received from sale in the two years were equal
Date posted:
August 8, 2019
.
Answers (1)
-
The interior angles of a hexagon are 2x + 5, 4x - 5, 4x + 5, 3x, 4x - 20 and 2x. Find the value...
(Solved)
The interior angles of a hexagon are 2x + 5, 4x - 5, 4x + 5, 3x, 4x - 20 and 2x. Find the value of x.
Date posted:
August 8, 2019
.
Answers (1)
-
A chord PQ of length 15cm subtends an angle of 65º at the circumference centre O. Find the radius of the circle.
(Solved)
A chord PQ of length 15cm subtends an angle of 65º at the circumference centre O. Find the radius of the circle.
Date posted:
August 8, 2019
.
Answers (1)
-
Patients who attended a clinic in one week were grouped by age as in the table
(Solved)
Patients who attended a clinic in one week were grouped by age as in the table

(a) Estimate the mean age
(b) Draw a histogram to represent the distribution.
Date posted:
August 8, 2019
.
Answers (1)
-
Agnes paid rent which was
of her net salary. She used ½ of the...
(Solved)
Agnes paid rent which was
of her net salary. She used ½ of the remaining amount to make a down payment for a plot. She gave her mother Kshs. 2,500 and did shopping worth Kshs. 7,500 for herself. She saved the remainder which was Ksh. 12,500. How much was the down payment that she made.
Date posted:
August 8, 2019
.
Answers (1)
-
A tangent from an external point A(7, 5) meets a circle centre O whose equation is
(Solved)
A tangent from an external point A(7, 5) meets a circle centre O whose equation is x2 + 4x + y2 – 5 = 0 at point T, find the length of the tangent AT
Date posted:
August 8, 2019
.
Answers (1)
-
Solve the following simultaneous equations, give the exact values of a and b.
(Solved)
Solve the following simultaneous equations, give the exact values of a and b.
log (a – b + 1) = 0 and log (ab) + 1 = 0
Date posted:
August 8, 2019
.
Answers (1)
-
The figure drawn below is a square ABCD of sides 36.75cm.
(Solved)
The figure drawn below is a square ABCD of sides 36.75cm. The shaded area is formed out of
two segments. DCB and DKB. Find the area of the shaded region.

Date posted:
August 8, 2019
.
Answers (1)
-
Find all the integral values of x which satisfy the inequalities.
x + 8 > 4x - 6 = 3(4 - x)
(Solved)
Find all the integral values of x which satisfy the inequalities.
x + 8 > 4x - 6 ≥ 3(4 - x)
Date posted:
August 8, 2019
.
Answers (1)