-
Evaluate without using mathematical table or calculator.
(Solved)
Evaluate without using mathematical table or calculator.

Date posted:
August 9, 2019
.
Answers (1)
-
Given the coordinates of P, Q and R as (2, -1), (3, 4) and (6, 2) respectively,
(Solved)
Given the coordinates of P, Q and R as (2, -1), (3, 4) and (6, 2) respectively, find the coordinates
of P1, Q1 and R1 the images of P, Q and R under a transformation represented by the matrix

Date posted:
August 9, 2019
.
Answers (1)
-
Point T is the midpoint of a straight line AB. Given that the position vectors of A and T are
(Solved)
Point T is the midpoint of a straight line AB. Given that the position vectors of A and T are

Date posted:
August 9, 2019
.
Answers (1)
-
In the diagram below find the length of EC if BC = 12 cm.
(Solved)
a) In the diagram below find the length of EC if BC = 12 cm.

(b) Given that the area of triangle DCE is 27 cm2, find the area of ABECD.
Date posted:
August 9, 2019
.
Answers (1)
-
If each interior angle of a regular polygon is 1500, how many sides does the polygon have?
(Solved)
If each interior angle of a regular polygon is 1500, how many sides does the polygon have?
Date posted:
August 9, 2019
.
Answers (1)
-
In 2007 parliamentary election, only 55% of the voters in a constituency of 85,000 cast their votes.
(Solved)
In 2007 parliamentary election, only 55% of the voters in a constituency of 85,000 cast their votes. Of the votes cast, A received 48%, B received 32% and C received the remainder. How many votes did C receive?
Date posted:
August 9, 2019
.
Answers (1)
-
A swimming pool is 20m by 12m and it slopes gently from a depth of 1m at the shallow end to a depth of 3m...
(Solved)
A swimming pool is 20m by 12m and it slopes gently from a depth of 1m at the shallow end to a depth of 3m at the deep end.
(a) Calculate the volume of water in the swimming pool (in m3) when it is full.
(b) If the swimming pool is to be drained by a pump which removes water at the rate of 2.5m3 per minute, how long will it take this pump to drain the swimming pool if it was full?
(c) If the sides of the swimming pool and its floor are to be covered with square tiles of side 20cm, find to the nearest 100 the number of tiles required.
Date posted:
August 9, 2019
.
Answers (1)
-
Solve the simultaneous equations
(Solved)
Solve the simultaneous equations

Date posted:
August 9, 2019
.
Answers (1)
-
Solve for n in
(Solved)
Solve for n in

Date posted:
August 9, 2019
.
Answers (1)
-
Two vertical columns A and B of height h and 2h respectively stand on level ground and are 100m apart. Two points P and Q...
(Solved)
Two vertical columns A and B of height h and 2h respectively stand on level ground and are 100m apart. Two points P and Q are d metres apart, the elevation of the top of A and B from point P are 350 and 280 respectively and the elevation of top of B from point Q is 750
Calculate
(a) The vertical heights of the two columns in metres
(b) The distance PQ in metres
Date posted:
August 9, 2019
.
Answers (1)
-
Solve the following inequalities and represent the solutions on a single number line:
(Solved)
Solve the following inequalities and represent the solutions on a single number line:

Date posted:
August 9, 2019
.
Answers (1)
-
The figure below shows a plan of a roof with a rectangular base ABCD. AB = 20cm and BC = 12cm. the ridge PQ =...
(Solved)
The figure below shows a plan of a roof with a rectangular base ABCD. AB = 20cm and BC = 12cm. the ridge PQ = 8cm and is centrally placed. The faces ADP and BCQ are equilateral triangles. N is the midpoint of AD

Calculate:
(a) The length of PN
(b) The altitude of P above the base.
(c) The angle between the planes ABQP and ABCD.
(d) The obtuse angle between the lines PQ and DB
Date posted:
August 9, 2019
.
Answers (1)
-
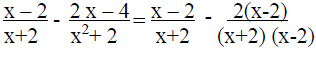
Simplify the expression
(Solved)
Simplify the expression 
Date posted:
August 9, 2019
.
Answers (1)
-
A prism of length 20cm is represented by the diagram below whose cross section is an equilateral triangle of side 7cm.
(Solved)
A prism of length 20cm is represented by the diagram below whose cross section is an equilateral triangle of side 7cm.

(a) Draw a sketch net of the prism and label it correctly.
(b) Calculate
(i) The area of the triangular end
(ii) The total surface area of the prism
(iii) The volume of the prism.
Date posted:
August 9, 2019
.
Answers (1)
-
In the figure below, O1 and O1 are the centres of the circles whose radii are 4 cm and 7 cm respectively. The circles intersect...
(Solved)
In the figure below, O1 and O1 are the centres of the circles whose radii are 4 cm and 7 cm respectively. The circles intersect at A and B and angle AO1O2 = 60˚

Find by calculation; take π = 3.142
(a) The angle AO2O1
(b) The area of the quadrilateral AO1BO2
(c) The shaded area
Date posted:
August 9, 2019
.
Answers (1)
-
O is the centre of the circle below and AB is parallel to DC. Angle ACD = 700 and angle ACB = 100.
(Solved)
O is the centre of the circle below and AB is parallel to DC. Angle ACD = 700 and angle ACB = 100.

Calculate angles
(i) ABC
(ii) OAD
Date posted:
August 9, 2019
.
Answers (1)
-
Three business partners, Bela, Joan and Trinity contributed Kshs. 112, 000, Kshs. 128, 000 and Kshs. 210, 000 respectively to start a business. They agreed...
(Solved)
Three business partners, Bela, Joan and Trinity contributed Kshs. 112, 000, Kshs. 128, 000 and Kshs. 210, 000 respectively to start a business. They agreed to share their profits as follows:
30% to be shared equally
30% to be shared in the ratio of their contributions
40% to be retained for the running of the business.
If at the end of the year, the business realized a profit of Kshs. 1. 35 million
Calculate:
(a) the amount of money retained for running the business at the end of the year.
(b) the difference between the amounts received by Trinity and Bela.
(c) Express Joan’s share as percentage of the total amount of money shared between the three partners.
Date posted:
August 9, 2019
.
Answers (1)
-
Three bells P, Q and R are programmed to ring after an interval of 15 minutes, 25 minutes and 50
minutes respectively. If they all rang...
(Solved)
Three bells P, Q and R are programmed to ring after an interval of 15 minutes, 25 minutes and 50
minutes respectively. If they all rang together at 8.45 a.m, when will they next ring together again.
Date posted:
August 9, 2019
.
Answers (1)
-
The figure below shows a regular tetrahedron PQRS of edges 4cm.Draw its net and measure the length of the straight path of PS through the...
(Solved)
The figure below shows a regular tetrahedron PQRS of edges 4cm.Draw its net and measure the length of the straight path of PS through the midpoint T over the edge QR.

Date posted:
August 9, 2019
.
Answers (1)
-
A number n is such that when it is divided by 27 and 30 or 45, the remainder is always 3. Find the
smallest value of...
(Solved)
A number n is such that when it is divided by 27 and 30 or 45, the remainder is always 3. Find the
smallest value of n.
Date posted:
August 9, 2019
.
Answers (1)