-
The proceeds of a certain harambee were distributed among three primary schools A, B and C. A received 1/3 of total amount realized, B received...
(Solved)
The proceeds of a certain harambee were distributed among three primary schools A, B and C. A received 1/3 of total amount realized, B received 1/3 of the remainder while C received 4/5 of what B received. If the difference of what remained and what B received was shs. 25,000. Determine how much the harambee realized.
Date posted:
October 9, 2019
.
Answers (1)
-
In the figure below AB is parallel to DE. Find the value of x and y.
(Solved)
In the figure below AB is parallel to DE. Find the value of x and y.

Date posted:
October 9, 2019
.
Answers (1)
-
Complete the table below, for the function y =2x2 + 4x - 3.
(Solved)
a) Complete the table below, for the function y =2x2 + 4x - 3.

b) On the grid provided, draw the graph of y=2x2 + 4x - 3 for -4<= x<= 2 and use the graph to estimate the roots of the equation to 1 decimal place.
c) In order to solve graphically 2x2 + x – 5 = 0, a straight line must be drawn to intersect the curve y = 2x2 + 4x – 3. Determine the equation of the straight line and draw it, hence obtain the roots of the equation 2x2 + x - 5 = 0 to 1 decimal place.
Date posted:
October 8, 2019
.
Answers (1)
-
Use a ruler and compass only for all the constructions in this question.
a) Construct a triangle XYZ in which XY= 6cm, YZ =5cm and angle...
(Solved)
Use a ruler and compass only for all the constructions in this question.
a) Construct a triangle XYZ in which XY= 6cm, YZ =5cm and angle XYZ= 1200
b) Measure XZ and angle YXZ
c) Construct the perpendicular bisector of XZ and let it meet XZ at N
d) Locate a point W on the opposite of XZ as Y and that XW = ZW and YW =9cm and hence complete triangle XZW.
e) Measure WM and hence calculate the area of triangle XZW.
Date posted:
October 8, 2019
.
Answers (1)
-
In the figure below O is the centre of the circle ABCD and AOD is a straight line.
(Solved)
In the figure below O is the centre of the circle ABCD and AOD is a straight line. If AB =BC and the
angle DAC = 400, Calculate angle BAC

Date posted:
October 8, 2019
.
Answers (1)
-
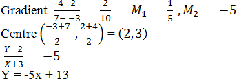
Find the equation of a circle whose centre lies on the line 3y = 6x + 18
(Solved)
Find the equation of a circle whose centre lies on the line 3y = 6x + 18 and which also touches the x and y axes in the third quadrant.
Date posted:
October 8, 2019
.
Answers (1)
-
Find the value of x for which is a singular matrix.
(Solved)
Find the value of x for which
is a singular matrix.
Date posted:
October 8, 2019
.
Answers (1)
-
A farmer has four types of animals on his farm. The pie chart below represents the number of animals
on the farm.
(Solved)
A farmer has four types of animals on his farm. The pie chart below represents the number of animals
on the farm. If the number of goats were 30, calculate the number of camels on the farm

Date posted:
October 8, 2019
.
Answers (1)
-
Solve:
2x – 5y = 1
4x2 + 25y2 = 41
(Solved)
Solve:
2x – 5y = 1
4x2 + 25y2 = 41
Date posted:
October 8, 2019
.
Answers (1)
-
Express in surd form and simplify by rationalizing the denominator
(Solved)
Express in surd form and simplify by rationalizing the denominator

Date posted:
October 8, 2019
.
Answers (1)
-
Given that A is the point (-8, 4) and B is the point (-12, -12),
(Solved)
Given that A is the point (-8, 4) and B is the point (-12, -12), find the coordinates of a point K on AB such that :
a) AK:KB = 2:3
b) AK:KB = 5: -1
Date posted:
October 8, 2019
.
Answers (1)
-
Solve for theta in the trigonometric equation given by 4 – 6 Cos2 theta = Sin theta
(Solved)
Solve for theta in the trigonometric equation given by 4 – 6 Cos2 theta = Sin theta for 00<= theta <= 3600
Date posted:
October 8, 2019
.
Answers (1)
-
Given the equation 4/9x - 1/3y=1,find the equation of the perpendicular to the line at its y-intercept.
(Solved)
Given the equation 4/9x − 1/3y=1,find the equation of the perpendicular to the line at its y-intercept.
Leave your answer in the form y = mx + c.
Date posted:
October 8, 2019
.
Answers (1)
-
Solve the equation 9x + 32x = 486.
(Solved)
Solve the equation 9x + 32x = 486.
Date posted:
October 8, 2019
.
Answers (1)
-
Without using mathematical tables or a calculator, evaluate
(Solved)
Without using mathematical tables or a calculator, evaluate

Date posted:
October 8, 2019
.
Answers (1)
-
A youth group decided to raise Kshs. 480,000 to buy a piece of land costing Kshs. 80,000 per hectare. Before the actual payment was made,...
(Solved)
A youth group decided to raise Kshs. 480,000 to buy a piece of land costing Kshs. 80,000 per hectare. Before the actual payment was made, four of the members pulled out and each of those remaining had to pay an additional Kshs. 20,000.
a)If the original number of the group members was x write down
i)An expression of how much each was to contribute originally
ii)An expression of how much the remaining members were to contribute after four pulled out.
b)Determine the number of members who actually contributed towards the purchase of the land
c)Calculate the ratio of the supposed original contribution to the new contribution
d)If the land was sub-divided equally , find the size of land each member got
Date posted:
October 7, 2019
.
Answers (1)
-
Samatha and Meshi entered into a business partnership in which they contributed Kshs. 120,000 and Kshs. 150,000 every year respectively. After one year Fuki ...
(Solved)
Samatha and Meshi entered into a business partnership in which they contributed Kshs. 120,000 and Kshs. 150,000 every year respectively. After one year Fuki joined the business and contributed Kshs. 90,000
a)Calculate the ratio of their investment after 3 years of business
b)It was agreed that 30% of the profits after 3 years be used to cater for the cost of running the business, while the remaining would be shared proportionally. Calculate each persons share if the profit made after three years was Kshs, 187,000.
c)If each of them invested their shares in the business, find their new individual investments at the beginning of the fourth year.
Date posted:
October 7, 2019
.
Answers (1)
-
Simplify the expression
(Solved)
Simplify the expression

Date posted:
October 7, 2019
.
Answers (1)
-
Mrs. Wekesa paid Kshs. 12500 for a wrist watch after the shopkeeper gave her a discount of 2%. If the shopkeeper made a profit of...
(Solved)
Mrs. Wekesa paid Kshs. 12500 for a wrist watch after the shopkeeper gave her a discount of 2%. If the shopkeeper made a profit of 20% calculate the price the shopkeeper bought from the manufacturer.
Date posted:
October 7, 2019
.
Answers (1)
-
Solve for x in
(4/9)x x (8)1-x = 486
(Solved)
Solve for x in
(4/9)x x (8)1-x = 486
Date posted:
October 7, 2019
.
Answers (1)