-
A private farmer in Mwea produced 14,400bags of rice in 2008. This was a decrease of 20% over the production in 2007. In 2009 he...
(Solved)
A private farmer in Mwea produced 14,400bags of rice in 2008. This was a decrease of 20% over the production in 2007. In 2009 he increased production by 30%. In 2010,he managed to produce 12,000 bags of rice.
a) Find the number of bags of rice he produced in;
i) 2007
ii) 2009
b) What was the percentage decrease in production in 2010 over that of
previous year?
c) Calculate the percentage decrease in production in 2010 over that in 2007
d) The price per bag of rice was Ksh 3500 in 2010, how much did he get if he
sold 65% of the produce in that year.
Date posted:
August 15, 2019
.
Answers (1)
-
Four towns P, Q, R and S are such that town Q is 120km due east of town P. Town R is 160km due north...
(Solved)
Four towns P, Q, R and S are such that town Q is 120km due east of town P. Town R is 160km due north of town Q, town S is on a bearing of 3300 from P and on a bearing of 3000 from R.
a) Using ruler and compasses only, show the relative positions of towns P,Q,R and S. Take a scale of 1cm rep 50km.
b) Determine
i) The distance SP in km
ii) The bearing of S from Q
iii) How far north, S is, from line QP produced.
Date posted:
August 15, 2019
.
Answers (1)
-
A flag post 12m long is fixed on top of a tower. From a point on horizontal ground, the angles of elevation of the top...
(Solved)
A flag post 12m long is fixed on top of a tower. From a point on horizontal ground, the angles of elevation of the top and bottom of the flag post are 460 and 330 respectively.
Calculate
a) The horizontal distance from the point on the ground to the base of the tower.
b) The total height of the tower and the flag.
c) The shortest distances from the point on the ground to
i) The top of the flag post.
ii) The top of the tower.
Date posted:
August 15, 2019
.
Answers (1)
-
The figure below shows a portable Kennel.
a) Calculate
i) The total surface area of the walls and the floor.
ii) The total area of the roof....
(Solved)
The figure below shows a portable Kennel.

a) Calculate
i) The total surface area of the walls and the floor.
ii) The total area of the roof.
b) The cost of roofing is Ksh 500 per square meter and that of making walls and floor is Ksh 600 per m2.Find the cost of making the Kennel.
c) Find the cost of roofing another Kennel whose dimensions are 50% more than those of the given Kennel
d) Calculate the volume of air inside the Kennel in cm3.
Date posted:
August 15, 2019
.
Answers (1)
-
The table below represents the marks scored by form 4 students in an end of term examination.Calculate the upper quartile.
(Solved)
The table below represents the marks scored by form 4 students in an end of term examination.

Calculate the upper quartile.
Date posted:
August 15, 2019
.
Answers (1)
-
A poultry farmer has twenty times as many hens as turkeys and three quarters as many ducks as turkeys.
a) If there are t, turkeys, write...
(Solved)
A poultry farmer has twenty times as many hens as turkeys and three quarters as many ducks as turkeys.
a) If there are t, turkeys, write down a simplified expression in terms of t for the total number of birds on the farm.
b) Given that he has 72 ducks, calculate as a percentage the sum of turkeys and ducks to the number of hens on the farm.
Date posted:
August 15, 2019
.
Answers (1)
-
The figure below shows an arc ACE of a circle with centre O and radius 6cm. If BC=CD=4cm, calculate the area of the shaded region...
(Solved)
The figure below shows an arc ACE of a circle with centre O and radius 6cm. If BC=CD=4cm, calculate the area of the shaded region if DE=AB =1.53cm.

Date posted:
August 15, 2019
.
Answers (1)
-
The coordinates of the points P and Q are (1, -2) and (4, 10) respectively. A point T divides the line PQ in the ratio...
(Solved)
The coordinates of the points P and Q are (1, -2) and (4, 10) respectively. A point T divides the line PQ in the ratio 2:1
a) Determine the coordinates of T
b) Find the equation of the line perpendicular to PQ and passing through T.
Date posted:
August 15, 2019
.
Answers (1)
-
A sales man earns a basic wage of Ksh 1,500 per week. In addition , he is paid commission per week as follows:
...
(Solved)
A sales man earns a basic wage of Ksh 1,500 per week. In addition , he is paid commission per week as follows:
Commission
For sales up to Ksh 50,000 0%
For sales above Ksh 50,000
i) For the first Ksh 25,000 2%
ii) For the next Ksh 25,000 2 ½ %
iii) For any amount above Ksh100,000 5%
During that week, he sold goods worth Ksh 115,000.What was his total pay for that week?
Date posted:
August 15, 2019
.
Answers (1)
-
Solve for x and y in the equation
36x(24)y = 192
(Solved)
Solve for x and y in the equation
36x(24)y = 192
Date posted:
August 15, 2019
.
Answers (1)
-
At 90km/h, a car takes 2 hours to cover a distance A to B. How long would it take to cover the same distance if...
(Solved)
At 90km/h, a car takes 2 hours to cover a distance A to B. How long would it take to cover the same distance if the car was travelling at 120km/h?
Date posted:
August 15, 2019
.
Answers (1)
-
A cylinder of radius 14cm contains water. A metal solid hemisphere of radius 6.8cm is submerged into the water in the cylinder. Find the change...
(Solved)
A cylinder of radius 14cm contains water. A metal solid hemisphere of radius 6.8cm is submerged into the water in the cylinder. Find the change in height of the water in the cylinder.
Date posted:
August 15, 2019
.
Answers (1)
-
Simiyu and Nasike each collected a number of stones in an arithmetic lesson. If Simiyu gave Nasike 5 stones, Nasike would have twice as many...
(Solved)
Simiyu and Nasike each collected a number of stones in an arithmetic lesson. If Simiyu gave Nasike 5 stones, Nasike would have twice as many stones as Simiyu. If initially Simiyu had five stones less than Nasike, how many stones did each have?
Date posted:
August 15, 2019
.
Answers (1)
-
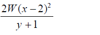
What is the exact value of if x=3, y=x+3 and w=2x+y
(Solved)
What is the exact value of if x=3, y=x+3 and w=2x+y

Date posted:
August 15, 2019
.
Answers (1)
-
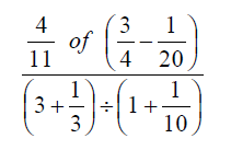
Evaluate without using calculator or mathematical tables leaving your answer as a simplified fraction.
(Solved)
Evaluate without using calculator or mathematical tables leaving your answer as a simplified fraction.

Date posted:
August 15, 2019
.
Answers (1)
-
The diagram below shows a cross section of an oil pipeline centre O and radius 14 cm. The pipe constitutes two other smaller pipes centres...
(Solved)
The diagram below shows a cross section of an oil pipeline centre O and radius 14 cm. The pipe constitutes two other smaller pipes centres O1 and O2 with radii 7 cm and 10.5 cm respectively.Oil flows through this smaller pipes. The pipes with centre O1 and O2 intersect at P and Q.

(a) Find the area of the un shaded region if PQ = 5 cm
(b) Find the area of the shaded region.
Date posted:
August 15, 2019
.
Answers (1)
-
Three business partners Omoit, Achola and Amoit contributed Ksh. 100,000, Ksh.80,000 and ksh.50,000 respectively to start a business. After one year the business realized a...
(Solved)
Three business partners Omoit, Achola and Amoit contributed Ksh. 100,000, Ksh.80,000 and ksh.50,000 respectively to start a business. After one year the business realized a profit which they shared in the ratio of their contributions.
(a) If Amoit’s share of profit was Kshs.20, 000, how much was the total amount of profit?
(b) At the beginning of the second year, Amoit boosted his shares by Ksh. 10,000. If the business profit increased by 20% at the end of the second year. Calculate;
(i) Omoit’s share of the profit.
(ii) The difference between Omoit’s and Achola’s share of the profit.
Date posted:
August 15, 2019
.
Answers (1)
-
In the figure below two circles ABSR and ABPQ intersect at AB. UST is a tangent to the circle ABSR at S. Angle BPQ =...
(Solved)
In the figure below two circles ABSR and ABPQ intersect at AB. UST is a tangent to the circle ABSR at S.
Angle BPQ = 700, PBU = 1050 and BUS = 600.

Giving reasons for your answers, find angles
(a) BAR
(b) BSU
(c) STR
(d) BRS
(e) AQP
Date posted:
August 15, 2019
.
Answers (1)
-
Akukuranut women group decided to raise sh.126,000 towards a poultry farming project. Each
woman was to contribute equal amount. Before the contributions, 7 of them pulled...
(Solved)
Akukuranut women group decided to raise sh.126,000 towards a poultry farming project. Each
woman was to contribute equal amount. Before the contributions, 7 of them pulled out from the
project therefore the remaining members had to pay more.
(a) If P stands for the original number of members, show that the increase in contribution Was

(b) If the increase in contribution per person was sh.200, find the number of women
That were originally involved in the project.
(c) Calculate percentage increase in the contribution per person caused by the withdrawal of
some women to one decimal place.
Date posted:
August 15, 2019
.
Answers (1)
-
Find the area of the square of sides (x + 2) Hence find 1022.
(Solved)
Find the area of the square of sides (x + 2) Hence find 1022.
Date posted:
August 15, 2019
.
Answers (1)