-
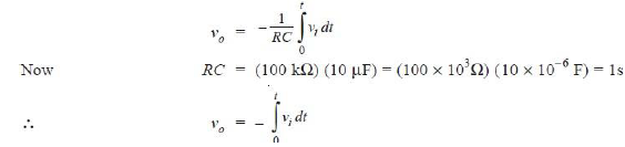
What is the Critical Frequency of Integrators?
(Solved)
What is the Critical Frequency of Integrators?
Date posted:
August 16, 2019
.
Answers (1)
-
Two voltages of + 0.6V and – 1.4 V are applied to the two input resistors of a summing amplifier.
(Solved)
Two voltages of + 0.6V and – 1.4 V are applied to the two input resistors of a summing amplifier. The respective input resistors are 400 kilo-ohms and 100 kilo-ohms and feedback resistor is 200 kilo-ohms. Determine the output voltage.
Date posted:
August 16, 2019
.
Answers (1)
-
Determine the output voltage for the summing amplifier shown in Fig. 9.6
(Solved)
Determine the output voltage for the summing amplifier shown in Fig. 9.6

Date posted:
August 16, 2019
.
Answers (1)
-
Determine the output voltage for the summing amplifier shown in Fig. 9.5.
(Solved)
Determine the output voltage for the summing amplifier shown in Fig. 9.5.

Date posted:
August 16, 2019
.
Answers (1)
-
Determine the output voltage for the summing amplifier in Fig. 9.4.
(Solved)
Determine the output voltage for the summing amplifier in Fig. 9.4.

Date posted:
August 16, 2019
.
Answers (1)
-
The amplifier in Fig. 7.44 is being used to amplify an input signal to a peak output voltage of 100 mV. What is the maximum...
(Solved)
The amplifier in Fig. 7.44 is being used to amplify an input signal to a peak output voltage of 100 mV. What is the maximum operating frequency of the amplifier?

Date posted:
August 16, 2019
.
Answers (1)
-
Determine the maximum operating frequency for the circuit shown in Fig. 7.44. The slew rate is 0.5 V/µs.
(Solved)
Determine the maximum operating frequency for the circuit shown in Fig. 7.44. The slew rate is 0.5 V/μs.

Date posted:
August 16, 2019
.
Answers (1)
-
An OP-amp has a gain-bandwidth product of 1.5 MHz.
(Solved)
An OP-amp has a gain-bandwidth product of 1.5 MHz. Find the operating bandwidth for the following closed-loop gains (i) ACL = 1 (ii) ACL = 10 (iii) ACL = 100.
Date posted:
August 16, 2019
.
Answers (1)
-
An OP-amp has a gain-bandwidth product of 15 MHz. Determine the bandwidth of OP- amp when ACL = 500. Also find the maximum value of...
(Solved)
An OP-amp has a gain-bandwidth product of 15 MHz. Determine the bandwidth of OP- amp when ACL = 500. Also find the maximum value of ACL when f2 = 200 kHz.
Date posted:
August 16, 2019
.
Answers (1)
-
Show the schematic symbol of an operational amplifier
(Solved)
Show the schematic symbol of an operational amplifier
Date posted:
August 16, 2019
.
Answers (1)
-
The differential amplifier shown in Fig. 7.14 has a differential voltage gain of 2500 and a CMRR of 30,000.
(Solved)
The differential amplifier shown in Fig. 7.14 has a differential voltage gain of 2500 and a CMRR of 30,000. A single-ended input signal of 500 μV r.m.s. is applied. At the same time, 1V, 50 Hz interference signal appears on both inputs as a result of radiated pick-up from the a.c. power system.
(i) Determine the common-mode gain.
(ii) Express the CMRR in dB.
(iii) Determine the r.m.s. output signal.
(iv) Determine the r.m.s. interference voltage on the output.

Date posted:
August 15, 2019
.
Answers (1)
-
A differential amplifier has a voltage gain of 150 and a CMRR of 90 dB.
(Solved)
A differential amplifier has a voltage gain of 150 and a CMRR of 90 dB. The input signals are 50 mV and 100 mV with 1 mV of noise on each input. Find (i) the output signal (ii) the noise on the output.
Date posted:
August 15, 2019
.
Answers (1)
-
A differential amplifier has an output of 1V with a differential input of 10 mV and an output of 5 mV with a common-mode input...
(Solved)
A differential amplifier has an output of 1V with a differential input of 10 mV and an output of 5 mV with a common-mode input of 10 mV. Find the CMRR in dB.
Date posted:
August 15, 2019
.
Answers (1)
-
A certain differential amplifier has a differential voltage gain of 2000 and a common mode gain of 0.2. Determine CMRR and express it in dB.
(Solved)
A certain differential amplifier has a differential voltage gain of 2000 and a common mode gain of 0.2. Determine CMRR and express it in dB.
Date posted:
August 15, 2019
.
Answers (1)
-
Discuss the Double-ended Input Operation of DA
(Solved)
Discuss the Double-ended Input Operation of DA
Date posted:
August 15, 2019
.
Answers (1)
-
Explain the Common-mode and Differential-mode Signals
(Solved)
Explain the Common-mode and Differential-mode Signals
Date posted:
August 15, 2019
.
Answers (1)
-
differential amplifier has an open-circuit voltage gain of 100. The input signals are 3.25 V and 3.15V. Determine the output voltage.
(Solved)
differential amplifier has an open-circuit voltage gain of 100. The input signals are 3.25 V and 3.15V. Determine the output voltage.
Date posted:
August 15, 2019
.
Answers (1)
-
What are the Limitations of LC and RC Oscillators?
(Solved)
What are the Limitations of LC and RC Oscillators?
Date posted:
August 15, 2019
.
Answers (1)
-
Give the advantages and disadvantages of Wien Bridge Oscillator
(Solved)
Give the advantages and disadvantages of Wien Bridge Oscillator
Date posted:
August 15, 2019
.
Answers (1)
-
A phase shift oscillator uses 5 pF capacitors. Find the value of R to produce a frequency of 800 kHz.
(Solved)
A phase shift oscillator uses 5 pF capacitors. Find the value of R to produce a frequency of 800 kHz.
Date posted:
August 15, 2019
.
Answers (1)