-
Pipe A empties a full tank in 8 hours, pipe B empties in 6 hours and pipe C empties in 3 hours. If all the three...
(Solved)
Pipe A empties a full tank in 8 hours, pipe B empties in 6 hours and pipe C empties in 3 hours. If all the three pipes are open for 30 minutes and then pipe A closed , How long will it take to empty a full tank.
Date posted:
August 14, 2019
.
Answers (1)
-
Find the integral values of x for which:
-6 < 3x + 3
14 – 3x >2
(Solved)
Find the integral values of x for which:
-6 < 3x + 3
14 – 3x >2
Date posted:
August 14, 2019
.
Answers (1)
-
Find the equation of a perpendicular bisector of a line AB if the coordinates of A and B are(-4,-2) and (6,2) respectively.
(Solved)
Find the equation of a perpendicular bisector of a line AB if the coordinates of A and B are (-4,-2) and (6,2) respectively.
Date posted:
August 14, 2019
.
Answers (1)
-
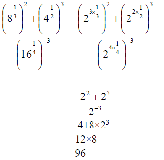
Without using a calculator, evaluate,
(Solved)
Without using a calculator, evaluate,

Date posted:
August 14, 2019
.
Answers (1)
-
In the figure below DA is a diameter of the circle ABCD centre o, radius 10cm. TCS is a tangent to the circle at c,...
(Solved)
In the figure below DA is a diameter of the circle ABCD centre o, radius 10cm. TCS is a tangent to the circle at c, AB = BC and angle DAC = 38º

a) Find the size of the angle
i) ACS
ii) BCA
b) Calculate the length of;
i) AC
ii) AB
Date posted:
August 14, 2019
.
Answers (1)
-
A frequency distribution of marks obtained by 120 candidates is to be represented in a histogram. The table below shows the grouped marks , frequencies...
(Solved)
A frequency distribution of marks obtained by 120 candidates is to be represented in a histogram. The table below shows the grouped marks , frequencies for all the groups and also the area and height of the rectangle for the group 30 – 60 marks.

a) i) Complete the table.
ii) On the grid provided,draw the histogram.
b) i) State the group in which the median mark lies.
ii) A vertical line drawn through the median mark divides the total area of the histogram into two equal parts. Using this information or otherwise, estimate the median mark.
Date posted:
August 14, 2019
.
Answers (1)
-
If x2 + y2 = 29 and x + y = 3
a) Without solving for x and y determine the values of
i) x2 + 2xy...
(Solved)
If x2 + y2 = 29 and x + y = 3
a) Without solving for x and y determine the values of
i) x2 + 2xy + y2
ii) 2 x y
iii) x2 – 2xy + y2
iv) x – y
b) Find the values of x and y.
Date posted:
August 14, 2019
.
Answers (1)
-
In the figure below, O is the centre of the circle of radius 3cm and AB is a chord such that its shortest distance from...
(Solved)
In the figure below, O is the centre of the circle of radius 3cm and AB is a chord such that its shortest distance from O is 1cm.

Calculate :
a) The length of the chord AB.
b) Angle AOB
c) The area of the minor sector OAB.
d) The area of the shaded segment.
Date posted:
August 14, 2019
.
Answers (1)
-
Mr. Barmuriat a farmer in Ainamoi division , Kericho District has a triangular field, ABC. The ratio of the length AB: AC = 6:7. If...
(Solved)
Mr. Barmuriat a farmer in Ainamoi division , Kericho District has a triangular field, ABC. The ratio of the length AB: AC = 6:7. If BC = 40m and the perimeter of the field is 118m,.
a) Calculate the length AB and the area of the field.
b) A water tap is installed inside the field such that the tap is equidistant from each of the vertices of the plot. Calculate the distance of the tap from vertex A.
c) Find the size of the acute angles between the edges AB and BC.
Date posted:
August 14, 2019
.
Answers (1)
-
Two types of tea in Kericho grade A and grade B are mixed. Grade A costs sh. 85 per kg, and grade B costs sh....
(Solved)
Two types of tea in Kericho grade A and grade B are mixed. Grade A costs sh. 85 per kg, and grade B costs sh. 70 per kg.
a) If the tea are mixed in the ratio 2:1, find the cost 2kg of the mixture.
b) The tea is to be sold in 2kg boxes at a 30% profit. Find the selling price of the tea.
c) At the end of the week the price of a 2kg box is reduced to sh. 125. Find the percentage reduction in the price .
d) Origianally 200kg of grade A and 100kg of grade B were bought 240kg of the mixture was sold at the price of part b, and the rest was sold at the reduced price of part C. Find the overall percentage profit.
Date posted:
August 14, 2019
.
Answers (1)
-
Find the positive number m for which
(Solved)
Find the positive number m for which

Date posted:
August 14, 2019
.
Answers (1)
-
Construct a net of the triangular prism shown, where the cross section is an equilateral triangle.Hence calculate the surface area of the prism.
(Solved)
Construct a net of the triangular prism shown, where the cross section is an equilateral triangle.Hence calculate the surface area of the prism.

Date posted:
August 14, 2019
.
Answers (1)
-
A Kenyan businessman bought goods from Japan worth 2,950,000 Japanese Yen.
(Solved)
A Kenyan businessman bought goods from Japan worth 2,950,000 Japanese Yen.On arrival in Kenya, custom duty of 20% was changed on the value of the goods. If the exchange rates were as follows:-
1 us dollar = 118 Japanese yen
1 us dollar = 76 Kenya shillings
Calculate the duty paid in Kenya shillings.
Date posted:
August 14, 2019
.
Answers (1)
-
The angles of a quadrilateral are 3x, 2x, x +14 and 2( x – 7) degrees. Find the smallest angle.
(Solved)
The angles of a quadrilateral are 3x, 2x, x +14 and 2( x – 7) degrees. Find the smallest angle.
Date posted:
August 13, 2019
.
Answers (1)
-
The figure below shows three circles which intersect with each other externally.If the centres of the circle form a triangle with sides of length 9cm, 7cm and 6cm.Calculate...
(Solved)
The figure below shows three circles which intersect with each others externally.

If the centres of the circle form a triangle with sides of length 9cm, 7cm and 6cm.Calculate the radii of the circles.
Date posted:
August 13, 2019
.
Answers (1)
-
A circle whose centre (-2,5) passes through point P(10, 10).Find the equation of the circle in the form of ax2 + by2 + cx + dy...
(Solved)
A circle whose centre (-2,5) passes through point P(10, 10).Find the equation of the circle in the form of ax2 + by2 + cx + dy + k = 0. Where a,b,c,d and k are constants.
Date posted:
August 13, 2019
.
Answers (1)
-
Three quantities t, x and y are such that t varies directly as x and inversely as the square root of y.
Find the percentage decrease...
(Solved)
Three quantities t, x and y are such that t varies directly as x and inversely as the square root of y.
Find the percentage decrease in t if x decreases by 44%.
Date posted:
August 13, 2019
.
Answers (1)
-
A circle centre o, has the equation x2 + y2 = 4
The area of the circle in the first quadrant is divided into 5 vertical...
(Solved)
A circle centre o, has the equation x2 + y2 = 4
The area of the circle in the first quadrant is divided into 5 vertical strips each of width 0.4cm.
a) Use the equation of the circle to complete the table below for values of y correct 2 decimal places.

b) Use the trapezium rule to estimate the area of the circle.
Date posted:
August 13, 2019
.
Answers (1)
-
Without using mathematical tables evaluate.
(Solved)
Without using mathematical tables evaluate.

Date posted:
August 13, 2019
.
Answers (1)
-
Simplify the given expression completely
(Solved)
Simplify the given expression completely

Date posted:
August 13, 2019
.
Answers (1)