-
The figure below shows a square ABCD point V is vertically above middle of the base ABCD. AB = 10cm and VC = 13cm.
Find;
(a) the...
(Solved)
The figure below shows a square ABCD point V is vertically above middle of the base ABCD. AB = 10cm and VC = 13cm.

Find;
(a) the length of diagonal AC
(b) the height of the pyramid
(c) the acute angle between VB and base ABCD.
d) the acute angle between BVA and ABCD.
e) the angle between AVB and DVC.
Date posted:
August 28, 2019
.
Answers (1)
-
Income tax is charged on annual income at the rates shown below.
A certain headmaster earns a monthly salary of Ksh. 8570. He is housed in...
(Solved)
Income tax is charged on annual income at the rates shown below.

A certain headmaster earns a monthly salary of Ksh. 8570. He is housed in the school and as a result, his taxable income is 15% more than his salary. He is entitled to a family tax relief of Kshs. 150 per month.
(a) How much tax does he pay in a year.
(b) From the headmaster’s salary the following deductions are also made every month;
W.C.P.S 2% of gross salary
N.H.I.F Kshs. 20
House rent, water and furniture charges Kshs. 246
Calculate the headmaster’s net salary.
Date posted:
August 28, 2019
.
Answers (1)
-
Grade A tea costs Ksh 100 per kg while grade B costs ksh 150 per kg. Find the ratio in which the two grades should...
(Solved)
Grade A tea costs Ksh 100 per kg while grade B costs ksh 150 per kg. Find the ratio in which the two grades should be mixed to get a mixture worth ksh.140 per kg.
Date posted:
August 28, 2019
.
Answers (1)
-
A quantity P is partly constant and partly varies as the cube of Q. When Q=1, P=23 and when Q =2, P= 44. Find the...
(Solved)
A quantity P is partly constant and partly varies as the cube of Q. When Q=1, P=23 and when Q =2, P= 44. Find the value of P when Q = 5.
Date posted:
August 28, 2019
.
Answers (1)
-
Find the sum to 20 terms of the series
Log2 + Log 4 + Log 8 + Log 16 + …….Give your answer to 3 significant...
(Solved)
Find the sum to 20 terms of the series
Log2 + Log 4 + Log 8 + Log 16 + …….Give your answer to 3 significant figures.
Date posted:
August 28, 2019
.
Answers (1)
-
Find the value of y in the figure below.
(Solved)
Find the value of y in the figure below.

Date posted:
August 28, 2019
.
Answers (1)
-
A particle moves in a straight line such that its velocity v m/s is given by v=32 + 4t – t2 after t seconds. Calculate...
(Solved)
A particle moves in a straight line such that its velocity v m/s is given by v=32 + 4t – t2 after t seconds. Calculate the distance covered by the particle in the 7th second.
Date posted:
August 28, 2019
.
Answers (1)
-
A circle of radius 15cm is divided into ten equal sectors. In each sector, find:
a. The area of the triangle
b. The area of the...
(Solved)
A circle of radius 15cm is divided into ten equal sectors. In each sector, find:
a. The area of the triangle
b. The area of the segment
Date posted:
August 28, 2019
.
Answers (1)
-
The points A and B are ( 2,10) and (-4,8) respectively. If AB is a diameter of the circle, find the equation of this circle.
(Solved)
The points A and B are ( 2,10) and (-4,8) respectively. If AB is a diameter of the circle, find the equation of this circle.
Date posted:
August 28, 2019
.
Answers (1)
-
If the length of a rectangle is increased in the ratio 7:3 and the width decreased in the 2:5, find whether the area is increased,...
(Solved)
If the length of a rectangle is increased in the ratio 7:3 and the width decreased in the 2:5, find whether the area is increased, and what ratio.
Date posted:
August 28, 2019
.
Answers (1)
-
Expand ( 1 + 3x)7 up to x3, hence use the expansion to estimate the value of (1.3)7 correct to three decimal places.
(Solved)
Expand ( 1 + 3x)7 up to x3, hence use the expansion to estimate the value of (1.3)7 correct to three decimal places.
Date posted:
August 28, 2019
.
Answers (1)
-
Two bags M and N are on a desk. Bag M contains 6 red pens and 4 black pens; bag N contains 2 red pens...
(Solved)
Two bags M and N are on a desk. Bag M contains 6 red pens and 4 black pens; bag N contains 2 red pens and 8 black pens. A bag is chosen at random and two pens drawn from it, one at a time without replacement. Find the probability of picking two pens of the same colour.
Date posted:
August 28, 2019
.
Answers (1)
-
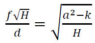
Make ?? the subject of the formula
(Solved)
Make 𝐻 the subject of the formula

Date posted:
August 28, 2019
.
Answers (1)
-
By rationalizing the denominator, evaluate the following surds
(Solved)
By rationalizing the denominator, evaluate the following surds

Date posted:
August 28, 2019
.
Answers (1)
-
Use logarithms table to evaluate.
(Solved)
Use logarithms table to evaluate.

Date posted:
August 28, 2019
.
Answers (1)
-
A particle moving in a straight line passes a fixed point O on the line with velocity 7m/s
(Solved)
A particle moving in a straight line passes a fixed point O on the line with velocity 7m/s. The acceleration 9m/s2 of a particle t seconds after passing O is given by the equation a = 4 – 6t. Calculate:
(a) The velocity of particle 2 seconds after passing O.
(b) The time taken to reach the maximum distance from O in the direction of the initial motion.
(c) The value of the maximum distance.
Date posted:
August 28, 2019
.
Answers (1)
-
Three warships X, Y and Z are at the ocean such that ship Y is 500km on a bearing of 0300 FROM SHIP x....
(Solved)
Three warships X, Y and Z are at the ocean such that ship Y is 500km on a bearing of 0300 FROM SHIP x. Ship Z is 750km from ship Y and on a bearing of 1400 from X. An enemy ship S is sighted 900km due East of ship Y. Calculate:
(a) The bearing of Z from Y.
(b) The distance of X from Z.
(c) The distance S from Z.
(d) The shortest distance from X to the direct route between Y and Z.
Date posted:
August 28, 2019
.
Answers (1)
-
The length of two shorter sides of a right angled triangle are (x+1)cm and (3x- 2)cm. While the length of the hypotenuse is (2x+1)cm. Form...
(Solved)
The length of two shorter sides of a right angled triangle are (x+1)cm and (3x- 2)cm. While the length of the hypotenuse is (2x+1)cm. Form a quadratic equation that can be used to solve for x in the triangle.
Date posted:
August 28, 2019
.
Answers (1)
-
The table below shows the analysis of examination marks scored by 160 candidates.
(a) Draw a cumulative frequency curve for the data.
(b) State the modal...
(Solved)
The table below shows the analysis of examination marks scored by 160 candidates.

(a) Draw a cumulative frequency curve for the data.
(b) State the modal class.
(c) Use the graph to estimate:
(i) The quartile deviation.
(ii) How many candidates passed if a mark of 35% and above was a pass?
Date posted:
August 28, 2019
.
Answers (1)
-
Nelly drew a square ABCD of sides 5cm accurately. While refilling her pen, a drop of ink (I) landed inside the square ABCD.Given that IA...
(Solved)
Nelly drew a square ABCD of sides 5cm accurately. While refilling her pen, a drop of ink (I) landed inside the square ABCD.Given that IA < 5cm, IA > IC and the area of triangle DCI > 10cm2. Locate by construction the region I.
Date posted:
August 28, 2019
.
Answers (1)