-
If (5x + 6y): (2x + 10y) = 22: 10 find x: y.
(Solved)
If (5x + 6y): (2x + 10y) = 22: 10 find x: y.
Date posted:
September 21, 2019
.
Answers (1)
-
The figure below A=62° B = 41° BC=8.4cm and CN is the bisector of ACB
Calculate the length of CN to l decimal place.
(Solved)
The figure below A=62° B = 41° BC=8.4cm and CN is the bisector of ACB

Calculate the length of CN to l decimal place.
Date posted:
September 21, 2019
.
Answers (1)
-
Make n the subject of the formula
(Solved)
Make n the subject of the formula

Date posted:
September 21, 2019
.
Answers (1)
-
Determine the term independent of x in the expansion of
(Solved)
Determine the term independent of x in the expansion of

Date posted:
September 21, 2019
.
Answers (1)
-
Solve by completing the square method 2x2 - 7x +6=0
(Solved)
Solve by completing the square method 2x2 - 7x +6=0
Date posted:
September 21, 2019
.
Answers (1)
-
Use mathematical tables to evaluate.
(Solved)
Use mathematical tables to evaluate.

Date posted:
September 21, 2019
.
Answers (1)
-
A transporter has a van and a pick-up available for trips to the nearest town.He can allow at most 120 litres of petrol and 4...
(Solved)
A transporter has a van and a pick-up available for trips to the nearest town.He can allow at most 120 litres of petrol and 4 litres of oil to be used each day.Each trip van uses 10 litres of petrol and 0.2 litres of oil.Each trip the pick-up uses 6 litres of petrol and 0.8 litres of oil.The profit made on each trip by the pick-up is shs.80 and on each trip by the van is shs.60.If he makes x trips in the van and y trips in the pick-up,
write down four inequalities which must be satisfied by x and y.
Date posted:
September 21, 2019
.
Answers (1)
-
Complete the table below for y = 2cos x and y = sin(x+30)
(Solved)
Complete the table below for y = 2cos x and y = sin(x+30)

Date posted:
September 21, 2019
.
Answers (1)
-
Two bags A and B contain red and blue balls.Bag A contains 2 blue balls and 3 red balls while bag B contains 3 blue...
(Solved)
Two bags A and B contain red and blue balls.Bag A contains 2 blue balls and 3 red balls while bag B contains 3 blue balls and 2 red balls.A bag is selected at random and two balls picked without replacement.
a)use a tree diagram to illustrate the above information
b)use the tree diagram above to find the probability of picking
i)Balls of the same colour
ii)A red ball followed by a blue ball
iii)At least a blue ball
iv)One red ball
Date posted:
September 21, 2019
.
Answers (1)
-
The 2nd and the 5th terms of an arithmetic progression are 8 and 17 respectively, the 2nd, 10th and the 42nd terms of the...
(Solved)
The 2nd and the 5th terms of an arithmetic progression are 8 and 17 respectively, the 2nd, 10th and the 42nd terms of the A.P form the first three terms of a geometric progression. Find.
a)The 1st term and the common difference of the A.P.
b)The first three terms of G.P and the 10th term of the G.P.
c)The sum of the first 10 terms of the G.P.
Date posted:
September 21, 2019
.
Answers (1)
-
Income rates for income earned was charged as follows
Income in Kshs. Per month Rates in Kshs. Per Ksh.20
1 - 8400 2
8401 - 18000 3
18001 - 30,000 4
30,001 - 36,000 5
36,001 - 48,000 6
48,001 and above 7
An employee earns a monthly salary of...
(Solved)
Income rates for income earned was charged as follows
Income in Kshs. Per month Rates in Kshs. Per Ksh.20
1 - 8400 2
8401 - 18000 3
18001 - 30,000 4
30,001 - 36,000 5
36,001 - 48,000 6
48,001 and above 7
An employee earns a monthly salary of Ksh.19,200 and is housed by the institution and pays a nominal rent of Kshs.2000 per month. His house allowance is Ksh. 12,000 per month, transport allowance Ksh.1,300 and medical allowance, Ksh.2,300.He is entitled to a family relief of Ksh.1240 per month. Determine
a)i)His taxable income per month.
ii)Net tax
b)In addition the following deductions were made;NHIF Ksh.230,service charge kshs.100,loan repayment kshs.4000,co-operative share kshs.1200.Calculate his net salary per month
Date posted:
September 21, 2019
.
Answers (1)
-
Make k the subject of the formula.
(Solved)
Make k the subject of the formula.

Date posted:
September 21, 2019
.
Answers (1)
-
A quantity k is partly constant and partly varies as M when k = 45, M=20 and when K = 87, M = 48
a)Find the...
(Solved)
A quantity k is partly constant and partly varies as M when k = 45, M=20 and when K = 87, M = 48
a)Find the formula connect k and m
b)Find k when M = 36
Date posted:
September 21, 2019
.
Answers (1)
-
Rationalize the denominator fully and simplify, leaving your answer in surd form
(Solved)
Rationalize the denominator fully and simplify, leaving your answer in surd form

Date posted:
September 21, 2019
.
Answers (1)
-
The figure below shows a triangle ABC inscribed in a circle.AC = 10cm BC = 7cm and AB = 10cm.Find the radius of the circle(leave...
(Solved)
The figure below shows a triangle ABC inscribed in a circle.AC = 10cm BC = 7cm and AB = 10cm.Find the radius of the circle(leave your answer to the nearest 1 decimal place)

Date posted:
September 21, 2019
.
Answers (1)
-
A TV set was bought on hire purchase. A down payment (deposit) of Kshs.5000 was paid and a 15 monthly installment of Kshs. 1500 was...
(Solved)
A TV set was bought on hire purchase. A down payment (deposit) of Kshs.5000 was paid and a 15 monthly installment of Kshs. 1500 was required.
a)Calculate the total amount paid on hire purchase
b)If the hire purchase payment is 20% more than cash payment, find the cash price
Date posted:
September 21, 2019
.
Answers (1)
-
Quantities p and q are 0.325 and 0.650 correct to three significant figures. Find the percentage error in calculating q/p
(Solved)
Quantities p and q are 0.325 and 0.650 correct to three significant figures. Find the percentage error in calculating q/p
Date posted:
September 21, 2019
.
Answers (1)
-
A circle of radius 3cm has the centre at c(-2,3).Find the equation of the circle in the form of x2+y2+px+qy+c = 0 where p,q and...
(Solved)
A circle of radius 3cm has the centre at c(-2,3).Find the equation of the circle in the form of x2+y2+px+qy+c = 0 where p,q and c are constants
Date posted:
September 21, 2019
.
Answers (1)
-
In a certain arithmetic progression the first,second and sixth terms form a geometric progression.If the forth term of the A.P is 20,find the common difference...
(Solved)
In a certain arithmetic progression the first,second and sixth terms form a geometric progression.If the forth term of the A.P is 20,find the common difference
Date posted:
September 21, 2019
.
Answers (1)
-
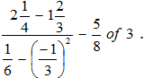
Simplify:
(Solved)
Simplify: 
Date posted:
September 21, 2019
.
Answers (1)